Benzoxazine Containing Fluorinated Aromatic Ether Nitrile Linkage: Preparation, Curing Kinetics and Dielectric Properties
Abstract
1. Introduction
2. Experimental
2.1. Material
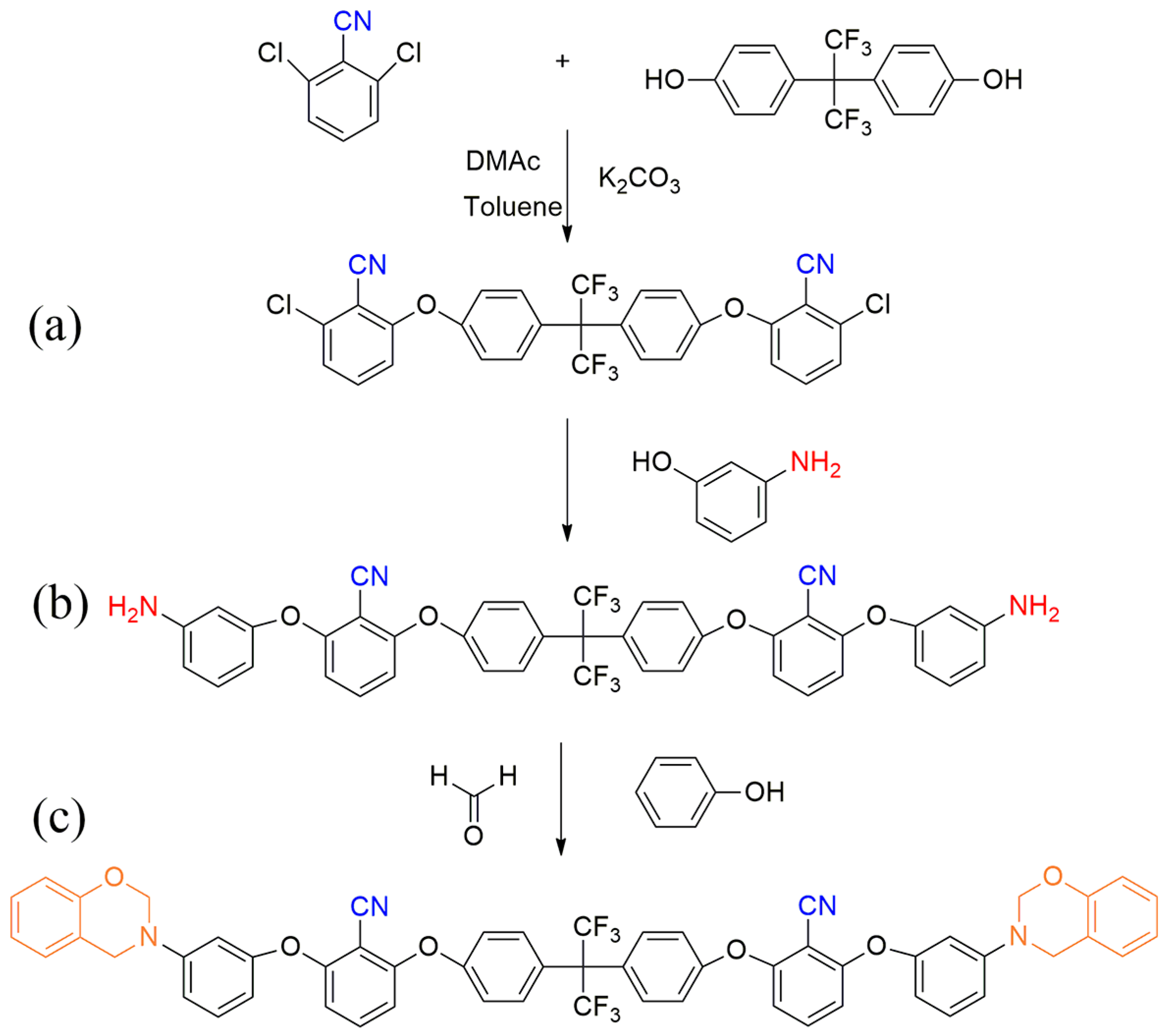
2.2. Synthesis of the Amino-Terminated Fluorinated Aromatic Ether Nitrile Linkage (FAEN-NH2) Monomers
2.3. Preparation of Bbenzoxazine Containing Fluorinated Aromatic Ether Nitrile (FAEN-Bz) Monomers
2.4. Preparation of Benzoxazine Containing Fluorinated Aromatic Ether Nitrile Polymers (poly(FAEN-Bz))
2.5. Characterizations
3. Results and Discussion
3.1. Characterization of the Structures of FAEN-NH2 and FAEN-Bz Monomers
3.2. Curing Kinetics of FAEN-Bz Monomers
3.2.1. Gelling Analysis of FEAEN-Bz Monomers
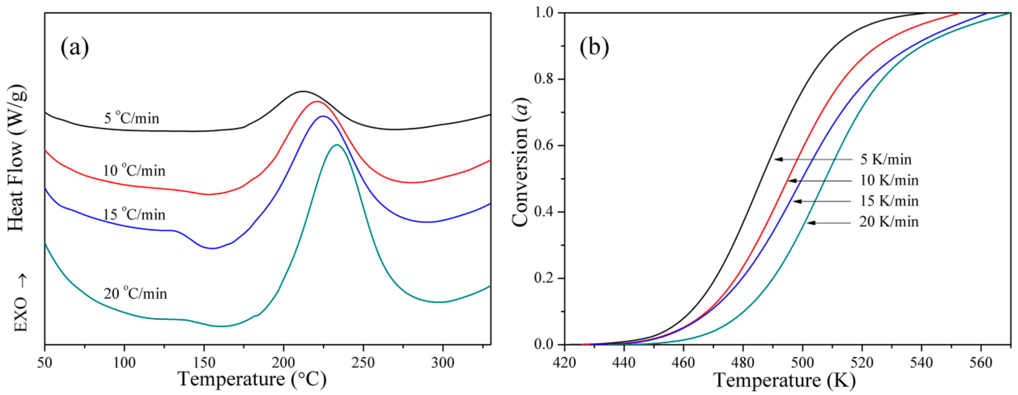
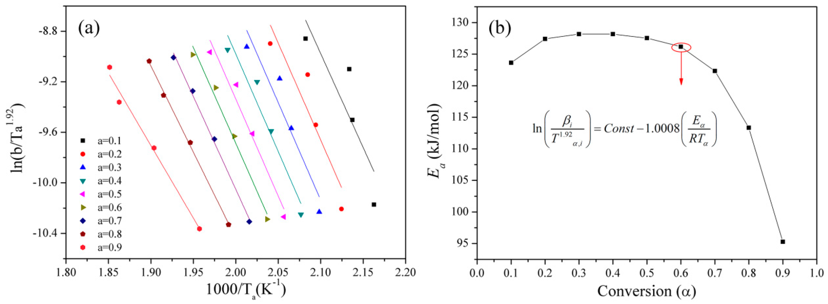
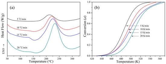
3.2.2. Kinetic Analysis by Differential Scanning Calorimetric (DSC)
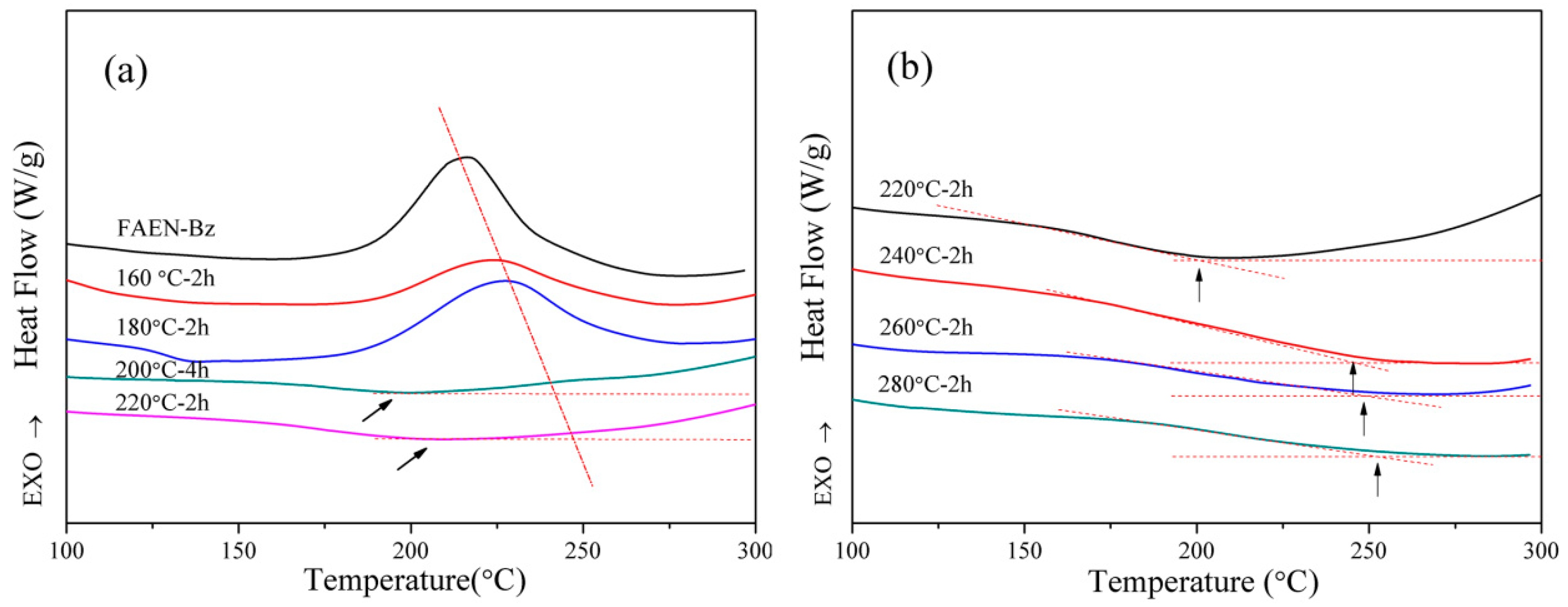
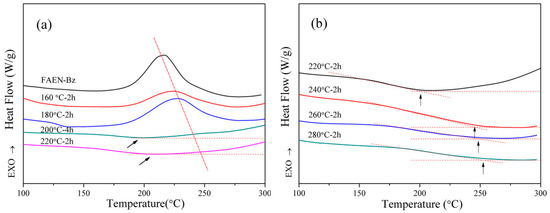
3.3. Curing Behaviors of FAEN-Bz and Its Polymerization Mechanisms
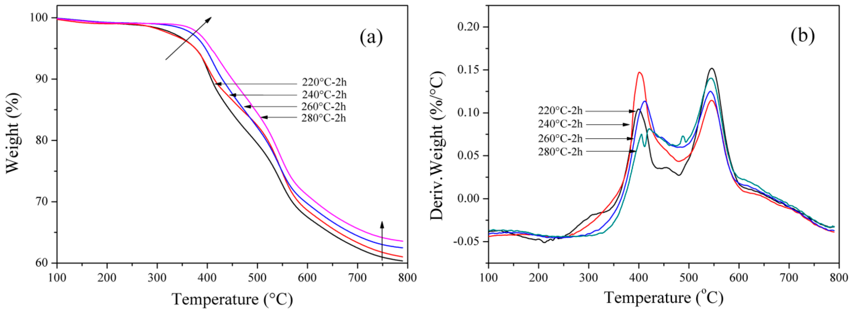
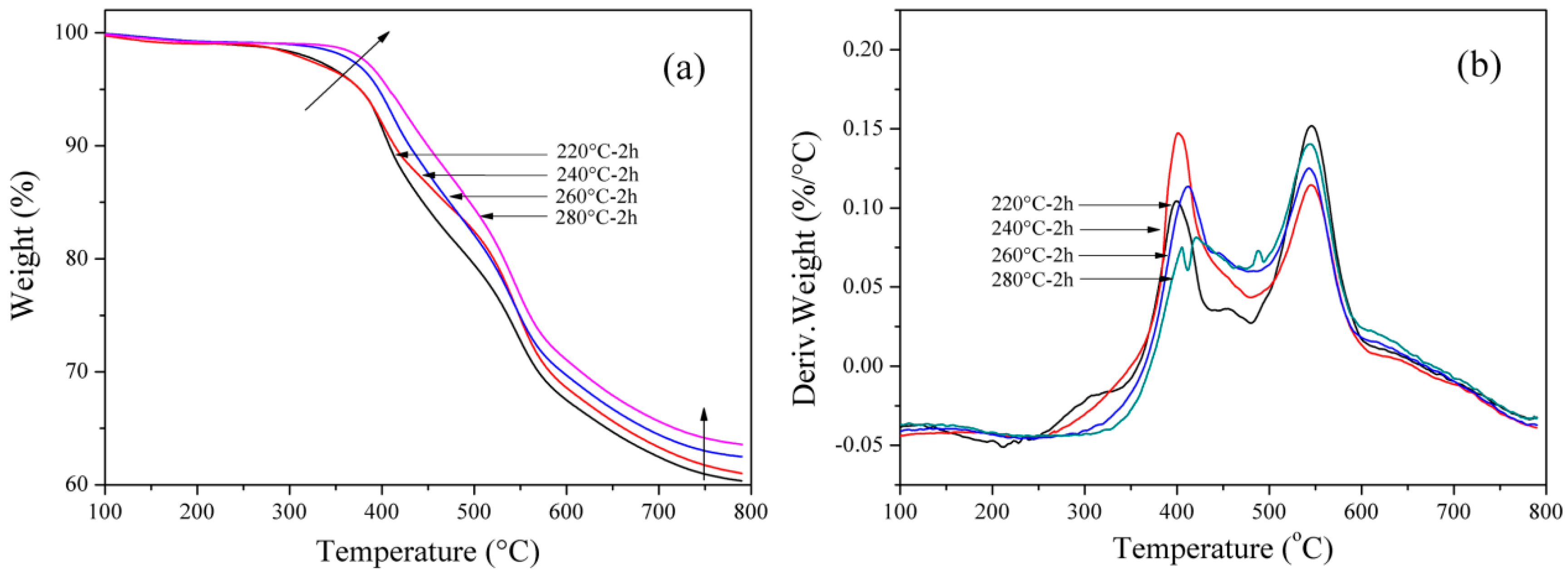
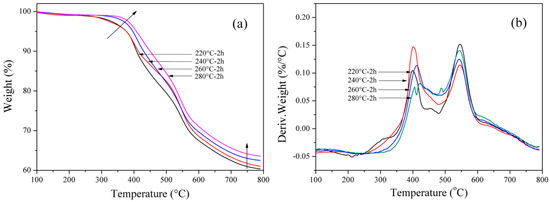
3.4. Thermal Stability of Poly(FAEN-Bz) and the Thermal Decomposition Mechanism
3.5. Phase Morphology of the Poly(FAEN-Bz) Polymer
3.6. Surface Wettability of Poly(FAEN-Bz)
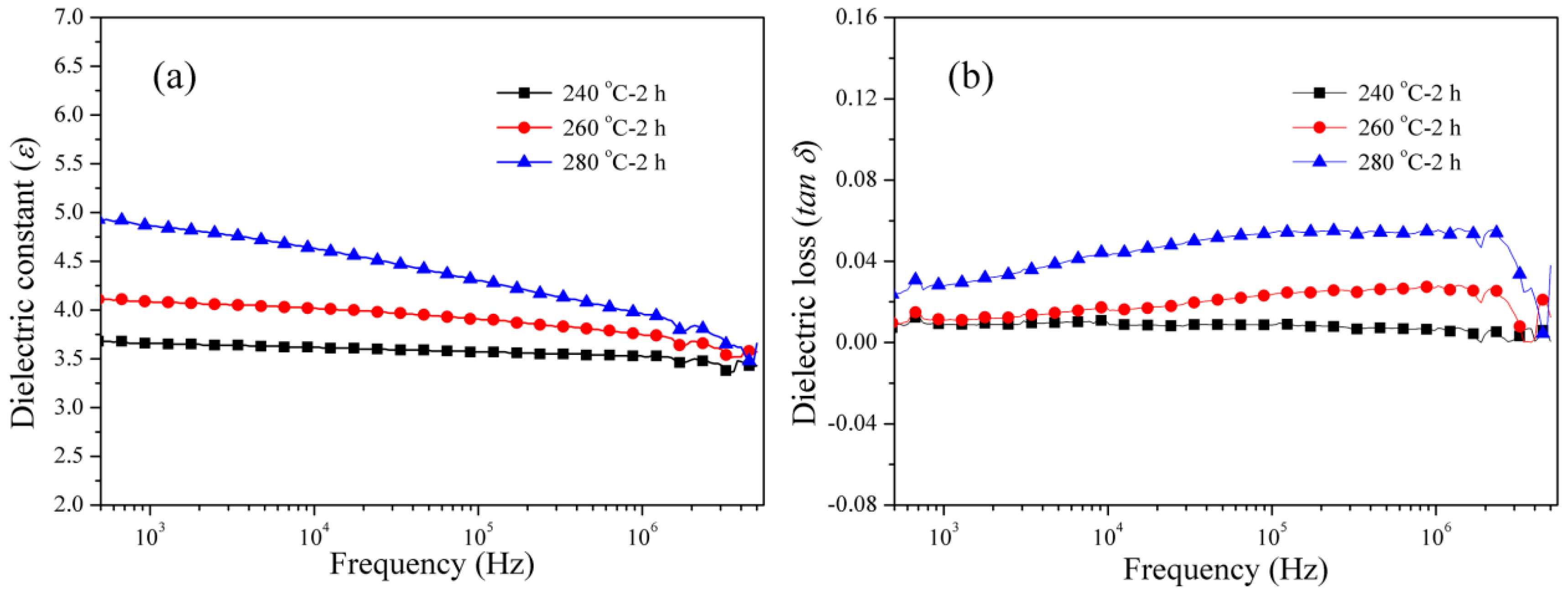
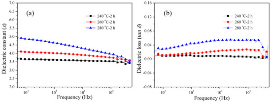
3.7. Dielectric Properties of Poly(FAEN-Bz) Cured at Various Temperatures
4. Conclusions
Supplementary Materials
Author Contributions
Acknowledgements
Conflicts of Interest
References
- Lin, C.H.; Huang, S.J.; Wang, P.J.; Lin, H.T.; Dai, S.A. Miscibility, Microstructure, and Thermal and Dielectric Properties of Reactive Blends of Dicyanate Ester and Diamine-Based Benzoxazine. Macromolecules 2012, 45, 7461–7466. [Google Scholar] [CrossRef]
