Thermal Stability, Fire and Smoke Behaviour of Epoxy Composites Modified with Plant Waste Fillers
Abstract
1. Introduction
- dehydration (evaporation of water);
- depolymerization and decarboxylation combined with dehydration of cellulose chains (formation of dehydrocellulose);
- decomposition of dehydrocellulose related to the formation of char;
- formation of levoglucosan;
2. Materials and Methods
3. Results
3.1. Natural Fillers Analysis
3.2. Structure of Composite Materials
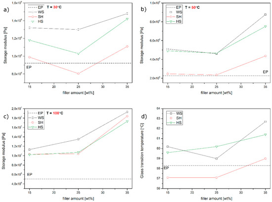
3.3. Dynamic Mechanical Analysis
3.4. Thermal Stability Analysis
3.5. Flammability Behaviour
3.6. Purser Furnace—GC-MS Analysis
4. Discussion
Author Contributions
Funding
Acknowledgments
Conflicts of Interest
References
- Faruk, O.; Bledzki, A.K.; Fink, H.-P.; Sain, M. Biocomposites reinforced with natural fibers: 2000–2010. Prog. Polym. Sci. 2012, 37, 1552–1596. [Google Scholar] [CrossRef]
- Arbelaiz, A.; Fernández, B.; Ramos, J.A.; Retegi, A.; Llano-Ponte, R.; Mondragon, I. Mechanical properties of short flax fibre bundle/polypropylene composites: Influence of matrix/fibre modification, fibre content, water uptake and recycling. Compos. Sci. Technol. 2005, 65, 1582–1592. [Google Scholar] [CrossRef]
- Bledzki, A.K.; Mamun, A.A.; Volk, J. Physical, chemical and surface properties of wheat husk, rye husk and soft wood and their polypropylene composites. Compos. Part A Appl. Sci. Manuf. 2010, 41, 480–488. [Google Scholar] [CrossRef]
- Sałasińska, K.; Ryszkowska, J. Natural fiber composites from polyethylene waste and straw. In Proceedings of the 19th European Biomass Conference and Exhibition ‘From Research to Industry and Markets’, Berlin, Germany, 6–10 June 2011. [Google Scholar]
- Andrzejewski, J.; Tutak, N.; Szostak, M. Polypropylene composites obtained from self-reinforced hybrid fiber system. J. Appl. Polym. Sci. 2016, 133, 43283. [Google Scholar] [CrossRef]
- Carus, M.; Eder, A.; Dammer, L.; Korte, H.; Scholz, L.; Essel, R.; Breitmayer, E. Wood-plastic composites (WPC) and natural-fibre composites (NFC). In Proceedings of the European and Global Markets 2012 and Future Trends, Huerth, Germany, June 2015. [Google Scholar]
- Kuciel, S. Polymer Composites Based on Recyclates with Natural Fibers; Publishing House of Cracow University of Technology: Krakow, Poland, 2011. [Google Scholar]
- Klyosov, A.A. Wood-Plastic Composites; John Wiley & Sons, Inc.: Hoboken, NJ, USA, 2007; ISBN 9780470165935. [Google Scholar]
- Oksman Niska, K.; Mohini, S. Wood-Polymer Composites; Woodhead Publishing Limited: New York, NY, USA; Washington, DC, USA, 2008; ISBN 978-1-84569-272-8. [Google Scholar]
- Bland, K.E. Behaviour of Wood Exposed to Fire: A Review and Expert Judgement Procedure for Predicting Assembly Failure; Worcester Polytechnic Institute: Worcester, MA, USA, 1991. [Google Scholar]
- Reszka, P. In-DEPTH Temperature Profiles in Pyrolzing Wood; University of Edinburgh: Edinburgh, UK, 2008. [Google Scholar]
