Study of the Effects of the Structure of Phthalazinone’s Side-Group on the Properties of the Poly(phthalazinone ether ketone)s Resins
Abstract
1. Introduction
2. Materials and Methods
2.1. Materials
2.2. Characterization
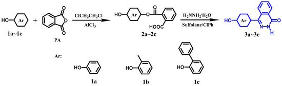
2.3. Synthesis of Monomers
2.4. Synthesis of Polymers PPEKs (PPEK, PPEK-M, and PPEK-Ph)
3. Results
3.1. Polymer Synthesis
3.2. Structural Characterization
3.3. Thermal Properties
3.4. Dynamic Mechanical Properties
3.5. Rheological Properties
3.6. Tensile Properties
4. Conclusions
Supplementary Materials
Author Contributions
Funding
Acknowledgments
Conflicts of Interest
References
- Zhang, S.; Zhang, B.; Zhao, G.; Jian, X. Anion exchange membranes from brominated poly (aryl ether ketone) containing 3,5-dimethyl phthalazinone moieties for vanadium redox flow batteries. J. Mater. Chem. A 2014, 2, 3083–3091. [Google Scholar] [CrossRef]
- Zhang, S.; Yin, C.; Xing, D.; Yang, D.; Jian, X. Preparation of chloromethylated/quaternized poly(phthalazinone ether ketone) anion exchange membrane materials for vanadium redox flow battery applications. J. Membr. Sci. 2010, 363, 243–249. [Google Scholar] [CrossRef]
- Zhang, S.; Jian, X.; Dai, Y. Preparation of sulfonated poly(phthalazinone ether sulfone ketone) composite nanofiltration membrane. J. Membr. Sci. 2005, 246, 121–126. [Google Scholar] [CrossRef]
- Pan, H.; Zhu, X.; Chen, J.; Jian, X. Synthesis of fluoro-containing sulfonated poly(phthalazinone ether ketone ketone)s and their properties as PEM in PEMFC and DMFC. J. Membr. Sci. 2009, 326, 453–459. [Google Scholar] [CrossRef]
- Song, Y.; Wang, J.; Li, G.; Sun, Q.; Jian, X.; Teng, J.; Zhang, H. Synthesis, characterization and optical properties of cross-linkable poly(phthalazinone ether ketone sulfone). Polymer 2008, 49, 724–731. [Google Scholar] [CrossRef]
- Wang, J.; Wang, M.; Liu, C.; Zhou, H.; Jian, X. Synthesis of poly(arylene ether nitrile ketone)s bearing phthalazinone moiety and their properties. Polym. Bull. 2013, 70, 1467–1481. [Google Scholar] [CrossRef]
- Liao, G.; Jian, X.; Guo, X. Study on Rheological Behavior of PPEKK/PPS Blends. China Plast. 2001, 15, 18–21. [Google Scholar]
- Zhang, J.; Liu, Y.; Peng, J.; Jian, X. Rheological Behavior of PPESK/PPS Blendings. China Plast. 1998, 12, 55–58. [Google Scholar]
- Sun, Q.M.; Wang, J.Y.; He, L.S.; Song, Y.; Jian, X.G. Synthesis and properties of organic soluble semicrystalline poly(aryl ether ketone)s copolymers containing phthalazinone moieties. J. Appl. Polym. Sci. 2007, 104, 1744–1753. [Google Scholar] [CrossRef]
- Bao, F.; Liu, C.; Song, Y.Y.; Wu, Z.Q.; Wang, J.Y.; Jian, X.G. Synthesis of Phthalazinone-containing Poly(aryl-ether-ketone) Block Copolymers with Good Solubility and High Thermal Stability. Acta Polym. Sin. 2018, 6, 692–699. [Google Scholar] [CrossRef]
- Zong, L.; Liu, C.; Liu, R.; Wang, J.; Jian, X. Soluble and thermally stable copoly(phenyl-s-triazine)s containing both diphenylfluorene and phthalazinone units in the backbone. Polym. Bull. 2014, 71, 2641–2660. [Google Scholar] [CrossRef]
- Bao, F.; Zong, L.; Li, N.; Song, Y.; Pan, Y.; Wang, J.; Jian, X. Synthesis of novel poly(phthalazinone fluorenyl ether ketone ketone)s with improved thermal stability and processability. Thermochim. Acta. 2018. Available online: https://www.sciencedirect.com/science/article/abs/pii/S0040603118307330 (accessed on 31 December 2018).