- Zhang, S.; Li, X.; Fan, H.; Fu, Q.; Gu, Y. Epoxy nanocomposites: Improved thermal and dielectric properties by benzoxazinyl modified polyhedral oligomeric silsesquioxane. Mater. Chem. Phys. 2019, 223, 260–267. [Google Scholar] [CrossRef]
- Chozhan, C.K.; Chandramohan, A.; Alagar, M. Cyclohexane and phosphorus based benzoxazine-bismaleimide hybrid polymer matrices: Thermal and morphological properties. J. Macromol. Sci. Part A-Pure Appl. Chem. 2019. [Google Scholar] [CrossRef]
- Chen, L.; Ren, D.; Chen, S.; Li, K.; Xu, M.; Liu, X. Improved thermal stability and mechanical properties of benzoxazine-based composites with the enchantment of nitrile. Polym. Test. 2019, 74, 127–137. [Google Scholar] [CrossRef]
- Chen, Y.; Wu, Y.; Dai, G.; Ma, Y. Effect of functionalized graphene on mechanical properties and dielectric constant of bismaleimide composites. J. Mater. Sci.-Mater. Electron. 2019, 30, 6234–6241. [Google Scholar] [CrossRef]
- Mgbemena, C.O.; Li, D.; Lin, M.-F.; Liddel, P.D.; Katnam, K.B.; Thakur, V.K.; Nezhad, H.Y. Accelerated microwave curing of fibre-reinforced thermoset polymer composites for structural applications: A review of scientific challenges. Compos. Part A-Appl. Sci. Manuf. 2018, 115, 88–103. [Google Scholar] [CrossRef]
- Mohamed, M.G.; Kuo, S.W. Functional Silica and Carbon Nanocomposites Based on Polybenzoxazines. Macromol. Chem. Phys. 2019, 220, 1800306. [Google Scholar] [CrossRef]
- Asim, M.; Saba, N.; Jawaid, M.; Nasir, M.; Pervaiz, M.; Alothman, O.Y. A Review on Phenolic Resin and its Composites. Curr. Anal. Chem. 2018, 14, 185–197. [Google Scholar] [CrossRef]
- Rishwana, S.S.; Mahendran, A.; Vijayakumar, C.T. Studies on structurally different benzoxazines: Curing characteristics and thermal degradation aspects. High Perform. Polym. 2015, 27, 802–812. [Google Scholar] [CrossRef]
- Durukan, C.; Kiskan, B.; Yagci, Y. One-Pot Synthesis of Amide-Functional Main-Chain Polybenzoxazine Precursors. Polymers 2019, 11, 679. [Google Scholar] [CrossRef]
