A New Insight into the Comonomer Effect through NMR Analysis in Metallocene Catalysed Propene–co–1-Nonene Copolymers
Abstract
:1. Introduction
2. Materials and Methods
2.1. Synthesis of Copolymers and Homopolymers
2.2. Identification of Samples
2.3. NMR Analysis
2.4. Size Exclusion Chromatography (SEC)
2.5. Differential Scanning Calorimetry (DSC)
3. Results
3.1. Microstructure and Molecular Weight
3.2. Evolutions of C9 Insertion, Catalyst Activity, and Molecular Weight with the C9 Feeding Fraction
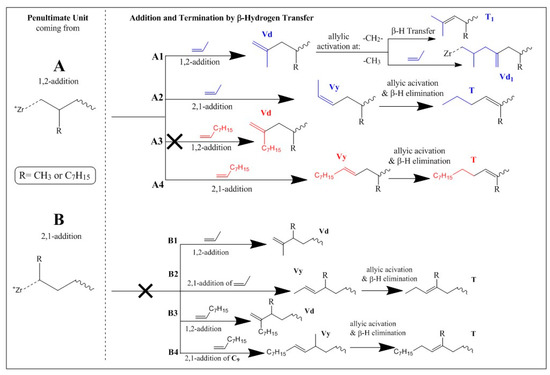
3.3. Evolution of Olefin Species with the C9 Feeding Fraction
4. Discussion
5. Conclusions
Supplementary Materials
Author Contributions
Funding
Acknowledgments
Conflicts of Interest
References
- Chien, J.C.W.; Nozaki, T. Ethylene-hexene copolymerization by heterogeneous and homogeneous Ziegler-Natta catalysts and the “comonomer” effect. J. Polym. Sci. A 1993, 31, 227–237. [Google Scholar] [CrossRef]
- Herfert, N.; Montag, P.; Fink, G. Elementary processes of the Ziegler catalysis, 7 a). Ethylene, α-olefin and norbornene copolymerization with the stereorigid catalyst systems iPr[FluCp]ZrCl2/MAO and Me2Si[Ind]2ZrCl2/MAO. Macromol. Chem. Phys. 1993, 194, 3167–3182. [Google Scholar] [CrossRef]
- Nedorezova, P.M.; Chapurina, A.V.; Koval’chuk, A.A.; Klyamkina, A.N.; Aladyshev, A.M.; Optov, V.A.; Shklyaruk, B.F. Copolymerization of propylene with 1-octene initiated by highly efficient isospecific metallocene catalytic systems. Polym. Sci. Ser. B 2010, 52, 15–25. [Google Scholar] [CrossRef]
- McDaniel, M.P.; Schwerdtfeger, E.D.; Jensen, M.D. The comonomer effect on chromium polymerization catalysts. J. Catal. 2014, 314, 109–116. [Google Scholar] [CrossRef]
- Tait, P.J.; Downs, G.W.; Akimbami, A.A. Copolymerization of ethylene and α-olefins: A kinetic consideration. In Transition Metal Catalyzed Polymerizations Ziegler-Natta and Metathesis Polymerizations; Quirk, R.P., Ed.; Cambridge University Press: Cambridge, UK, 1988; pp. 834–860. [Google Scholar]
- Uozumi, T.; Soga, K. Copolymerization of olefins with Kaminsky-Sinn-type catalysts. Macromol. Chem. Phys. 1992, 193, 823–831. [Google Scholar] [CrossRef]
- Koivumäki, J.; Seppälä, J.V. Observations on the rate enhancement effect with MgCl2/TiCl4 and Cp2ZrCl2 catalyst systems upon 1-hexene addition. Macromolecules 1993, 26, 5535–5538. [Google Scholar] [CrossRef]
- Koivumäki, J.; Fink, G.; Seppälä, J.V. Copolymerization of ethene/1-dodecene and ethene/ 1-octadecene with the stereorigid zirconium catalyst systems iPr[FluCp]ZrCl2/MAO and Me2Si[lnd]2ZrCl2/MAO: Influence of the comonomer chain length. Macromolecules 1994, 27, 6254–6258. [Google Scholar] [CrossRef]
- Koivumäki, J.; Seppälä, J.V.; Liu, X. Co- and terpolymerization of ethylene with 1-butene and 1-decene by using Cp2ZrCl2-methylaluminoxane catalyst. J. Polym. Sci. A 1993, 31, 3447–3452. [Google Scholar] [CrossRef]
- Karol, F.J.; Kao, S.C.; Cann, K.J. Comonomer effects with high-activity titanium and vanadium-based catalysts for ethylene polymerization. J. Polym. Sci. A 1993, 31, 2541–2553. [Google Scholar] [CrossRef]