- Bao, F.; Song, Y.; Liu, Q.; Song, C.; Liu, C.; Wang, J.; Jian, X.; Xiao, J. Partial bio-based poly (aryl ether ketone) derived from 2,5-furandicarboxylic acid with enhanced processability. Polym. Degrad. Stabil. 2019, 161, 309–318. [Google Scholar] [CrossRef]
- Lu, Z.; Cheng, L.; Li, J.; Zhang, K.; Yi, S.; Qin, J. Synthesis and Structural Characterization of Novel, Fluorinated Poly(phthalazinone ether)s Containing Perfluorophenylene Moieties. J. Polym. Sci. Part A Polym. Chem. 2004, 42, 925–932. [Google Scholar] [CrossRef]
- Berard, N.; Paventi, M.; Chan, K.P.; Hay, A.S. Polymers from 4-(4-hydroxyphenyl)phthalazin-1-one. Macromol. Symp. 1994, 77, 379–388. [Google Scholar] [CrossRef]
- Xiao, S.; Wang, J.Y.; Jin, K.; Jian, X.; Peng, Q.J. Synthesis and characterization of a fluorinated phthalazinone monomer 4-(2-fluoro-4-hydroxyphenyl)-phthalazin-1(2H)-one and its polymers from polycondensation reactions. Polymer 2003, 44, 7369–7376. [Google Scholar] [CrossRef]
- Ežerskis, Z.; Jusys, Z. Electropolymerization of chlorinated phenols on a Pt electrode in alkaline solution Part III: A Fourier transformed infrared spectroscopy study. J. Appl. Electrochem. 2002, 32, 755–762. [Google Scholar] [CrossRef]
- He, Q.; Wang, J.; Zong, L.; Liu, R.; Jian, X. Soluble and crosslinkable poly(phthalazinone ether ketone)s with pendent terminal ethynyl groups: Synthesis, characterization and click modification. Polym. Int. 2015, 64, 875–883. [Google Scholar] [CrossRef]
- Liu, C.; Wang, J.; Lin, E.; Zong, L.; Jian, X. Synthesis and properties of phthalonitrile-terminated oligomeric poly(ether imide)s containing phthalazinone moiety. Polym. Degrad. Stabil. 2012, 97, 460–468. [Google Scholar] [CrossRef]
- Soldera, A.; Grohens, Y. Local dynamics of stereoregular PMMAs using molecular simulation. Macromolecules 2002, 35, 722–726. [Google Scholar] [CrossRef]
- Özal, T.A.; Peter, C.; Hess, B.; Van Der Vegt, N.F.A. Modeling solubilities of additives in polymer microstructures: Single-step perturbation method based on a soft-cavity reference state. Macromolecules 2008, 41, 5055–5061. [Google Scholar] [CrossRef]
- Sacristan, J.; Mijangos, C. Free volume analysis and transport mechanisms of PVC modified with fluorothiophenol compounds. A molecular simulation study. Macromolecules 2010, 43, 7357–7367. [Google Scholar] [CrossRef]
- Wang, X.Y.; Willmore, F.T.; Raharjo, R.D.; Wang, X.; Freeman, B.D.; Hill, A.J.; Sanchez, I.C. Molecular simulations of physical aging in polymer membrane materials. J. Phys. Chem. B 2006, 110, 16685–16693. [Google Scholar] [CrossRef]
- Chang, K.S.; Huang, Y.H.; Lee, K.R.; Tung, K.L. Free volume and polymeric structure analyses of aromatic polyamide membranes: A molecular simulation and experimental study. J. Membr. Sci. 2010, 354, 93–100. [Google Scholar] [CrossRef]
- Wang, X.Y.; Raharjo, R.D.; Lee, H.J.; Lu, Y.; Freeman, B.D.; Sanchez, I.C. Molecular simulation and experimental study of substituted polyacetylenes: Fractional free volume, cavity size distributions and diffusion coefficients. J. Phys. Chem. B 2006, 110, 12666–12672. [Google Scholar] [CrossRef] [PubMed]
- Burgess, S.K.; Leisen, J.E.; Kraftschik, B.E.; Mubarak, C.R.; Kriegel, R.M.; Koros, W.J. Chain Mobility, Thermal, and Mechanical Properties of Poly(ethylene furanoate) Compared to Poly(ethylene terephthalate). Macromolecules 2014, 47, 1383–1391. [Google Scholar] [CrossRef]
- Yu, G.; Liu, C.; Wang, J.; Gu, T.; Jian, X. Synthesis, characterization and properties of heat-resistant and soluble poly(aryl ether)s containing s-triazine units in the main chain. Polym. Degrad. Stabil. 2009, 94, 1053–1060. [Google Scholar] [CrossRef]
