Improving Oxygen Permeability and Thermostability of Polycarbonate via Copolymerization Modification with Bio-Phenol Polysiloxane
Abstract
1. Introduction
2. Materials and Methods
2.1. Materials
2.2. Synthesis of Bio-phenol Polysiloxane/Polycarbonate Block Copolymer
2.3. 1H NMR Analysis
2.4. FTIR Analysis
2.5. GPC Analysis
2.6. SEM Characterization
2.7. TEM Characterization
2.8. Thermal Analysis
2.9. Measurement of Mechanical Property
2.10. Measurement of Oxygen Transmission Rate
2.11. Measurement of Contact Angle
3. Results and Discussions
3.1. 1H NMR Analysis
3.2. FTIR Analysis
3.3. GPC Analysis
3.4. Morphology Analysis
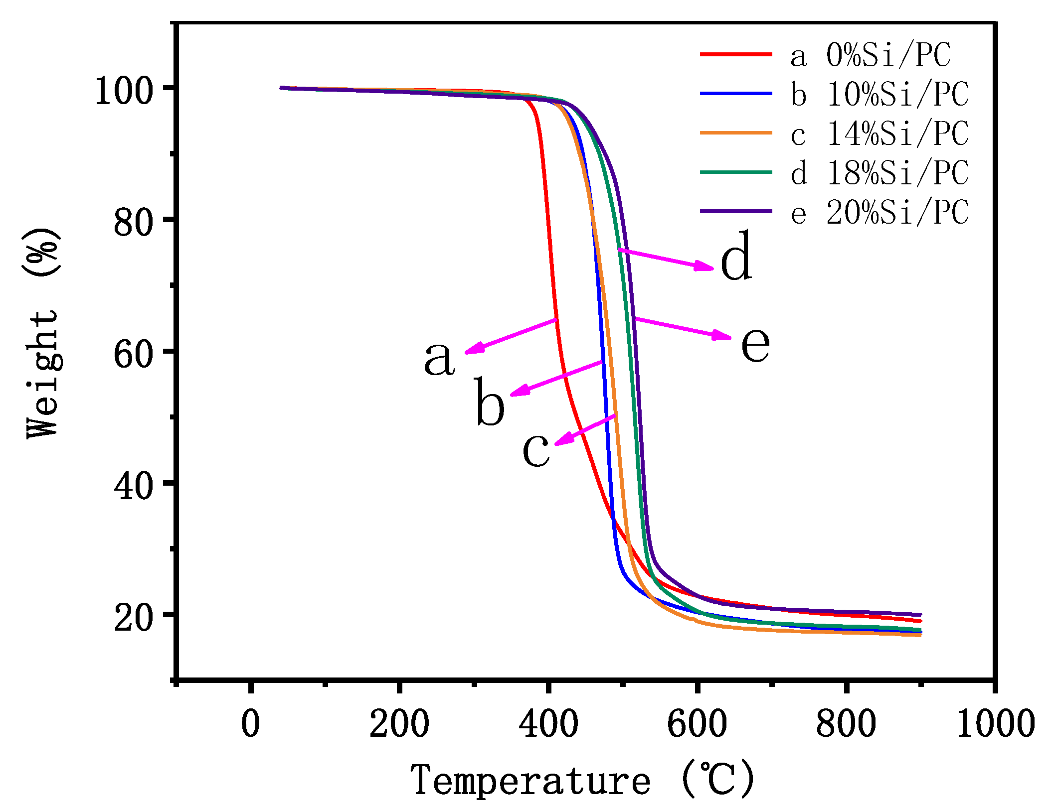
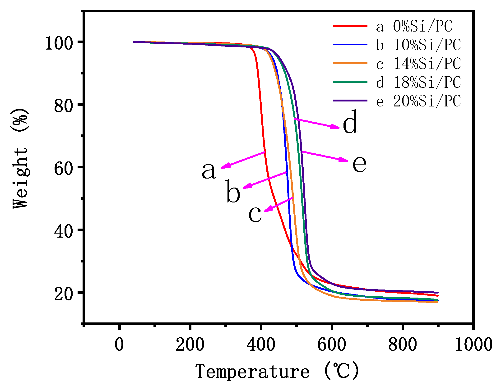
3.5. Thermal Analysis
3.6. Mechanical Properties
3.7. Oxygen Transmission Rate
3.8. Contact Angle
4. Conclusions
Author Contributions
Funding
Acknowledgments
Conflicts of Interest
References
- Shao, Y.; Wu, C.; Wu, T.; Li, Y.; Chen, S.; Yuan, C.; Hu, Y. Eugenol-chitosan nanoemulsions by ultrasound-mediated emulsification: Formulation, characterization and antimicrobial activity. Carbohyd. Polym. 2018, 193, 144–152. [Google Scholar] [CrossRef] [PubMed]
- Cheng, C.; Li, Y.; Zhang, X.; Li, J. Eugenol-based non-isocyanate polyurethane and polythiourethane. J. Iran. Polym. 2017, 26, 821–831. [Google Scholar] [CrossRef]
- Miao, J.T.; Yuan, L.; Guan, Q.; Liang, G.; Gu, A. Biobased epoxy resin derived from eugenol with excellent integrated performances and high renewable carbon content. Polym. Int. 2018, 67, 1194–1202. [Google Scholar] [CrossRef]
- Thirukumaran, P.; Parveen, A.S.; Sarojadevi, M. Synthesis of eugenol-based polybenzoxazine-POSS nanocomposites for low dielectric applications. Polym. Compos. 2015, 36, 1973–1982. [Google Scholar] [CrossRef]
- Mangeon, C.; Modjinou, T.; Rios de Anda, A.; Thevenieau, F.; Renard, E.; Langlois, V. Renewable semi-Interpenetrating polymer networks based on vegetable oils used as plasticized systems of poly(3-hydroxyalkanoate) s. ACS. Sustain. Chem. Eng. 2018, 6, 5034–5042. [Google Scholar] [CrossRef]
- Pang, X.; Ge, X.; Ji, J.; Liang, W.; Chen, X.; Ge, J. Facile Route for Bio-Phenol Siloxane Synthesis via Heterogeneous Catalytic Method and its Autonomic Antibacterial Property. Polymers 2018, 10, 1151. [Google Scholar] [CrossRef]