- Xu, M.; Jia, K.; Liu, X. Polybenzoxazines Derived from Nitrile- and Phthalonitrile-Functional Benzoxazines and Copolymers from Benzoxazine/Phthalonitrile Resin Mixtures. Adv. Emerg. Polybenzoxazine Sci. Technol. 2017, 343–356. [Google Scholar] [CrossRef]
- Xu, M.; Jia, K.; Liu, X. Self-cured phthalonitrile resin via multistage polymerization mediated by allyl and benzoxazine functional groups. High Perform. Polym. 2016, 28, 1161–1171. [Google Scholar] [CrossRef]
- Wang, X.; Zong, L.; Han, J.; Wang, J.; Liu, C.; Jian, X. Toughening and reinforcing of benzoxazine resins using a new hyperbranched polyether epoxy as a non-phase-separation modifier. Polymer 2017, 121, 217–227. [Google Scholar] [CrossRef]
- Dayo, A.Q.; Wang, A.-R.; Derradji, M.; Kiran, S.; Zegaoui, A.; Wang, J.; Liu, W.-B. Copolymerization of mono and difunctional benzoxazine monomers with bio-based phthalonitrile monomer: Curing behaviour, thermal, and mechanical properties. React. Funct. Polym. 2018, 131, 156–163. [Google Scholar] [CrossRef]
- Zhao, P.; Liang, X.; Chen, J.; Ran, Q.; Gu, Y. Poly(ether imide)-modified benzoxazine blends: Influences of phase separation and hydrogen bonding interactions on the curing reaction. J. Appl. Polym. Sci. 2013, 128, 2865–2874. [Google Scholar] [CrossRef]
- Xia, Y.; Lin, Y.; Ran, Q.; Zhu, R.; Gu, Y. Modification of benzoxazine with aryl-ether-ether-ketone diphenol: Preparation and characterization. Rsc Adv. 2017, 7, 1617–1625. [Google Scholar] [CrossRef]
- Ren, D.; Chen, L.; Yuan, Y.; Li, K.; Xu, M.; Liu, X. Designing and preparation of fiber-reinforced composites with enhanced interface adhesion. Polymers 2018, 10, 1128. [Google Scholar] [CrossRef]
- Zhao, Y.; Xu, Y.; Xu, Q.; Fu, F.; Zhang, Y.; Endo, T.; Liu, X. Significant Improvement on Polybenzoxazine Toughness Achieved by Amine/Benzoxazine Copolymerization-Induced Phase Separation. Macromol. Chem. Phys. 2018, 219, 1700517. [Google Scholar] [CrossRef]
- Chen, C.-H.; Lin, C.-H.; Hon, J.-M.; Wang, M.-W.; Juang, T.-Y. First halogen and phosphorus-free, flame-retardant benzoxazine thermosets derived from main-chain type bishydroxydeoxybenzoin-based benzoxazine polymers. Polymer 2018, 154, 35–41. [Google Scholar] [CrossRef]
