Comparison of Experimental and Modeled EMI Shielding Properties of Periodic Porous xGNP/PLA Composites
Abstract
1. Introduction
2. Methods
2.1. Composite Design Overview
2.2. Materials and Procedures
3. Results and Discussion
3.1. Microstructure and Conductivity of xGNP/PLA Composites
3.2. Complex Electromagnetic Properties vs. xGNP Loadings and Frequency
3.3. EMI Shielding Effectiveness of Non-PEC Backed xGNP/PLA Composite Plaques in a Waveguide
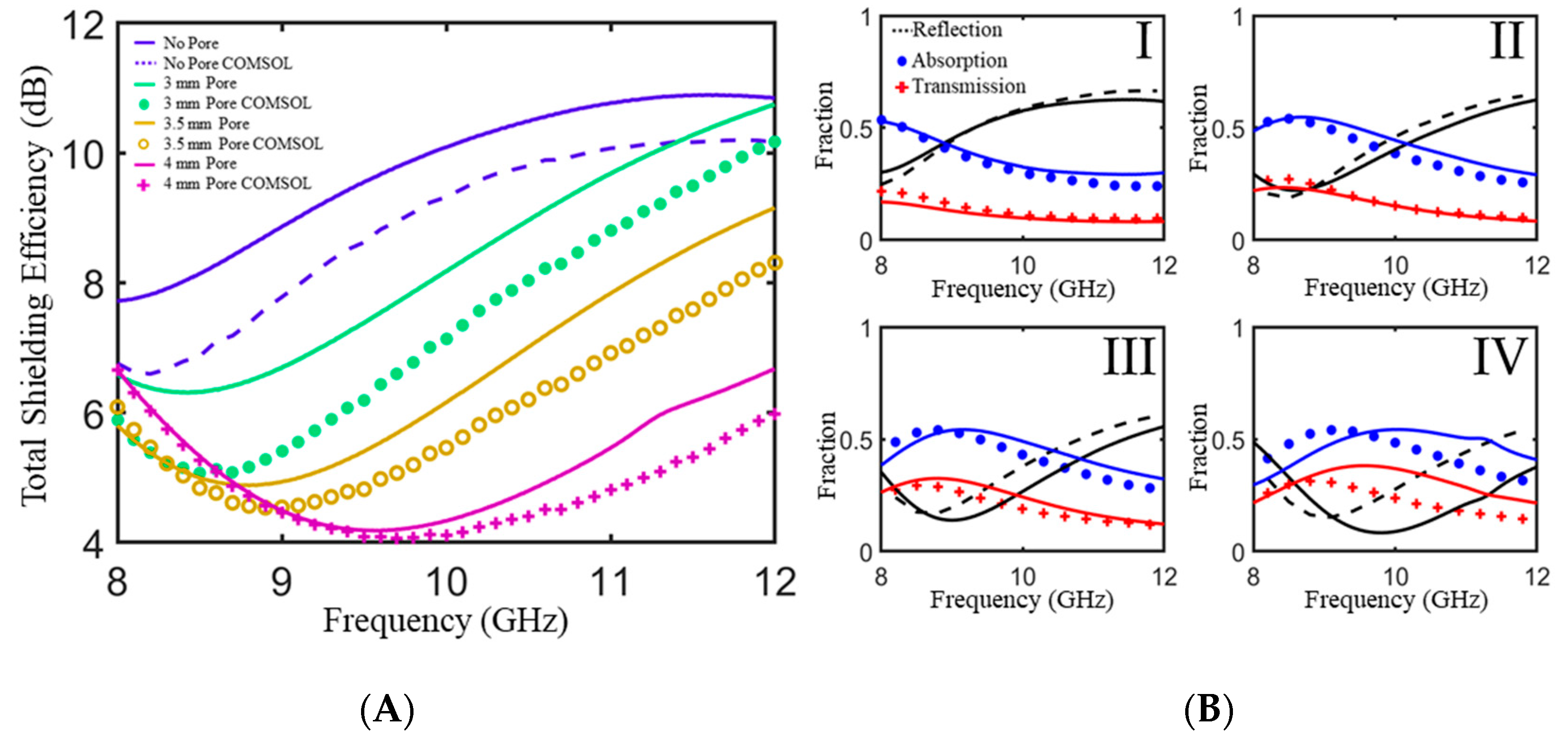
3.4. EMI Shielding Effectiveness of Non-PEC Backed PLA/xGNP Composites with Cylindrical Pores
3.5. Reflection Loss of PEC-Backed xGNP/PLA Composites
4. Conclusions
Author Contributions
Funding
Acknowledgments
Conflicts of Interest
References
- Kong, L.B.; Li, Z.W.; Liu, L.; Huang, R.; Abshinova, M.; Yang, Z.; Tang, C.B.; Tan, P.K.; Deng, C.R.; Matitsine, S. Recent progress in some composite materials and structures for specific electromagnetic applications. Int. Mater. Rev. 2013, 58, 203–259. [Google Scholar] [CrossRef]
- Sienkiewicz, Z. Biological effects of electromagnetic fields and radiation. J. Radiol. Prot. 1998, 18, 185–193. [Google Scholar] [CrossRef] [PubMed]
- Qin, F.; Brosseau, C. A review and analysis of microwave absorption in polymer composites filled with carbonaceous particles. J. Appl. Phys. 2012, 111, 061301. [Google Scholar] [CrossRef]
- Lv, H.; Zhang, H.; Ji, G.; Xu, Z.J. Interface Strategy to Achieve Tunable High Frequency Attenuation. ACS Appl. Mater. Interfaces 2016, 8, 6529–6583. [Google Scholar] [CrossRef] [PubMed]
- Wang, P.; Cheng, L.; Zhang, L. One-dimensional carbon/SiC nanocomposites with tunable dielectric and broadband electromagnetic wave absorption properties. Carbon 2017, 125, 207–220. [Google Scholar] [CrossRef]
- Kumar, R.; Singha, A.P.; Chandb, M.; Pantb, R.P.; Kotnalaa, R.; Dhawana, K.; Mathura, R.B.; Dhakate, S.R. Improved microwave absorption in lightweight resin-based carbon foam by decorating with magnetic and dielectric nanoparticles. RSC Adv. 2016, 4, 23476–23484. [Google Scholar] [CrossRef]
- Shen, B.; Zhai, W.; Tao, M.; Ling, J.; Zheng, W. Lightweight, multifunctional polyetherimide/graphene@Fe3O 4 composite foams for shielding of electromagnetic pollution. ACS Appl. Mater. Interfaces 2013, 5, 11383–11391. [Google Scholar] [CrossRef] [PubMed]