- Chapple, S.; Anandjiwala, R. Flammability of Natural Fiber-reinforced Composites and Strategies for Fire Retardancy: A Review. J. Thermoplast. Compos. Mater. 2010, 23, 871–893. [Google Scholar] [CrossRef]
- Kandola, B.K. Flame retardant characteristics of natural fibre composites. In Natural Polymers; Composites, John, M.J., Thomas, S., Eds.; The Royal Society of Chemistry: London, UK, 2012; Volume 1, p. 86. [Google Scholar]
- Kozłowski, R.; Władyka-Przybylak, M. Flammability and fire resistance of composites reinforced by natural fibers. Polym. Adv. Technol. 2008, 19, 446–453. [Google Scholar] [CrossRef]
- Kozlowski, R.; Przybylak, M.W. Natural polymers, wood and lignocellulosic materials. In Fire Retardant Materials; Elsevier: Amsterdam, The Netherlands, 2001; pp. 293–317. [Google Scholar]
- Salasinska, K.; Barczewski, M.; Górny, R.; Kloziński, A. Evaluation of highly filled epoxy composites modified with walnut shell waste filler. Polym. Bull. 2018, 75, 2511–2528. [Google Scholar] [CrossRef]
- Barczewski, M.; Sałasińska, K.; Szulc, J. Application of sunflower husk, hazelnut shell and walnut shell as waste agricultural fillers for epoxy-based composites: A study into mechanical behavior related to structural and rheological properties. Polym. Test. 2019, 75, 1–11. [Google Scholar] [CrossRef]
- Stec, A.A.; Hull, T.R. Assessment of the fire toxicity of building insulation materials. Energy Build. 2011, 43, 498–506. [Google Scholar] [CrossRef]
- Salasinska, K.; Ryszkowska, J. The effect of filler chemical constitution and morphological properties on the mechanical properties of natural fiber composites. Compos. Interfaces 2015, 22, 39–50. [Google Scholar] [CrossRef]
- Bledzki, A.K.; Jaszkiewicz, A. Mechanical performance of biocomposites based on PLA and PHBV reinforced with natural fibres—A comparative study to PP. Compos. Sci. Technol. 2010, 70, 1687–1696. [Google Scholar] [CrossRef]
- Sałasińska, K. Kompozyty Polimerowe z Napełniaczami Pochodzenia Roślinnego Otrzymywane z Materiałów Odpadowych. Ph.D. Thesis, Warsaw University of Technology, Warsaw, Poland, 2015. [Google Scholar]
- Araujo, J.R.; Mano, B.; Teixeira, G.M.; Spinacé, M.A.S.; De Paoli, M.-A. Biomicrofibrilar composites of high density polyethylene reinforced with curauá fibers: Mechanical, interfacial and morphological properties. Compos. Sci. Technol. 2010, 70, 1637–1644. [Google Scholar] [CrossRef]
- Manoharan, S.; Suresha, B.; Ramadoss, G.; Bharath, B. Effect of Short Fiber Reinforcement on Mechanical Properties of Hybrid Phenolic Composites. J. Mater. 2014, 2014, 1–9. [Google Scholar] [CrossRef]
- Keusch, S.; Haessler, R. Influence of surface treatment of glass fibres on the dynamic mechanical properties of epoxy resin composites. Compos. Part A Appl. Sci. Manuf. 1999, 30, 997–1002. [Google Scholar] [CrossRef]