- Pattharasiriwong, P.; Jubsilp, C.; Mora, P.; Rimdusit, S. Dielectric and thermal behaviors of fluorine-containing dianhydride-modified polybenzoxazine: A molecular design flexibility. J. Appl. Polym. Sci. 2017, 134, 45204. [Google Scholar] [CrossRef]
- Kobzar, Y.L.; Tkachenko, I.M.; Bliznyuk, V.N.; Lobko, E.V.; Shekera, O.V.; Shevchenko, V.V. Synthesis and characterization of fluorinated isomeric polybenzoxazines from core-fluorinated diamine-based benzoxazines. Polymer 2018, 145, 62–69. [Google Scholar] [CrossRef]
- Kobzar, Y.L.; Tkachenko, I.M.; Lobko, E.V.; Shekera, O.V.; Syrovets, A.P.; Sheychenko, V.V. Low dielectric material from novel core-fluorinated polybenzoxazine. Mendeleev Commun. 2017, 27, 41–43. [Google Scholar] [CrossRef]
- Li, X.; Liu, T.; Jiao, Y.; Dong, J.; Gan, F.; Zhao, X.; Zhang, Q. Novel high-performance poly(benzoxazole-co-imide) resins with low dielectric constants and superior thermal stabilities derived from thermal rearrangement of ortho-hydroxy polyimide oligomers. Chem. Eng. J. 2019, 359, 641–651. [Google Scholar] [CrossRef]
- Sun, H.; Lv, Y.; Zhang, C.; Zuo, X.; Li, M.; Yue, X.; Jiang, Z. Materials with low dielectric constant and loss and good thermal properties prepared by introducing perfluorononenyl pendant groups onto poly(ether ether ketone). RSC Adv. 2018, 8, 7753–7760. [Google Scholar] [CrossRef]
- Wei, R.; Tu, L.; You, Y.; Zhan, C.; Wang, Y.; Liu, X. Fabrication of crosslinked single-component polyarylene ether nitrile composite with enhanced dielectric properties. Polymer 2019, 161, 162–169. [Google Scholar] [CrossRef]
- Du, R.; Li, W.; Liu, X. Synthesis and thermal properties of bisphthalonitriles containing aromatic ether nitrile linkages. Polym. Degrad. Stabil. 2009, 94, 2178–2183. [Google Scholar] [CrossRef]