- Gedler, G.; Antunes, M.; Velasco, J.I.; Ozisik, R. Enhanced electromagnetic interference shielding effectiveness of polycarbonate/graphene nanocomposites foamed via 1-step supercritical carbon dioxide process. Mater. Des. 2016, 9, 906–914. [Google Scholar] [CrossRef]
- Dhakate, S.R.; Subhedar, K.M.; Singh, B.P. Polymer nanocomposite foam filled with carbon nanomaterials as an efficient electromagnetic interference shielding material. RSC Adv. 2015, 5, 43036–43057. [Google Scholar] [CrossRef]
- Zhang, Y.; Huang, Y.; Zhang, T.; Chang, H.; Xiao, P.; Chen, H.; Huang, Z.; Chen, Y. Broadband and tunable high-performance microwave absorption of an ultralight and highly compressible graphene foam. Adv. Mater. 2015, 27, 2049–2053. [Google Scholar] [CrossRef]
- Li, Q. Open-cell phenolic carbon foam and electromagnetic interference shielding properties. Carbon 2016, 104, 90–105. [Google Scholar] [CrossRef]
- Gedler, G.; Antunes, M.; Velasco, J.I. Effects of graphene nanoplatelets on the morphology of polycarbonate-graphene composite foams prepared by supercritical carbon dioxide two-step foaming. J. Supercrit. Fluids 2015, 100, 167–174. [Google Scholar] [CrossRef]
- Gedler, G.; Antunes, M.; Borca-Tasciuc, T.; Velasco, J.I.; Ozisik, R. Effects of graphene concentration, relative density and cellular morphology on the thermal conductivity of polycarbonate-graphene nanocomposite foams. Eur. Polym. J. 2016, 75, 190–199. [Google Scholar] [CrossRef]
- Soltani, A.M.; Famili, M.; Shirvan, M.M.M.; Moeini, M. The relationship between electromagnetic absorption properties and cell structure of poly (methyl methacrylate)/multi-walled carbon nanotube composite foams. Mater. Des. 2016, 100, 73–83. [Google Scholar] [CrossRef]
- Luo, H.; Chena, F.; Wang, F.; Wang, X.; Dai, W.; Hu, S.; Gong, R. Preparation and microwave absorption properties of honeycomb core structures coated with composite absorber. J. Appl. Phys. AIP Adv. 2018, 8. [Google Scholar] [CrossRef]
- Zhang, K.L.; Zhang, J.Y.; Hou, Z.L.; Bi, S.; Zhao, Q.L. Multifunctional broadband microwave absorption of flexible graphene composites. Carbon N. Y. 2018, 141, 608–617. [Google Scholar] [CrossRef]
- COMSOL. Multiphysics® v.5.4. COMSOL AB: Stockholm, Sweden. Available online: https://www.comsol.com/ (accessed on 25 July 2019).