- Tsutsui, T.; Kashiwa, N. Kinetic study on ethylene polymerization with Cp2ZrCl2/Methylaluminoxane catalyst system. Polym. Commun. 1998, 29, 180–183. [Google Scholar]
- Ystenes, M. The trigger mechanism for polymerization of α-olefins with Ziegler-Natta catalysts: A new model based on interaction of two monomers at the transition state and monomer activation of the catalytic centres. J. Catal. 1991, 129, 383–401. [Google Scholar] [CrossRef]
- Valvassori, A.; Sartori, G.; Mazzanti, G.; Pazaro, G. Kinetics of the ethylene-propylene copolymerization. Macromol. Chem. Phys. 1963, 61, 46–62. [Google Scholar] [CrossRef]
- Finogenova, L.T.; Zakharov, V.A.; Bunyiat-Zade, A.A.; Bukatov, G.D.; Plaksunov, T.K. Study of copolymerization of ethylene with hex-1-ene on applied catalysts. Polym. Sci. USSR 1980, 22, 448–454. [Google Scholar] [CrossRef]
- Calabro, D.C.; Lo, F.Y. A comparison of the reaction kinetics for the homo and copolymerization of ethylene and hexene with a heterogeneous catalyst. In Transition Metal Catalyzed Polymerizations Ziegler-Natta and Metathesis Polymerizations; Quirk, R.P., Ed.; Cambridge University Press: Cambridge, UK, 1988; pp. 729–739. [Google Scholar]
- Ray, W.H. Practical benefits from olefin polymerization reactions. In Transition Metal Catalyzed Polymerizations Ziegler-Natta and Metathesis Polymerizations; Quirk, R.P., Ed.; Cambridge University Press: Cambridge, UK, 1988; pp. 563–590. [Google Scholar]
- Bukatov, G.D.; Yeckevskaya, L.G.; Zakharov, V.A. Copolymerization of ethylene with α-olefins by highly active supported catalysts of various composition. In Transition Metals and Organometallics as Catalysts for Olefin Polymerization; Kaminsky, W., Sinn, H., Eds.; Springer: Berlin, Germany, 1988; pp. 101–108. [Google Scholar]
- Lin, S.; Wang, H.; Zhang, Q.; Lu, Z.; Lu, Y. Ethylene polymerization with modified supported catalysts. In Catalytic Polymerization of Olefins; Keii, T., Soga, K., Eds.; Elsevier: New York, NY, USA, 1986; pp. 91–107. [Google Scholar]
- Kryzhanovskii, A.V.; Ivanchev, S.S. Synthesis of linear polyethylene on supported Ziegler-Natta catalysts. Review. Polym. Sci. USSR 1990, 32, 1312–1329. [Google Scholar] [CrossRef]
- Spitz, R.; Duranel, L.; Masson, P.; Darricades-Llauro, M.F.; Guyot, A. Difference in reactivity between ethylene and propene with supported Ziegler-Natta catalysts. In Transition Metal Catalyzed Polymerizations Ziegler-Natta and Metathesis Polymerizations; Quirk, R.P., Ed.; Cambridge University Press: Cambridge, UK, 1988; pp. 719–728. [Google Scholar]
- Tait, P.J.T. Newer aspects of active centre determination in Ziegler-Natta polymerization using 14CO radio-tagging. In Transition Metals and Organometallics as Catalysts for Olefin Polymerization; Kaminsky, W., Sinn, H., Eds.; Springer: Berlin, Germany, 1988; pp. 309–327. [Google Scholar]