- Tang, H.; Yang, J.; Zhong, J.; Zhao, R.; Liu, X. Synthesis and dielectric properties of polyarylene ether nitriles with high thermal stability and high mechanical strength. Mater. Lett. 2011, 65, 2758–2761. [Google Scholar] [CrossRef]
- Xu, M.; Yang, X.; Zhao, R.; Liu, X. Copolymerizing behavior and processability of benzoxazine/epoxy systems and their applications for glass fiber composite laminates. J. Appl. Polym. Sci. 2013, 128, 1176–1184. [Google Scholar] [CrossRef]
- Xu, M.Z.; Jia, K.; Liu, X.B. Effect of bisphenol-A on the structures and properties of phthalonitrile-based resin containing benzoxazine. Express Polym. Lett. 2015, 9, 567–581. [Google Scholar] [CrossRef]
- Guo, H.; Chen, Z.; Zhang, J.; Yang, X.; Zhao, R.; Liu, X. Self-promoted curing phthalonitrile with high glass transition temperature for advanced composites. J. Polym. Res. 2012, 19, 9918. [Google Scholar] [CrossRef]
- Xu, Y.; Ran, Q.; Li, C.; Zhu, R.; Gu, Y. Study on the catalytic prepolymerization of an acetylene-functional benzoxazine and the thermal degradation of its cured product. Rsc Adv. 2015, 5, 82429–82437. [Google Scholar] [CrossRef]
- Xu, M.; Luo, Y.; Lei, Y.; Liu, X. Phthalonitrile-based resin for advanced composite materials: Curing behavior studies. Polym. Test. 2016, 55, 38–43. [Google Scholar] [CrossRef]
- Zhang, W.; Gao, X.; Yu, L.; Ren, Y.; Xu, H.; Liu, B.; Wang, Y.; Fang, X.; Xu, Y.; Ding, T. Silane-functional benzoxazine: Synthesis, polymerization kinetics and thermal stability. Polym. Int. 2017, 66, 908–915. [Google Scholar] [CrossRef]
- Xu, M.; Ren, D.; Chen, L.; Li, K.; Liu, X. Understanding of the polymerization mechanism of the phthalonitrile-based resins containing benzoxazine and their thermal stability. Polymer 2018, 143, 28–39. [Google Scholar] [CrossRef]
- Lei, Y.; Xu, M.; Jiang, M.; Huang, Y.; Liu, X. Curing behaviors of cyanate ester/epoxy copolymers and their dielectric properties. High Perform. Polym. 2017, 29, 1175–1184. [Google Scholar] [CrossRef]