- Noh, Y.J. Ultra-high dispersion of graphene in polymer composite via solvent free fabrication and functionalization. Sci. Rep. 2015, 5. [Google Scholar] [CrossRef] [PubMed]
- Weir, W.B. Automatic Measurement of Complex Dielectric Constant and Permeability at Microwave Frequencies. Proc. IEEE 1974, 62, 33–36. [Google Scholar] [CrossRef]
- Paula, A.L.; Rezende, M.C.; Barroso, J.J. Modified Nicolson-Ross-Weir (NRW) method to retrieve the constitutive parameters of low-loss materials. In Proceedings of the SBMO/IEEE MTT-S International Microwave and Optoelectronics Conference, Natal, Brazil, 29 October–1 November 2011. [Google Scholar] [CrossRef]
- Taherian, R. Experimental and analytical model for the electrical conductivity of polymer-based nanocomposites. Compos. Sci. Technol. 2016, 123, 17–31. [Google Scholar] [CrossRef]
- Taipalus, R.; Harmia, T.; Zhang, M.Q.; Friedrich, K. The electrical conductivity of carbon-fibre-reinforced polypropylene/polyaniline complex-blends: Experimental characterisation and modelling. Compos. Sci. Technol. 2001, 61, 801–814. [Google Scholar] [CrossRef]
- Ameli, A.; Jung, P.U.; Park, C.B. Electrical properties and electromagnetic interference shielding effectiveness of polypropylene/carbon fiber composite foams. Carbon 2013, 60, 379–391. [Google Scholar] [CrossRef]
- Xu, W.; Wang, G.S.; Yin, P.G. Designed fabrication of reduced graphene oxides/Ni hybrids for effective electromagnetic absorption and shielding. Carbon N. Y. 2018, 139, 759–767. [Google Scholar] [CrossRef]
- Cao, M. Graphene nanohybrids: Excellent electromagnetic properties for the absorbing and shielding of electromagnetic waves. J. Mater. Chem. C 2018, 6, 4586–4602. [Google Scholar] [CrossRef]
- Bellis, G.; Tamburrano, A.; Dinescu, A.; Santarelli, M.L.; Sarto, M.S. Electromagnetic properties of composites containing graphite nanoplatelets at radio frequency. Carbon N. Y. 2011, 49, 4291–4300. [Google Scholar] [CrossRef]
- Bansala, T.; Joshi, M.; Mukhopadhyay, S. Electrically conducting graphene-based polyurethane nanocomposites for microwave shielding applications in the Ku band. J. Mater. Sci. 2017, 52, 1546–1560. [Google Scholar] [CrossRef]
- Anwar, Z.; Kausar, A.; Rafique, I.; Muhammad, B. Advances in Epoxy/Graphene Nanoplatelet Composite with Enhanced Physical Properties: A Review. Polymer-Plast. Technol. Eng. 2016, 55, 643–662. [Google Scholar] [CrossRef]
- Chen, C.Y.; Pu, N.W.; Liu, Y.M. Remarkable microwave absorption performance of graphene at very low loading raio. Comp. Part B 2017, 114, 395–403. [Google Scholar] [CrossRef]
- Arjmand, M.; Mahmoodi, M.; Park, S.; Sundararaj, U. An innovative method to reduce the energy loss of conductive filler/polymer composites for charge storage applications. Comp. Sci. Technol. 2013, 78, 24–29. [Google Scholar] [CrossRef]
- Yan, L. Coaxial multi-interface hollow Ni-Al2O3-ZnO nanowires tailored by atomic layer deposition for selective-frequency absorptions. Nano Res. 2017, 10, 1595–1607. [Google Scholar] [CrossRef]
- Adohi, B.; Haidar, B.; Costa, L.; Laur, V.; Brosseau, C. Assessing the role of graphene content in the electromagnetic response of graphene polymer nanocomposites. Eur. Phys. J. B 2015, 88. [Google Scholar] [CrossRef]
- Nasouri, K.; Shoushtari, A.M.; Mojtahedi, M.R.M. Theoretical and experimental studies on EMI shielding mechanisms of multi-walled carbon nanotubes reinforced high performance composite nanofibers. J. Polym. Res. 2016, 23. [Google Scholar] [CrossRef]