- Gul’tseva, N.M.; Ushakova, A.M.; Aladyshev, A.M.; Rasporov, L.N.; Meshkova, I.N. Influence of the monomer nature on the activity of the supported titanium catalyst of polymerization of α-olefins. Polym. Sci. 1991, 33, 987–993. [Google Scholar] [CrossRef]
- Wester, T.S.; Ystenes, M. Kinetic studies of the injection of comonomers during polymerization of ethene and propene with MgCl2-supported Ziegler-Natta catalysts. Macromol. Chem. Phys. 1997, 198, 1623–1647. [Google Scholar] [CrossRef]
- Jaber, I.A.; Ray, W.H. Polymerization of olefins through heterogeneous catalysis. XIII. The influence of comonomer in the solution copolymerization of ethylene. J. Appl. Polym. 1993, 49, 1709–1724. [Google Scholar] [CrossRef]
- Koivumäki, J.; Seppälä, J.V. Observations on the synergistic effect of adding 1-butene to systems polymerized with MgCl2/TiCl4 and Cp2ZrCl2 Catalysts. Macromolecules 1994, 27, 2008–2012. [Google Scholar] [CrossRef]
- Gul’tseva, N.M.; Ushakova, A.M.; Aladyshev, A.M.; Rasporov, L.N.; Meshkova, I.N. Influence of the nature of monomers on the activity of supported titanium catalysts in the α-olefin polymerization. Polym. Bull. 1992, 29, 639–646. [Google Scholar] [CrossRef]
- Kravchenko, R.; Waymouth, R.M. Ethylene-propylene copolymerization with 2-Arylindene zirconocenes. Macromolecules 1998, 31, 1–6. [Google Scholar] [CrossRef]
- Kaminsky, W.; Kulper, K.; Nieboda, S. Olefin polymerization with highly active soluble zirconium compounds using aluminoxane as co-catalyst. Macromol. Symp. 1986, 3, 377–387. [Google Scholar] [CrossRef]
- Cruz, V.L.; Muñoz-Escalona, A.; Martinez-Salazar, J. A theoretical study of the comonomer effect in the ethylene polymerization with zirconocene catalytic systems. J. Polym. Sci. A 1998, 36, 1157–1167. [Google Scholar] [CrossRef]
- Meshkova, I.N.; Ushakova, T.M.; Gul’tseva, N.M.; Grinev, V.G.; Ladygina, T.A.; Novokshonova, L.A. Modification of polyolefins as a modern strategy to designing polyolefin materials with a new complex of properties. Polym. Sci. Ser. A 2008, 50, 1161–1174. [Google Scholar] [CrossRef]
- Jungling, S.; Koltzenburg, S.; Multhaupt, R. Propene homo- and copolymerization using homogeneous and supported metallocene catalysts based on Me2Si(2-Me-Benz[e]Ind)2ZrCl2. J. Polym. Sci. A 1997, 35, 1–8. [Google Scholar] [CrossRef]
- Awudza, J.A.M.; Tait, P.J.T. The ‘‘Comonomer effect’’ in ethylene/α-olefin copolymerization using homogeneous and silica-supported Cp2ZrCl2/MAO catalyst systems: Some insights from the kinetics of polymerization, active centre studies and polymerization temperature. J. Polym. Sci. A 2008, 46, 267–277. [Google Scholar] [CrossRef]
- Coates, G.W.; Hustad, P.D.; Reinartz, S. Catalysts for the living insertion polymerization of alkenes: Access to new polyolefin architectures using Ziegler-Natta chemistry. Angew. Chem. Int. 2002, 41, 2236–2257. [Google Scholar] [CrossRef]
- IMeshkova, N.; Ushakova, T.M.; Gul’tseva, N.M.; Larichev, M.N.; Ladygina, T.A.; Kudinova, O.I. Influence of the catalyst matrix structure of the supported Ziegler-Natta catalysts on the homo- and copolymerization of olefins. Polym. Bull. 1997, 38, 419–426. [Google Scholar] [CrossRef]