- Xu, M.; Liu, M.; Dong, S.; Liu, X. Design of low temperature self-cured phthalonitrile-based polymers for advanced glass fiber composite laminates. J. Mater. Sci. 2013, 48, 8108–8116. [Google Scholar] [CrossRef]
- Ren, D.; Lei, Y.; Pan, H.; Yan, L.; Xu, M.; Liu, X. Design of the phthalonitrile-based composite laminates by improving the interfacial compatibility and their enhanced properties. J. Appl. Polym. Sci. 2018, 135, 45881. [Google Scholar] [CrossRef]
- Xu, M.; Hu, J.; Zou, X.; Liu, M.; Dong, S.; Zou, Y.; Liu, X. Mechanical and thermal enhancements of benzoxazine-based GF composite laminated by in situ reaction with carboxyl functionalized CNTs. J. Appl. Polym. Sci. 2013, 129, 2629–2637. [Google Scholar] [CrossRef]
- Kim, H.D.; Ishida, H. A study on hydrogen-bonded network structure of polybenzoxazines. J. Phys. Chem. A 2002, 106, 3271–3280. [Google Scholar] [CrossRef]
- Zhang, S.; Yang, P.; Bai, Y.; Zhou, T.; Zhu, R.; Gu, Y. Polybenzoxazines: Thermal Responsiveness of Hydrogen Bonds and Application as Latent Curing Agents for Thermosetting Resins. ACS Omega 2017, 2, 1529–1534. [Google Scholar] [CrossRef]
- Liu, J.; Lu, X.; Xin, Z.; Zhou, C.-l. Surface properties and hydrogen bonds of mono-functional polybenzoxazines with different N-substituents. Chin. J. Polym. Sci. 2016, 34, 919–932. [Google Scholar] [CrossRef]
- Goto, M.; Miyagi, Y.; Minami, M.; Sanda, F. Synthesis and crosslinking reaction of polyacetylenes substituted with benzoxazine rings: Thermally highly stable benzoxazine resins. J. Polym. Sci. Part A-Polym. Chem. 2018, 56, 1884–1893. [Google Scholar] [CrossRef]
- Zeng, K.; Huang, J.; Ren, J.; Ran, Q. Curing Reaction of Benzoxazine Under High Pressure and the Effect on Thermal Resistance of Polybenzoxazine. Macromol. Chem. Phys. 2019, 220, 1800340. [Google Scholar] [CrossRef]
- Khan, M.M.; Halder, K.; Shishatskiy, S.; Filiz, V. Synthesis and Crosslinking of Polyether-Based Main Chain Benzoxazine Polymers and Their Gas Separation Performance. Polymers 2018, 10, 1800340. [Google Scholar]