- Zgolicz, P.D.; Stassi, J.P.; Yañez, M.J.; Scelza, O.A.; de Miguel, S.R. Influence of the support and the preparation methods on the performance in citral hydrogenation of Pt-based catalysts supported on carbon nanotubes. J. Catal. 2012, 290, 37–54. [Google Scholar] [CrossRef]
- Januszewski, R.; Kownacki, I.; Maciejewski, H.; Marciniec, B. An efficient catalytic and solvent-free method for the synthesis of mono-organofunctionalized 1,1,3,3-tetramethyldisiloxane derivatives. J. Organomet. Chem. 2017, 846, 263–268. [Google Scholar] [CrossRef]
- Roland, K.; Lobert, M.; Ferenz, M.; Schierle, T. Use of Eugenol Polyethers and Eugenol Polyethers Siloxanes as Wetting Agents. U.S. Patent 9993766B2, 12 June 2018. [Google Scholar]
- Chen, G.; Feng, J.; Qiu, W.; Zhao, Y. Eugenol-modified polysiloxanes as effective anticorrosion additives for epoxy resin coatings. RSC. Adv. 2017, 7, 55967–55976. [Google Scholar] [CrossRef]
- Xu, J.; Zhang, W.; Jiang, Q.; Mu, J.; Jiang, Z. Synthesis and properties of poly(aryl ether sulfone)s incorporating cage and linear organosiloxane in the backbones. Polymer 2015, 62, 77–85. [Google Scholar] [CrossRef]
- Potschke, P.; Fornes, T.D.; Paul, D.R. Rheological behavior of multiwalled carbon nanotube/polycarbonate composites. Polymer 2002, 43, 3247–3255. [Google Scholar] [CrossRef]
- Sasaki, H.; Hamanaka, I.; Takahashi, Y.; Kawaguchi, T. Effect of reinforcement on the flexural properties of injection-molded thermoplastic denture base resins. J. Prosthodont. 2015, 26, 302–308. [Google Scholar] [CrossRef] [PubMed]
- Taraghi, I.; Fereidoon, A.; Paszkiewicz, S.; Roslaniec, Z. Electrically conductive polycarbonate/ethylene-propylene copolymer/multi-walled carbon nanotubes nanocomposites with improved mechanical properties. J. Appl. Polym. Sci. 2017, 134. [Google Scholar] [CrossRef]
- Blanco, I.; Cicala, G.; Ognibene, G.; Rapisarda, M.; Recca, A. Thermal properties of polyetherimide/polycarbonate blends for advanced applications. Polym. Degrad. Stab. 2018, 154, 234–238. [Google Scholar] [CrossRef]
- Mollah, M.I.; Kwon, Y.D.; Islam, M.M.; Seo, D.W.; Jang, H.H.; Lim, Y.D.; Lee, D.K.; Kim, W.G. Synthesis and characterization of polycarbonates containing terminal and chain interior siloxane. Polym. Bull. 2012, 68, 1551–1564. [Google Scholar] [CrossRef]
- Hagenaars, A.C.; Bailly, C.H.; Schneider, A.; Wolf, B.A. Preparative fractionation and characterization of polycarbonate/eugenol-siloxane copolymers. Polymer 2002, 43, 2663–2669. [Google Scholar] [CrossRef]