- Soga, K.; Yanagihara, H.; Lee, D. Effect of monomer diffusion in the polymerization of olefins over Ziegler-Natta catalysts. Makromol. Chem. 1989, 190, 995–1006. [Google Scholar] [CrossRef]
- Van Grieken, R.; Carrero, A.; Suárez, I.; Paredes, B. Effect of 1-hexene comonomer on polyethylene particle growth and kinetic profiles. Macromol. Symp. 2007, 259, 243–252. [Google Scholar] [CrossRef]
- Ko, Y.S.; Woo, S.I. Shape and diffusion of the monomer-controlled copolymerization of ethylene and α-olefins over Cp2ZrCl2 confined in the nanospace of the supercage of NaY. J. Polym. Sci. A 2003, 41, 2171–2179. [Google Scholar] [CrossRef]
- Soga, K.; Ohgizawa, M.; Shiono, T.; Lee, D. Possibility of mass-transfer resistance in ethylene polymerization with MgCl2-supported catalysts. Macromolecules 1991, 24, 1699–1700. [Google Scholar] [CrossRef]
- Przybyla, C.; Tesche, B.; Fink, G. Ethylene/hexene copolymerization with the heterogeneous catalyst system SiO2/MAO/rac-Me2Si[2-Me-4-Ph-Ind]2ZrCl2: The filter effect. Macromol. Rapid Comm. 1999, 20, 328–332. [Google Scholar] [CrossRef]
- Do Santos, H.Z.; Uozumi, T.; Teranishi, T.; Sano, T.; Soga, K. Ethylene (co)polymerization with supported-metallocenes prepared by the sol-gel method. Polymer 2001, 42, 4517–4525. [Google Scholar] [CrossRef]
- Smit, M.; Zheng, X.; Bruell, R.; Loos, J.; Chadwick, J.C.; Koning, C.E. Effect of 1-hexene comonomer on polyethylene particle growth and copolymer chemical composition distribution. J. Polym. Sci. A 2006, 44, 2883–2890. [Google Scholar] [CrossRef]
- Yoon, K.B.; Lee, D.H.; Noh, S.K. Copolymerization of ethylene and 1-hexene using (n-BuCp)2ZrCl2 catalyst activated by the cross-linked MAO supported cocatalyst. Macromol. Res. 2006, 14, 240–244. [Google Scholar] [CrossRef]
- Spitz, R.; Pasquet, V.; Guyot, A.B. Linear low density polyethylene prepared in gas phase with bisupported SiO2-MgCl2 Ziegler-Natta catalysts. In Transtion Metals and Organometallics as Catalysts for Olefin Polymerization; Kaminsky, W., Sinn, H., Eds.; Springer: Berlin, Germany, 1988; pp. 405–416. [Google Scholar]
- Barzan, C.; Bordiga, S.; Groppo, E. Towards the understanding of the comonomer effect on CrII/SiO2 Phillips catalyst. ACS Catal. 2016, 6, 2918–2922. [Google Scholar] [CrossRef]
- Fan, Z.Q.; Yasin, T.; Feng, L.X. Copolymerization of propylene with 1-octene catalyzed by rac-Me2Si(2,4,6-Me3-Ind)2ZrCl2/methyl aluminoxane. J. Polym. Sci. A 2000, 38, 4299–4307. [Google Scholar] [CrossRef]
- Quijada, R.; Guevara, J.L.; Galland, G.B.; Rabagliatid, F.M.; Lopez-Majada, J.M. Synthesis and properties coming from the copolymerization of propene with α-olefins using different metallocene catalysts. Polymer 2005, 46, 1567–1574. [Google Scholar] [CrossRef]
- Tait, P.J.T.; Berry, I.G. Rate Enhancement effects in the prepolymerization and copolymerization of ethylene and α-Olefins. In Catalyst Design for Tailor-Made Polyolefins; Soga, K.M., Terano, M., Eds.; Elsevier-Kodansha: Tokyo, Japan, 1994; pp. 55–72. [Google Scholar]