- Chee, S.S.; Jawaid, M.; Sultan, M.T.H. Thermal Stability and Dynamic Mechanical Properties of Kenaf/Bamboo Fibre Reinforced Epoxy Composites. BioResources 2017, 12, 7118–7132. [Google Scholar]
- Sałasińska, K.; Ryszkowska, J. Natural fiber composites with bio-derivative and/or degradable polymers. In Handbook of Composites from Renewable Materials, Biodegradable Materials; Biodegradable Materials; John Wiley and Sons: Hoboken, NJ, USA, 2017; Volume 5, pp. 323–354. [Google Scholar]
- Strzemiecka, B.; Klapiszewski, Ł.; Matykiewicz, D.; Voelkel, A.; Jesionowski, T. Functional lignin-SiO 2 hybrids as potential fillers for phenolic binders. J. Adhes. Sci. Technol. 2016, 30, 1031–1048. [Google Scholar] [CrossRef]
- Strzemiecka, B.; Klapiszewski, Ł.; Jamrozik, A.; Szalaty, T.; Matykiewicz, D.; Sterzyński, T.; Voelkel, A.; Jesionowski, T. Physicochemical Characterization of Functional Lignin–Silica Hybrid Fillers for Potential Application in Abrasive Tools. Materials 2016, 9, 517. [Google Scholar] [CrossRef] [PubMed]
- Barczewski, M.; Mysiukiewicz, O.; Kloziński, A. Complex modification effect of linseed cake as an agricultural waste filler used in high density polyethylene composites. Iran. Polym. J. 2018, 27, 677–688. [Google Scholar] [CrossRef]
- Mysiukiewicz, O.; Barczewski, M. Utilization of linseed cake as a postagricultural functional filler for poly(lactic acid) green composites. J. Appl. Polym. Sci. 2019, 136, 47152. [Google Scholar] [CrossRef]
- Bledzki, A.K.; Mamun, A.A.; Volk, J. Barley husk and coconut shell reinforced polypropylene composites: The effect of fibre physical, chemical and surface properties. Compos. Sci. Technol. 2010, 70, 840–846. [Google Scholar] [CrossRef]
- Manfredi, L.B.; Rodríguez, E.S.; Wladyka-Przybylak, M.; Vázquez, A. Thermal degradation and fire resistance of unsaturated polyester, modified acrylic resins and their composites with natural fibres. Polym. Degrad. Stab. 2006, 91, 255–261. [Google Scholar] [CrossRef]
- Panthapulakkal, S.; Sain, M. Agro-residue reinforced high-density polyethylene composites: Fiber characterization and analysis of composite properties. Compos. Part A Appl. Sci. Manuf. 2007, 38, 1445–1454. [Google Scholar] [CrossRef]
- Fung, K.L.; Xing, X.S.; Li, R.K.Y.; Tjong, S.C.; Mai, Y.-W. An investigation on the processing of sisal fibre reinforced polypropylene composites. Compos. Sci. Technol. 2003, 63, 1255–1258. [Google Scholar] [CrossRef]
- Yang, H.; Yan, R.; Chen, H.; Lee, D.H.; Zheng, C. Characteristics of hemicellulose, cellulose and lignin pyrolysis. Fuel 2007, 86, 1781–1788. [Google Scholar] [CrossRef]
- Shi, Y.; Yu, B.; Duan, L.; Gui, Z.; Wang, B.; Hu, Y.; Yuen, R.K.K. Graphitic carbon nitride/phosphorus-rich aluminum phosphinates hybrids as smoke suppressants and flame retardants for polystyrene. J. Hazard. Mater. 2017, 332, 87–96. [Google Scholar] [CrossRef] [PubMed]
- Martinka, J.; Rantuch, P.; Balog, K. Fire hazard and heat of combustion of sunflower seed hull pellets. J. Therm. Anal. Calorim. 2017, 130, 1531–1540. [Google Scholar] [CrossRef]