- Meng, Y.; Jian, X.; Xu, Y.; Qu, M. Study on the thermooxidizing stability of Poly(aryl ether)keton containg phthalazone moiety. Polym. Mater. Sci. Eng. 1994, 18, 85–88. [Google Scholar]
- Yu, G.; Liu, C.; Li, G.; Wang, J.; Jian, X. Thermal degradation kinetics of poly(aryl ether sulfone 1,3,5-triazine)s containing phthalazinone moieties. Thermochim. Acta 2011, 514, 51–57. [Google Scholar] [CrossRef]
- Patel, P.; Hull, T.R.; McCabe, R.W.; Flath, D.; Grasmeder, J.; Percy, M. Mechanism of thermal decomposition of poly(ether ether ketone) (PEEK) from a review of decomposition studies. Polym. Degrad. Stabil. 2010, 95, 709–718. [Google Scholar] [CrossRef]
- Kissinger, H.E. Reaction kinetics in differential thermal analysis. Anal. Chem. 1957, 29, 1702–1706. [Google Scholar] [CrossRef]
Polymers Name | Mn (g·mol−1) | Mw (g·mol−1) | PDI |
---|---|---|---|
PPEK | 21559 | 52845 | 2.4 |
PPEK-M | 19815 | 43197 | 2.2 |
PPEK-Ph | 21544 | 51860 | 2.7 |
Polymer | NO. of Repeats | Density (g·cm-3) | Occupied Volume (Å3) | Free Volume (Å3) | FFV |
---|---|---|---|---|---|
PPEK | 50 | 1.210 | 22832.85 | 5737.64 | 0.201 |
PPEK-M | 50 | 1.197 | 23935.66 | 5915.62 | 0.198 |
PPEK-Ph | 50 | 1.198 | 27461.83 | 6681.68 | 0.195 |
Samples | N2 Atmosphere | Air Atmosphere | ||||||
---|---|---|---|---|---|---|---|---|
Td5% a/°C | Td10% a/°C | Tmax b /°C | Cy800 c/% | Td5% a/°C | Td10% a/°C | Tmax b /°C | Cy800 c/% | |
PPEK | 516 | 530 | 524, 591 | 64.5 | 518 | 535 | 522, 671 | 2.2 |
PPEK-M | 454 | 504 | 450, 588 | 65.5 | 485 | 520 | 458, 583 | 2.7 |
PPEK-Ph | 515 | 528 | 523, 590 | 64.4 | 523 | 546 | 523, 626 | 2.4 |
Polymer | 1st Degradation Mechanism | 2nd Decomposition Mechanism | ||||
---|---|---|---|---|---|---|
Fitting Formula | R2 | Ea1(kJ/mol) | Fitting Formula | R2 | Ea2(kJ/mol) | |
PPEK | y = -29.313x + 26.539 | 0.9987 | 243 | y = -43.430x + 40.571 | 0.9801 | 361 |
PPEK-M | y = -21.417x + 19.496 | 0.9882 | 178 | y = -31.949x + 27.466 | 0.9764 | 265 |
PPEK-Ph | y = -27.711x + 24.539 | 0.9903 | 230 | y = -30.735x + 25.151 | 0.9848 | 255 |
Polymer | Storage Modulus (E′)/MPa | Tg/oC | |
---|---|---|---|
30 oC a | DSC b | tan δ c | |
PPEK | 3668 | 265 | 269 |
PPEK-M | 3461 | 269 | 262 |
PPEK-Ph | 3436 | 255 | 261 |
Sample | Modulus (MPa) | Strength (MPa) | Elongation at Break (%) |
---|---|---|---|
PPEK | 1099 ± 20 | 92 ± 2.1 | 9.7 ± 2.0 |
PPEK-M | 1246 ± 30 | 103 ± 2.5 | 11.9 ± 2.8 |
PPFEKK1000 | 1262 ± 28 | 110 ± 3.8 | 11.5 ± 2.0 |
© 2019 by the authors. Licensee MDPI, Basel, Switzerland. This article is an open access article distributed under the terms and conditions of the Creative Commons Attribution (CC BY) license (http://creativecommons.org/licenses/by/4.0/).
Share and Cite
Bao, F.; Zhang, F.; Wang, C.; Song, Y.; Li, N.; Wang, J.; Jian, X. Study of the Effects of the Structure of Phthalazinone’s Side-Group on the Properties of the Poly(phthalazinone ether ketone)s Resins. Polymers 2019, 11, 803. https://doi.org/10.3390/polym11050803
Bao F, Zhang F, Wang C, Song Y, Li N, Wang J, Jian X. Study of the Effects of the Structure of Phthalazinone’s Side-Group on the Properties of the Poly(phthalazinone ether ketone)s Resins. Polymers. 2019; 11(5):803. https://doi.org/10.3390/polym11050803
Chicago/Turabian StyleBao, Feng, Fengfeng Zhang, Chenghao Wang, Yuanyuan Song, Nan Li, Jinyan Wang, and Xigao Jian. 2019. "Study of the Effects of the Structure of Phthalazinone’s Side-Group on the Properties of the Poly(phthalazinone ether ketone)s Resins" Polymers 11, no. 5: 803. https://doi.org/10.3390/polym11050803
APA StyleBao, F., Zhang, F., Wang, C., Song, Y., Li, N., Wang, J., & Jian, X. (2019). Study of the Effects of the Structure of Phthalazinone’s Side-Group on the Properties of the Poly(phthalazinone ether ketone)s Resins. Polymers, 11(5), 803. https://doi.org/10.3390/polym11050803