- Spitz, R.; Masson, R.; Bobichon, C.; Guyot, A. Propene polymerization with MgCl2 supported Ziegler catalysts: Activation by hydrogen and ethylene. Makromol. Chem. 1988, 189, 1043–1050. [Google Scholar] [CrossRef]
- Forlini, F.; Fan, Z.Q.; Tritto, I.; Locatelli, P.; Sacchi, M.C. Metallocene-catalyzed propene/1-hexene copolymerization: Influence of amount and bulkiness of cocatalyst and of solvent polarity. Macromol. Chem. Phys. 1997, 198, 2397–2408. [Google Scholar] [CrossRef]
- Kissin, Y.V.; Mink, R.I.; Nowlin, T.E. Ethylene polymerization reactions with Ziegler–Natta catalysts. I. Ethylene polymerization kinetics and kinetic mechanism. J. Polym. Sci. A 1999, 37, 4255–4272. [Google Scholar] [CrossRef]
- Kissin, Y.V.; Brandolini, A.J. Ethylene polymerization reactions with Ziegler–Natta Catalysts. II. Ethylene polymerization reactions in the presence of deuterium. J. Polym. Sci. A 1999, 37, 4273–4280. [Google Scholar] [CrossRef]
- Kissin, Y.V.; Mink, R.I.; Nowlin, T.E.; Brandolini, A.J. Ethylene polymerization reactions with Ziegler–Natta Catalysts. III. Chain-end structures and polymerization mechanism. J. Polym. Sci. A 1999, 37, 4281–4294. [Google Scholar] [CrossRef]
- Xu, T.; Yang, H.; Fu, Z.; Fan, Z.-Q. Effects of comonomer on active centre distribution of TiCl4/MgCl2-AlEt3 catalyst in ethylene/1-hexene copolymerization. J. Org. Chem. 2015, 798, 328–334. [Google Scholar] [CrossRef]
- Marques, M.F.V.; Marinha, A.B.A.S. Zeolite-supported metallocene catalyst for ethylene/1-hexene copolymerization. J. Polym. Sci. Part A Polym. Chem. Ed. 2004, 42, 3038–3048. [Google Scholar] [CrossRef]
- Forlini, F.; Princi, E.; Tritto, I.; Sacchi, M.C.; Piemontesi, F. 13CNMR study of the effect of coordinating solvents on zirconocene-catalyzed propene/1-hexene copolymerization. Macromol. Chem. Phys. 2002, 203, 645–652. [Google Scholar] [CrossRef]
- Heiland, K.; Kaminsky, W. Comparison of zirconocene and hafnocene catalysts for the polymerization of ethylene and 1-butene. Makromol. Chem. 1992, 193, 601–610. [Google Scholar] [CrossRef]
- García-Peñas, A.; Martínez, C.; Cerrada, M.L.; Pérez, E.; Gómez-Elvira, J.M. NMR study of the comonomer effect in metallocene poly(propylene-co-1-pentene) copolymers synthesized at low temperature. J. Polym. Chem. Part A Polym. Chem. Ed. 2017, 55, 843–854. [Google Scholar] [CrossRef]
- Mackay, D.; Shiu, W.Y.; Ma, K.-C.; Lee, S.C. (Eds.) Handbook of physical-chemical properties and environmental fate for organic chemicals. In Volume I. Introduction and Hydrocarbons, 2nd ed.; CRC Taylor & Francis Group: Boca Raton, FL, USA, 2006; p. 311. [Google Scholar]
- Villar, M.A.; Ferreira, M.L. Co-and terpolymerization of ethylene, propylene, and higher α-olefins with high propylene contents using metallocene catalysts. J. Polym. Sci. A 2001, 39, 1136–1148. [Google Scholar] [CrossRef]