- Shi, Y.; Yu, B.; Zhou, K.; Yuen, R.K.K.; Gui, Z.; Hu, Y.; Jiang, S. Novel CuCo2O4/graphitic carbon nitride nanohybrids: Highly effective catalysts for reducing CO generation and fire hazards of thermoplastic polyurethane nanocomposites. J. Hazard. Mater. 2015, 293, 87–96. [Google Scholar] [CrossRef]
- Shi, Y.; Wang, L.; Fu, L.; Liu, C.; Yu, B.; Yang, F.; Hu, Y. Sodium alginate-templated synthesis of g-C3N4/carbon spheres/Cu ternary nanohybrids for fire safety application. J. Coll. Interface Sci. 2019, 539, 1–10. [Google Scholar] [CrossRef]
- Sacristán, M.; Hull, T.R.; Stec, A.A.; Ronda, J.C.; Galià, M.; Cádiz, V. Cone calorimetry studies of fire retardant soybean-oil-based copolymers containing silicon or boron: Comparison of additive and reactive approaches. Polym. Degrad. Stab. 2010, 95, 1269–1274. [Google Scholar] [CrossRef]
- Feng, C.; Zhang, Y.; Liang, D.; Liu, S.; Chi, Z.; Xu, J. Influence of zinc borate on the flame retardancy and thermal stability of intumescent flame retardant polypropylene composites. J. Anal. Appl. Pyrolysis 2015, 115, 224–232. [Google Scholar] [CrossRef]











| Filler | Water, % | T150+1%, °C | DTG 1, °C | DTG 2, °C | Residual Mass at 900 °C, % | Organic Components, % |
|---|---|---|---|---|---|---|
| WS | 3.1 | 216 | 291 | 345 | 17.9 | 94.1 |
| HS | 3.8 | 215 | 290 | 347 | 17.8 | 94.0 |
| SH | 3.8 | 194 | - | 333 | 19.7 | 91.1 |
| Sample Designation | 5% Mass Loss, °C | 10% Mass Loss, °C | 50% Mass Loss, °C | DTGA, °C, %/min | Residual Mass 900 °C, % |
|---|---|---|---|---|---|
| EP | 172 | 224 | 364 | 368, −12.9 | 4.74 |
| 15% WS | 183 | 247 | 360 | 358, −11.0 | 9.43 |
| 25% WS | 175 | 240 | 357 | 358, −10.8 | 10.96 |
| 35% WS | 190 | 261 | 355 | 354, −10.0 | 13.98 |
| 15% HS | 178 | 240 | 361 | 365, −11.8 | 9.15 |
| 25% HS | 181 | 245 | 360 | 361, −11.1 | 12.66 |
| 35% HS | 190 | 255 | 357 | 354, −9.1 | 14.96 |
| 15% SH | 167 | 223 | 363 | 363, −11.1 | 8.50 |
| 25% SH | 154 | 209 | 364 | 365, −10.8 | 9.90 |
| 35% SH | 158 | 215 | 362 | 362, −8.9 | 11.31 |
| Sample Designation | TTI, | pHRR, | THR, | MARHE, | Fire Residue, | SEA, | TSR, |
|---|---|---|---|---|---|---|---|
| s | kW/m2 | MJ/m2 | kW/m2 | % | m2/kg | m2/m2 | |
| EP | 51(17) | 1156 (221) | 184 (7) | 569 (82) | 8 (1) | 1582 (554) | 10,353 (3672) |
| 15% WS | 47 (6) | 803 (81) | 167 (1) | 536 (43) | 10 (1) | 834 (43) | 5303 (284) |
| 25% WS | 55 (2) | 826 (14) | 167 (7) | 531 (12) | 11 (2) | 743 (22) | 4731 (239) |
| 35% WS | 46 (3) | 873 (87) | 155 (2) | 543 (26) | 14 (0) | 650 (35) | 3986 (199) |
| 15% HS | 46 (1.5) | 744 (92) | 158 (18) | 502 (39) | 11 (1) | 849 (22) | 5122 (490) |
| 25% HS | 47 (3) | 802 (78) | 161 (1) | 487 (33) | 12 (0) | 810 (58) | 4974 (365) |
| 35% HS | 50 (3) | 677 (81) | 143 (2) | 428 (27) | 14 (1) | 642 (17) | 3915 (147) |
| 15% SH | 37 (2) | 1002 (150) | 161 (4) | 568 (43) | 11 (0) | 857 (9) | 5344 (184) |