- Kopylov, V.M.; Ivanova, V.L.; Raigorodskii, I.M.; Kovyazin, V.A.; Kireev, V.V.; Zheneva, M.V.; Savitskii, A.M.; Sokol’skaya, I.B. Synthesis of new polycarbonate–polysiloxanes based on oligomeric organosilicon bisphenols. Polym. Sci. Ser. B 2010, 52, 277–285. [Google Scholar] [CrossRef]
- Blanco, I. The rediscovery of POSS: A molecule rather than a filler. Polymers 2018, 10, 904. [Google Scholar] [CrossRef] [PubMed]








| Samples | Mn | Mw | Mz | Mz/Mw |
|---|---|---|---|---|
| Bio-phenol siloxane | 1989 | 3332 | 5468 | 1.61 |
| 0%Si/PC, | 10,429 | 22,194 | 35,204 | 1.58 |
| 14%Si/PC | 16,804 | 32,989 | 52,088 | 1.58 |
| 20%Si/PC | 18,818 | 34,537 | 55,667 | 1.6 |
| Si Mass Fraction | Oxygen Permeability (cm3/m2·24h·0.1MPa) |
|---|---|
| 0% | 220.0515 ± 6.64 |
| 10% | 204.383 ± 2.58 |
| 14% | 344.378 ± 0.25 |
| 18% | 464.051 ± 2.31 |
| 20% | 502.65 ± 0.78 |
© 2019 by the authors. Licensee MDPI, Basel, Switzerland. This article is an open access article distributed under the terms and conditions of the Creative Commons Attribution (CC BY) license (http://creativecommons.org/licenses/by/4.0/).
Share and Cite
Pang, X.; Ge, X.; Ji, J.; Liang, W.; Liu, R.; Chen, X.; Yin, G.; Ge, J. Improving Oxygen Permeability and Thermostability of Polycarbonate via Copolymerization Modification with Bio-Phenol Polysiloxane. Polymers 2019, 11, 1302. https://doi.org/10.3390/polym11081302
Pang X, Ge X, Ji J, Liang W, Liu R, Chen X, Yin G, Ge J. Improving Oxygen Permeability and Thermostability of Polycarbonate via Copolymerization Modification with Bio-Phenol Polysiloxane. Polymers. 2019; 11(8):1302. https://doi.org/10.3390/polym11081302
Chicago/Turabian StylePang, Xiaoyan, Xin Ge, Jianye Ji, Weijie Liang, Ruoling Liu, Xunjun Chen, Guoqiang Yin, and Jianfang Ge. 2019. "Improving Oxygen Permeability and Thermostability of Polycarbonate via Copolymerization Modification with Bio-Phenol Polysiloxane" Polymers 11, no. 8: 1302. https://doi.org/10.3390/polym11081302
APA StylePang, X., Ge, X., Ji, J., Liang, W., Liu, R., Chen, X., Yin, G., & Ge, J. (2019). Improving Oxygen Permeability and Thermostability of Polycarbonate via Copolymerization Modification with Bio-Phenol Polysiloxane. Polymers, 11(8), 1302. https://doi.org/10.3390/polym11081302