- Busico, V.; Cipullo, R. Microstructure of polypropylene. Prog. Polym. Sci. 2001, 26, 443–533. [Google Scholar] [CrossRef]
- Asakura, T.; Demura, M.; Nishiyama, Y. Carbon-13 NMR spectral assignment of five polyolefins determined from the chemical shift calculation and the polymerization mechanism. Macromolecules 1991, 24, 2334–2340. [Google Scholar] [CrossRef]
- Usami, T.; Takayama, S. Fine-branching structure in high-pressure, low-density polyethylenes by 50.10-MHz 13C NMR analysis. Macromolecules 1984, 17, 1756–1761. [Google Scholar] [CrossRef]
- Hoyos, M.; Tiemblo, P.; Gómez-Elvira, J.M.; Rychlá, L.; Rychlý, J. Role of the interphase dynamics in the induction time of the thermo-oxidation of isotactic polypropylene. Polym. Degrad. Stab. 2006, 91, 1433–1442. [Google Scholar] [CrossRef]
- Resconi, L.; Camurati, I.; Sudmeijer, O. Chain transfer reactions in propylene polymerization with zirconocene catalysts. Top. Catal. 1999, 7, 145–163. [Google Scholar] [CrossRef]
- He, Y.; Qiu, X.H.; Klosin, J.; Cong, R.; Roof, G.R.; Redwine, D. Terminal and internal unsaturations in poly(ethylene-co-1-octene). Macromolecules 2014, 47, 3782–3790. [Google Scholar] [CrossRef]
- Busico, V.; Cipullo, R.; Friederichs, N.; Linssen, H.; Segre, A.; Van Axel Castelli, A.; Van der Velden, G. 1H NMR analysis of chain unsaturations in ethylene/1-octene copolymers prepared with metallocene catalysts at high temperature. Macromolecules 2005, 38, 6988–6996. [Google Scholar] [CrossRef]
- Resconi, L.; Piemontesi, F.; Camurati, I.; Balboni, D.; Sironi, A.; Moret, M.; Rychlicki, H.; Ziegler, R. Diastereoselective Synthesis, molecular structure, and solution dynamics of meso- and rac-[ethylenebis(4,7-dimethyl-η5-1-indenyl)] zirconium dichloride isomers and chain transfer reactions in propene polymerization with the rac isomer. Organometallics 1996, 15, 5046–5059. [Google Scholar] [CrossRef]
- Carvill, A.; Zetta, L.; Zannoni, G.; Sacchi, M.C. ansa-Zirconocene-catalyzed solution polymerization of propene: Influence of polymerization conditions on the saturated chain-end groups. Macromolecules 1998, 31, 3783–3789. [Google Scholar] [CrossRef]
- Resconi, L.; Piemontesi, F.; Camurati, I.; Sudmeijer, O.; Nifant’ev, I.E.; Ivchenko, P.V.; Kuz’mina, G. Highly regiospecific zirconocene catalysts for the isospecific polymerization of propene. J. Am. Chem. Soc. 1998, 120, 2308–2321. [Google Scholar] [CrossRef]
- Grumel, V.; Brüll, R.; Pasch, H.; Raubenheimer, G.; Sandersom, R.; Wahner, U.M. Homopolymerization of higher 1-olefins with metallocene/MAO catalysts. Macromol. Chem. Eng. 2001, 286, 480–487. [Google Scholar] [CrossRef]
- Kawahara, N.; Saito, J.; Matsuo, S.; Kaneko, H.; Matsugi, T.; Toda, Y.; Kashiwa, N. Study on unsaturated structures of polyhexene, poly(4-methylpentene) and poly(3-methylpentene) prepared with metallocene catalysts. Polymer 2007, 48, 425–428. [Google Scholar] [CrossRef]
- Rossi, A.; Odian, G.; Zhang, J. End groups in 1-butene polymerization via methylaluminoxane and zirconocene catalyst. Macromolecules 1995, 28, 1739–1749. [Google Scholar] [CrossRef]
