Achieving Ultrahigh Cycling Stability and Extended Potential Window for Supercapacitors through Asymmetric Combination of Conductive Polymer Nanocomposite and Activated Carbon
Abstract
1. Introduction
2. Experimental
2.1. Materials
2.2. Synthesis of GO@PANI Nanocomposite
2.3. Characterization
2.3.1. Electrochemical Characterization
2.3.2. Three Electrode Assembly
2.3.3. Asymmetric Device
3. Results and Discussion
3.1. Fourier Transform Infrared Spectroscopy
3.2. UV−Visible Spectroscopic Analysis
3.3. Scanning Electron Microscopy (SEM) and Energy Dispersive X-ray (EDX) Analysis
3.4. Electrochemical Study
Electrochemical Properties of Asymmetric Supercapacitor
Cyclic Voltammetry of Asymmetric Supercapacitor Device
Galvanostatic Charge Discharge (GCD) Analysis of Asymmetric Device
Electrochemical Impedance Spectroscopic (EIS) Analysis
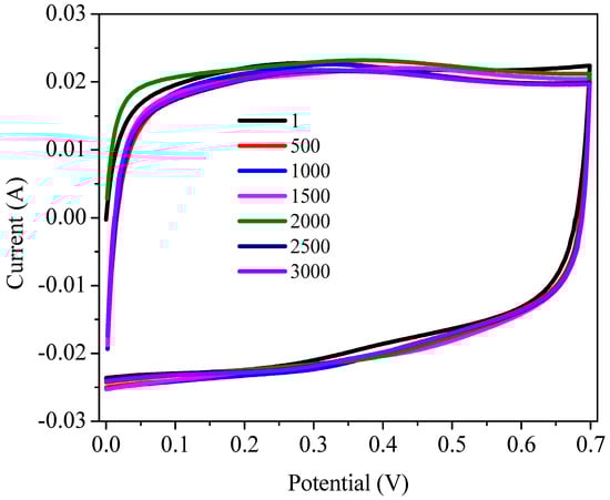
Cycling Stability
4. Conclusions
Supplementary Materials
Author Contributions
Funding
Acknowledgments
Conflicts of Interest
References
- Navarro-Suárez, A.M.; Van Aken, K.L.; Mathis, T.; Makaryan, T.; Yan, J.; Carretero-González, J.; Rojo, T.; Gogotsi, Y. Development of asymmetric supercapacitors with titanium carbide-reduced graphene oxide couples as electrodes. Electrochim. Acta 2018, 259, 752–761. [Google Scholar] [CrossRef]
- Van Hoa, N.; Quyen, T.T.H.; Van Hieu, N.; Ngoc, T.Q.; Thinh, P.V.; Dat, P.A.; Nguyen, H.T.T. Three-dimensional reduced graphene oxide-grafted polyaniline aerogel as an active material for high performance supercapacitors. Synth. Met. 2017, 223, 192–198. [Google Scholar] [CrossRef]
- Gul, H.; Gul, S.; Shah, A.U.H.A.; Bilal, S. Fabrication of Eco-Friendly Solid-State Symmetric Ultracapacitor Device Based on Co-Doped PANI/GO Composite. Polymers 2019, 11, 1315. [Google Scholar] [CrossRef] [PubMed]
- Gul, H.; Gul, S.; Shah, A.U.H.A.; Bilal, S. Poly (o-toluidine) salt as low cost electrode material for high performance electrochemical supercapacitor. Indian J. Chem. Sect. A 2017, 54, 493–500. [Google Scholar]
- Liu, K.K.; Jin, B.; Meng, L.Y. Glucose/Graphene-Based Aerogels for Gas Adsorption and Electric Double Layer Capacitors. Polymers 2019, 11, 40. [Google Scholar] [CrossRef]
- Xue, Q.; Zhang, Q. Agar Hydrogel Template Synthesis of Mn3O4 Nanoparticles through an Ion Diffusion Method Controlled by Ion Exchange Membrane and Electrochemical Performance. Nanomaterials 2019, 9, 503. [Google Scholar] [CrossRef]
- Yang, G.; Takei, T.; Yanagida, S.; Kumada, N. Enhanced Supercapacitor Performance Based on CoAl Layered Double Hydroxide-Polyaniline Hybrid Electrodes Manufactured Using Hydrothermal-Electrodeposition Technology. Molecules 2019, 24, 976. [Google Scholar] [CrossRef]