| 25% SH | 38 (11) | 615 (62) | 158 (2) | 447 (28) | 11 (1) | 700 (114) | 4368 (713) |
| 35% SH | 31 (5) | 520 (69) | 151 (2) | 383 (21) | 14 (1) | 716 (13) | 4371 (127) |
| Peak Number | Retention Time (min) | Compound | Emissionyields (peakarea %) | |||
|---|---|---|---|---|---|---|
| EP | 35 wt % WS | 35 wt % HS | 35 wt % SH | |||
| 1 | 1.50 | COx, NOx, H2O | 1.60 | 2.51 | 1.51 | 4.41 |
| 2 | 9.49 | Styrene | 0.16 | 0.33 | 0.39 | 0.39 |
| 3 | 12.11 | Benzaldehyde | 3.93 | 3.74 | 4.67 | 3.82 |
| 4 | 13.15 | Phenol | 3.67 | 3.96 | 4.47 | 3.12 |
| 5 | 14.95 | Benzylalcohol | 16.04 | 12.29 | 17.31 | 8.99 |
| 6 | 15.62 | 2-methylphenol | 1.14 | 0.60 | 0.67 | |
| 7 | 16.33 | 3-methylphenol | 0.93 | 0.68 | ||
| 8 | 19.58 | Naphthalene | 7.11 | 5.34 | 4.97 | 3.19 |
| 9 | 21.16 | 2,3-dihydro-benzofuran | 5.95 | 3.01 | 2.49 | 2.73 |
| 10 | 22.82 | 1-methylnaphthalene | 2.46 | 2.11 | 1.99 | 0.86 |
| 11 | 23.29 | 2-methylnaphthalene | 1.67 | 1.24 | 1.28 | |
| 12 | 23.87 | p-isopropenylphenol | 13.82 | 8.20 | 9.12 | 5.96 |
| 13 | 25.18 | Biphenyl | 4.07 | 4.66 | 3.57 | 2.48 |
| 14 | 25.83 | 1,3-dimethyl-naphthalene | 1.07 | 1.08 | ||
| 15 | 26.03 | Ethenylnaphthalene | 0.68 | 0.77 | ||
| 16 | 26.68 | 1,2,3,4-tetrahydro-2,5,8-trimethyl-1-naphthalenol | 0.49 | 0.57 | 0.73 | |
| 17 | 27.04 | Acenaphthylene | 8.13 | 14.12 | 14.17 | 10.20 |
| 18 | 27.56 | 1-dodecanol | 4.63 | 6.92 | 11.15 | 3.53 |
| 19 | 27.92 | 1-isopropyl-naphthalene | 1.44 | 1.78 | 1.13 | |
| 20 | 28.74 | Dibenzofuran | 0.67 | 1.22 | 0.82 | 1.24 |
| 21 | 30.44 | Fluorene | 1.78 | 4.70 | 4.51 | 7.77 |
© 2019 by the authors. Licensee MDPI, Basel, Switzerland. This article is an open access article distributed under the terms and conditions of the Creative Commons Attribution (CC BY) license (http://creativecommons.org/licenses/by/4.0/).
Share and Cite
Salasinska, K.; Barczewski, M.; Borucka, M.; Górny, R.L.; Kozikowski, P.; Celiński, M.; Gajek, A. Thermal Stability, Fire and Smoke Behaviour of Epoxy Composites Modified with Plant Waste Fillers. Polymers 2019, 11, 1234. https://doi.org/10.3390/polym11081234
Salasinska K, Barczewski M, Borucka M, Górny RL, Kozikowski P, Celiński M, Gajek A. Thermal Stability, Fire and Smoke Behaviour of Epoxy Composites Modified with Plant Waste Fillers. Polymers. 2019; 11(8):1234. https://doi.org/10.3390/polym11081234
Chicago/Turabian StyleSalasinska, Kamila, Mateusz Barczewski, Monika Borucka, Rafał L. Górny, Paweł Kozikowski, Maciej Celiński, and Agnieszka Gajek. 2019. "Thermal Stability, Fire and Smoke Behaviour of Epoxy Composites Modified with Plant Waste Fillers" Polymers 11, no. 8: 1234. https://doi.org/10.3390/polym11081234
APA StyleSalasinska, K., Barczewski, M., Borucka, M., Górny, R. L., Kozikowski, P., Celiński, M., & Gajek, A. (2019). Thermal Stability, Fire and Smoke Behaviour of Epoxy Composites Modified with Plant Waste Fillers. Polymers, 11(8), 1234. https://doi.org/10.3390/polym11081234