- Busico, V.; Carbonniere, P.; Cipullo, R.; Pellecchia, R.; Severn, J.R.; Talarico, G. Alk-1-ene polymerization in the presence of a monocyclopentadienyl zirconium(IV) acetamidinate catalyst: Microstructural and mechanistic insights. Macromol. Rapid Commun. 2007, 28, 1128–1134. [Google Scholar] [CrossRef]
- Bomfim, J.A.S.; Dias, M.L.; Filgueiras, C.A.L.; Perch, F.; Deffieux, A. The effect of polymerization temperature on the structure and properties of poly(1-hexene) and poly(1-decene) prepared with a Ni(II)-diimine catalyst. Catal. Today 2008, 133–135, 879–885. [Google Scholar] [CrossRef]
- Cheng, H.N.; Smith, D.A. 13C NMR studies of low-molecular weight ethylene-propylene copolymers and characterization of polymer chain ends. Macromolecules 1986, 19, 2065–2072. [Google Scholar] [CrossRef]
- Resconi, L.; Piemontesi, F.; Franciscono, G.; Abis, L.; Fiorani, T. Olefin polymerization at bis(pentamethylcyclopentadienyl)zirconium and hafnium centres: Chain-transfer mechanisms. J. Am. Chem. Soc. 1992, 114, 1025–1032. [Google Scholar] [CrossRef]
- Bader, M.; Marquet, N.; Kirilov, E.; Roisnel, T.; Razavi, A.; Lhost, O.; Carpentier, J.F. Old and new C1-symetric group 4 metallocenes {(R1R2C)-(R2′R3′R6′R7′-Flu)(3-R3-5-R4-C5H2)}ZrCl2: From highly isotactic polypropylenes to vinyl end-caped isotactic-enriched oligomers. Organometallics 2012, 31, 8375–8387. [Google Scholar] [CrossRef]
- Moscardi, G.; Resconi, L.; Cavallo, L. Propene polymerization with the isospecific, highly regioselective rac-Me2C(3-t-Bu-1-Ind)2ZrCl2/MAO catalyst. 2. Combined DFT/MM analysis of chain propagation and chain release reactions. Organometallics 2001, 20, 1918–1931. [Google Scholar] [CrossRef]
- Janiak, C. Metallocene and related catalysts for olefin, alkyne and silane dimerization and oligomerization. Coord. Chem. Rev. 2006, 250, 66–94. [Google Scholar] [CrossRef]
- Schaverien, C.J.; Ernst, R.; Schut, P.; Dall’Occo, T. Ethylene bia(2-indenyl) zirconocenes: A new class of diastereomeric metallocenes for the (co)polymerization of α-olefins. Organometallics 2001, 20, 3436–3452. [Google Scholar] [CrossRef]
- Hajela, S.; Bercaw, J.E. Competitive chain transfer by β-Hydrogen and β-methyl elimination for the model Ziegler-Natta olefin polymerization system [Me2Si(η5-C5Me4)2]Sc{CH2CH(CH3)2}(PMe3). Organometallics 1994, 13, 1147–1154. [Google Scholar] [CrossRef]
- Guo, Z.; Swenson, D.; Jordan, R.F. Cationic zirconium and hafnium isobutyl complexes as models for intermediates in metallocene-catalyzed propylene polymerizations. Detection of an α-agostic interaction in (C5Me5)2Hf(CH2CHMe2) (PMe3)+. Organometallics 1994, 13, 1424–1432. [Google Scholar] [CrossRef]

















| Sample | Tpola (°C) | C9 Feeding (Molar Fraction) | Time (min) | Activity b | 13C NMR r1.r2c | C9 Content (mol %) | Mn 1H NMR (SEC) (g·mol−1) | Tmd (°C) |
|---|---|---|---|---|---|---|---|---|
| PP−5 | −5 | 0 | 167 | 284 | -- | 0 | (38,700) | 151.0 |
| C9PP−5_2 | 0.035 | 51 | 789 | 0 | 2.0 | 34,900 | 127.0 | |