- Yang, Y.; Gupta, M.C.; Dudley, K.L.; Lawrence, R.W. Conductive carbon nanofiber-polymer foam structures. Adv. Mater. 2005, 17, 1999–2003. [Google Scholar] [CrossRef]
- Li, J.; Kim, J.K. Percolation threshold of conducting polymer composites containing 3D randomly distributed graphite nanoplatelets. Compos. Sci. Technol. 2007, 67, 2114–2120. [Google Scholar] [CrossRef]
- Kashi, S.; Gupta, R.K.; Baum, T.; Kao, N.; Bhattacharya, S.N. Dielectric properties and electromagnetic interference shielding effectiveness of graphene-based biodegradable nanocomposites. Mater. Des. 2016, 109, 68–78. [Google Scholar] [CrossRef]
- Dhawan, S.; Ohlan, A.; Singh, K. Advances in Nanocomposites Synthesis, Characterization and Industrial Applications; InTech: London, UK, 2012. [Google Scholar]
- Chen, L.F.; Ong, C.K.; Neo, C.P.; Varadan, V.V.; Varadan, V.K. Measurement and Materials Characterization. Microwave Electronics; Wiley: Hoboken, NJ, USA, 2004. [Google Scholar]
- Al-Saleh, M.H.; Sundararaj, U. Electromagnetic interference shielding mechanisms of CNT/polymer composites. Carbon 2009, 47, 1738–1746. [Google Scholar] [CrossRef]
- Mohan, R.; Varma, R.S.J.; Sankaran, J. Impressive electromagnetic shielding effects exhibited by highly ordered, micrometer thick polyaniline films. Appl. Phys. Lett. 2016, 108, 154101. [Google Scholar] [CrossRef]
- Al-Saleh, M.H. Electrical and electromagnetic interference shielding characteristics of GNP/UHMWPE composites. J. Phys. D Appl. Phys. 2016, 49, 195302. [Google Scholar] [CrossRef]
- Shao, C.; Su, X.; Wang, J.; Zhang, X.; Zhang, B.; Wu, Q. Synthesis of core–shell Fe3O4@ppy/graphite nanosheets composites with enhanced microwave absorption performance. Mater. Lett. 2018, 23, 136–139. [Google Scholar]
- Shen, B.; Li, Y.; Yi, D. Microcellular graphene foam for improved broadband electromagnetic interference shielding. Carbon N. Y. 2016, 102, 154–160. [Google Scholar] [CrossRef]
- Bregman, A.; Taub, A.; Michielssen, E. Computational design of composite EMI shields through the control of pore morphology. MRS Commun. 2018, 8, 1153–1157. [Google Scholar] [CrossRef]








| Material | Conductivity (S/m) | Aspect Ratio |
|---|---|---|
| PLA | 10−13 | N/A |
| 5% C750/PLA | 6 × 10−10 | 222 |
| 5% M15/PLA | 3 × 10−4 | 1667 |
| 5% M25/PLA | 1.5 × 10−1 | 2778 |
© 2019 by the authors. Licensee MDPI, Basel, Switzerland. This article is an open access article distributed under the terms and conditions of the Creative Commons Attribution (CC BY) license (http://creativecommons.org/licenses/by/4.0/).
Share and Cite
Bregman, A.; Michielssen, E.; Taub, A. Comparison of Experimental and Modeled EMI Shielding Properties of Periodic Porous xGNP/PLA Composites. Polymers 2019, 11, 1233. https://doi.org/10.3390/polym11081233
Bregman A, Michielssen E, Taub A. Comparison of Experimental and Modeled EMI Shielding Properties of Periodic Porous xGNP/PLA Composites. Polymers. 2019; 11(8):1233. https://doi.org/10.3390/polym11081233
Chicago/Turabian StyleBregman, Avi, Eric Michielssen, and Alan Taub. 2019. "Comparison of Experimental and Modeled EMI Shielding Properties of Periodic Porous xGNP/PLA Composites" Polymers 11, no. 8: 1233. https://doi.org/10.3390/polym11081233
APA StyleBregman, A., Michielssen, E., & Taub, A. (2019). Comparison of Experimental and Modeled EMI Shielding Properties of Periodic Porous xGNP/PLA Composites. Polymers, 11(8), 1233. https://doi.org/10.3390/polym11081233