- Subramani, K.; Sudhan, N.; Divya, R.; Sathish, M. All-solid-state asymmetric supercapacitors based on cobalt hexacyanoferrate-derived CoS and activated carbon. RSC Adv. 2017, 7, 6648–6659. [Google Scholar] [CrossRef]
- Wang, X.; Wu, D.; Song, X.; Du, W.; Zhao, X.; Zhang, D. Review on Carbon/Polyaniline Hybrids: Design and Synthesis for Supercapacitor. Molecules 2019, 24, 2263. [Google Scholar] [CrossRef]
- Yu, Z.; Tetard, L.; Zhai, L.; Thomas, J. Supercapacitor electrode materials: Nanostructures from 0 to 3 dimensions. Energy Environ. Sci. 2015, 8, 702–730. [Google Scholar] [CrossRef]
- Geng, L.; Yan, F.; Dong, C.; An, C. Design and Regulation of Novel MnFe2O4@ C Nanowires as High Performance Electrode for Supercapacitor. Nanomaterials 2019, 9, 777. [Google Scholar] [CrossRef] [PubMed]
- Simotwo, S.K.; Kalra, V. Polyaniline-carbon based binder-free asymmetric supercapacitor in neutral aqueous electrolyte. Electrochim. Acta 2018, 268, 131–138. [Google Scholar] [CrossRef]
- Guan, X.; Kong, D.; Huang, Q.; Cao, L.; Zhang, P.; Lin, H.; Lin, Z.; Yuan, H. In Situ Growth of a High-Performance All-Solid-State Electrode for Flexible Supercapacitors Based on a PANI/CNT/EVA Composite. Polymers 2019, 11, 178. [Google Scholar] [CrossRef] [PubMed]
- Gul, H.; Shah, A.U.H.A.; Bilal, S. Electrochemical behavior of POT in different Electrolytes. J. Sci. Innov. Res. 2016, 5, 187–192. [Google Scholar]
- Hummers, W.S., Jr.; Offeman, R.E. Preparation of graphitic oxide. J. Am. Chem. Soc. 1958, 80, 1339. [Google Scholar] [CrossRef]
- Demarconnay, L.; Raymundo-Piñero, E.; Béguin, F. A symmetric carbon/carbon supercapacitor operating at 1.6 V by using a neutral aqueous solution. Electrochem. Commun. 2010, 12, 1275–1278. [Google Scholar] [CrossRef]
- Wan, L.; Wang, B.; Wang, S.; Wang, X.; Guo, Z.; Xiong, H.; Dong, B.; Zhao, L.; Lu, H.; Xu, Z.; et al. Water-soluble polyaniline/graphene prepared by in situ polymerization in graphene dispersions and use as counter-electrode materials for dye-sensitized solar cells. React. Funct. Polym. 2014, 79, 47–53. [Google Scholar] [CrossRef]
- Mousavi, M.F.; Hashemi, M.; Rahmanifar, M.S.; Noori, A. Synergistic effect between redox additive electrolyte and PANI-rGO nanocomposite electrode for high energy and high power supercapacitor. Electrochim. Acta 2017, 228, 290–298. [Google Scholar] [CrossRef]
- Tabrizi, A.G.; Arsalani, N.; Namazi, H.; Ahadzadeh, I. Vanadium oxide assisted synthesis of polyaniline nanoarrays on graphene oxide sheets and its application in supercapacitors. J. Electroanal. Chem. 2017, 798, 34–41. [Google Scholar] [CrossRef]
- Zhang, Q.; Li, Y.; Feng, Y.; Feng, W. Electropolymerization of graphene oxide/polyaniline composite for high-performance supercapacitor. Electrochim. Acta 2013, 90, 95–100. [Google Scholar] [CrossRef]