- Xu, M.; Lei, Y.; Ren, D.; Chen, L.; Li, K.; Liu, X. Thermal stability of allyl-functional phthalonitriles-containing benzoxazine/bismaleimide copolymers and their improved mechanical properties. Polymers 2018, 10, 596. [Google Scholar] [CrossRef] [PubMed]
- Gao, X.; Sun, X.; Xu, L.; Zhang, H.; Liu, G. Synthesis and electrochemical properties of benzoxazine-based heteroatom-doped carbon materials. J. Mater. Res. 2019, 34, 1219–1228. [Google Scholar] [CrossRef]
- Khoury, J.; Selezneva, I.; Pestov, S.; Tarassov, V.; Ermakov, A.; Mikheev, A.; Lazov, M.; Kirkpatrick, S.R.; Shashkov, D.; Smolkov, A. Surface bioactivation of PEEK by neutral atom beam technology. Bioact. Mater. 2019, 4, 132–141. [Google Scholar] [CrossRef]
- Chua, J.; Tu, Q. A Molecular Dynamics Study of Crosslinked Phthalonitrile Polymers: The Effect of Crosslink Density on Thermomechanical and Dielectric Properties. Polymers 2018, 10, 64. [Google Scholar] [CrossRef]

















| Sample | T/°C | T/K | 1/T | 1/T × 1000 | Tgel/s | lgTgel |
|---|---|---|---|---|---|---|
| 1 | 150 | 423 | 0.002364 | 2.364066 | 1602 | 3.204663 |
| 2 | 160 | 433 | 0.002309 | 2.309469 | 1001 | 3.000434 |
| 3 | 170 | 443 | 0.002257 | 2.257336 | 619 | 2.791691 |
| 4 | 180 | 453 | 0.002208 | 2.207506 | 308 | 2.488551 |
| 5 | 190 | 463 | 0.002160 | 2.159827 | 169 | 2.227887 |
| 6 | 200 | 473 | 0.002114 | 2.114165 | 83 | 1.919078 |
| Sample | Td5%(°C) | Td10%(°C) | Char Yield (%) |
|---|---|---|---|
| 200 °C-4 h | 346.62 | 399.68 | 57.63 |
| 220 °C-2 h | 363.96 | 405.42 | 61.01 |
| 240 °C-2 h | 390.33 | 427.45 | 60.35 |
| 260 °C-2 h | 396.39 | 429.89 | 62.49 |
| 280 °C-2 h | 407.45 | 449.80 | 63.57 |
| Sample | A | K | Ta (°C) | IPDT (°C) |
|---|---|---|---|---|
| 160 °C-2h | 0.878171 | 3.617279 | 524.2125 | 1765.3587 |
| 180 °C-2 h | 0.897651 | 3.447845 | 534.7318 | 1721.2800 |
| 200 °C-4 h | 0.907719 | 3.577650 | 540.1685 | 1803.6515 |
| 220 °C-2 h | 0.927938 | 4.222930 | 551.0865 | 2166.0530 |
| 240 °C-2 h | 0.930787 | 3.939219 | 552.6251 | 2029.9504 |