| C9PP−5_4 | 0.062 | 10 | 2882 | 0 | 4.2 | 19,800 | 110.0 | |
| C9PP−5_5 | 0.080 | 12 | 3396 | 0.5 | 4.8 | 18,000 | 104.5 | |
| C9PP−5_6 | 0.099 | 13 | 1866 | 0 | 6.2 | -- | 95.5 | |
| C9PP−5_8 | 0.156 | 82 | 757 | 1.4 | 8.0 | 12,500 | 84.0 | |
| PP10 | 10 | 0 | 25 | 2266 | -- | 0 | 38,200 (39,200) | 149.0 |
| C9PP10_2 | 0.039 | 20 | 3521 | 0 | 2.3 | 32,600 | 123.5 | |
| C9PP10_4 | 0.077 | 26 | 1267 | 0 | 4.0 | 23,300 | 110.5 | |
| C9PP10_7 | 0.126 | 9 | 17,779 | 0.5 | 6.6 | 14,000 | 92.5 | |
| C9PP10_9 | 0.185 | 13 | 8530 | 1.5 | 9.3 | 12,400 | 75.0 | |
| PP25 | 25 | 0 | 28 | 2517 | -- | 0 | 29,000 (34,500) | 145.5 |
| C9PP25_2 | 0.055 | 17 | 5240 | 0 | 2.3 | 22,500 | 120.5 | |
| C9PP25_5 | 0.123 | 5 | 19,792 | 1.2 | 5.1 | 16,800 | 99.0 | |
| C9PP25_8 | 0.174 | 41 | 2273 | 2.2 | 8.2 | 14,200 | 88.5 | |
| C9PP25_11 | 0.260 | 74 | 2250 | 1.1 | 11.2 | 10,800 | 66.0 | |
| PP40 | 40 | 0 | 6 | 18,213 | -- | 0 | 21,500 (21,400) | 141.5 |
| C9PP40_2 | 0.061 | 5 | 30,454 | 0 | 2.2 | 21,300 | 120.0 | |
| C9PP40_4 | 0.117 | 6 | 24,356 | 0 | 4.0 | 18,800 | 105.0 | |
| C9PP40_7 | 0.176 | 8 | 55,478 | 1.9 | 7.4 | 13,800 | 85.5 | |
| C9PP40_9 | 0.251 | 8 | 19,222 | 1.5 | 9.4 | 12,700 | 72.0 | |
| PP60 | 60 | 0 | 3 | 42,201 | -- | 0 | 8600 | 131.0 |
| C9PP60_2 | 0.072 | 5 | 30,271 | 0 | 2.4 | 9700 | 112.5 | |
| C9PP60_5 | 0.159 | 3 | 50,077 | 0 | 5.1 | -- | 97.0 | |
| C9PP60_8 | 0.160 | 19 | 6862 | 1.4 | 7.6 | 9600 | 78.5 | |
| C9PP60_12 | 0.336 | 16 | 12,928 | 1.4 (1.3) e | 11.9 (12.2) e | 6800 | 54.5 |
© 2019 by the authors. Licensee MDPI, Basel, Switzerland. This article is an open access article distributed under the terms and conditions of the Creative Commons Attribution (CC BY) license (http://creativecommons.org/licenses/by/4.0/).
Share and Cite
Wu, Q.; García-Peñas, A.; Barranco-García, R.; Cerrada, M.L.; Benavente, R.; Pérez, E.; Gómez-Elvira, J.M. A New Insight into the Comonomer Effect through NMR Analysis in Metallocene Catalysed Propene–co–1-Nonene Copolymers. Polymers 2019, 11, 1266. https://doi.org/10.3390/polym11081266
Wu Q, García-Peñas A, Barranco-García R, Cerrada ML, Benavente R, Pérez E, Gómez-Elvira JM. A New Insight into the Comonomer Effect through NMR Analysis in Metallocene Catalysed Propene–co–1-Nonene Copolymers. Polymers. 2019; 11(8):1266. https://doi.org/10.3390/polym11081266
Chicago/Turabian StyleWu, Qiong, Alberto García-Peñas, Rosa Barranco-García, María Luisa Cerrada, Rosario Benavente, Ernesto Pérez, and José Manuel Gómez-Elvira. 2019. "A New Insight into the Comonomer Effect through NMR Analysis in Metallocene Catalysed Propene–co–1-Nonene Copolymers" Polymers 11, no. 8: 1266. https://doi.org/10.3390/polym11081266
APA StyleWu, Q., García-Peñas, A., Barranco-García, R., Cerrada, M. L., Benavente, R., Pérez, E., & Gómez-Elvira, J. M. (2019). A New Insight into the Comonomer Effect through NMR Analysis in Metallocene Catalysed Propene–co–1-Nonene Copolymers. Polymers, 11(8), 1266. https://doi.org/10.3390/polym11081266