| 260 °C-2 h | 0.930760 | 4.100989 | 552.6103 | 2111.1993 |
| 280 °C-2 h | 0.938981 | 4.247229 | 557.0496 | 2203.5560 |
| Sample | Liquid Medium | Surface Tension of Liquid Phase Media [(mN/m)] | Contact Angle (°) | Calculation Method | Solid Surface Energy [(J/m2)] |
|---|---|---|---|---|---|
| 240 °C | water | 72.800003 | 76.9 ± 0.8 | Fowkes method | 0.02738 |
| 260 °C | water | 72.800003 | 81.7 ± 0.3 | Fowkes method | 0.02383 |
| 280 °C | water | 72.800003 | 87.4 ± 2.3 | Fowkes method | 0.01989 |
| 240 °C | water | 72.800003 | 76.9 ± 0.8 | ZHU method | 0.05906 |
| 260 °C | water | 72.800003 | 81.7 ± 0.3 | ZHU method | 0.05646 |
| 280 °C | water | 72.800003 | 87.4 ± 2.3 | ZHU method | 0.05310 |
© 2019 by the authors. Licensee MDPI, Basel, Switzerland. This article is an open access article distributed under the terms and conditions of the Creative Commons Attribution (CC BY) license (http://creativecommons.org/licenses/by/4.0/).
Share and Cite
Chen, S.; Ren, D.; Li, B.; Li, K.; Chen, L.; Xu, M.; Liu, X. Benzoxazine Containing Fluorinated Aromatic Ether Nitrile Linkage: Preparation, Curing Kinetics and Dielectric Properties. Polymers 2019, 11, 1036. https://doi.org/10.3390/polym11061036
Chen S, Ren D, Li B, Li K, Chen L, Xu M, Liu X. Benzoxazine Containing Fluorinated Aromatic Ether Nitrile Linkage: Preparation, Curing Kinetics and Dielectric Properties. Polymers. 2019; 11(6):1036. https://doi.org/10.3390/polym11061036
Chicago/Turabian StyleChen, Sijing, Dengxun Ren, Bo Li, Kui Li, Lin Chen, Mingzhen Xu, and Xiaobo Liu. 2019. "Benzoxazine Containing Fluorinated Aromatic Ether Nitrile Linkage: Preparation, Curing Kinetics and Dielectric Properties" Polymers 11, no. 6: 1036. https://doi.org/10.3390/polym11061036
APA StyleChen, S., Ren, D., Li, B., Li, K., Chen, L., Xu, M., & Liu, X. (2019). Benzoxazine Containing Fluorinated Aromatic Ether Nitrile Linkage: Preparation, Curing Kinetics and Dielectric Properties. Polymers, 11(6), 1036. https://doi.org/10.3390/polym11061036