- Sengottaiyan, C.; Kalam, N.A.; Jayavel, R.; Shrestha, R.G.; Subramani, T.; Sankar, S.; Hill, J.P.; Shrestha, L.K.; Ariga, K. BiVO4/RGO hybrid nanostructure for high performance electrochemical supercapacitor. J. Solid State Chem. 2019, 269, 409–418. [Google Scholar] [CrossRef]
- Afzali, M.; Mostafavi, A.; Shamspur, T. Square wave voltammetric determination of anticancer drug flutamide using carbon paste electrode modified by CuO/GO/PANI nanocomposite. Arab. J. Chem. 2018, in press. [Google Scholar] [CrossRef]
- Fan, X.; Phebus, B.D.; Li, L.; Chen, S. Graphene-based composites for supercapacitor electrodes. Sci. Adv. Mater. 2015, 7, 1916–1944. [Google Scholar] [CrossRef]
- Wang, Y.; Su, S.; Cai, L.; Qiu, B.; Wang, N.; Xiong, J.; Yang, C.; Tao, X.; Chai, Y. Monolithic Integration of All-in-One Supercapacitor for 3D Electronics. Adv. Energy Mater. 2019, 9, 1900037. [Google Scholar] [CrossRef]
- Snook, G.A.; Wilson, G.J.; Pandolfo, A.G. Mathematical functions for optimisation of conducting polymer/activated carbon asymmetric supercapacitors. J. Power Sources 2009, 186, 216–223. [Google Scholar] [CrossRef]
- Shen, J.; Yang, C.; Li, X.; Wang, G. High-performance asymmetric supercapacitor based on nanoarchitectured polyaniline/graphene/carbon nanotube and activated graphene electrodes. ACS Appl. Mater. Interfaces 2013, 5, 8467–8476. [Google Scholar] [CrossRef]
- Liu, W.; Li, X.; Zhu, M.; He, X. High-performance all-solid state asymmetric supercapacitor based on Co3O4 nanowires and carbon aerogel. J. Power Sources 2015, 282, 179–186. [Google Scholar] [CrossRef]
- Sekhar, S.C.; Nagaraju, G.; Yu, J.S. High-performance pouch-type hybrid supercapacitor based on hierarchical NiO-Co3O4-NiO composite nanoarchitectures as an advanced electrode material. Nano Energy 2018, 48, 81–92. [Google Scholar] [CrossRef]
- Javed, M.; Abbas, S.M.; Siddiq, M.; Han, D.; Niu, L. Mesoporous silica wrapped with graphene oxide-conducting PANI nanowires as a novel hybrid electrode for supercapacitor. J. Phys. Chem. Solids 2018, 113, 220–228. [Google Scholar] [CrossRef]
- Cong, H.P.; Ren, X.C.; Wang, P.; Yu, S.H. Flexible graphene–polyaniline composite paper for high-performance supercapacitor. Energy Environ. Sci. 2013, 6, 1185–1191. [Google Scholar] [CrossRef]
- Tabrizi, A.G.; Arsalani, N.; Mohammadi, A.; Ghadimi, L.S.; Ahadzadeh, I. High-performance asymmetric supercapacitor based on hierarchical nanocomposites of polyaniline nanoarrays on graphene oxide and its derived N-doped carbon nanoarrays grown on graphene sheets. J. Colloid Interface Sci. 2018, 531, 369–381. [Google Scholar] [CrossRef] [PubMed]
- Zhang, J.; Jiang, J.; Li, H.; Zhao, X.S. A high-performance asymmetric supercapacitor fabricated with graphene-based electrodes. Energy Environ. Sci. 2011, 4, 4009–4015. [Google Scholar] [CrossRef]
- Wang, L.; Ouyang, Y.; Jiao, X.; Xia, X.; Lei, W.; Hao, Q. Polyaniline-assisted growth of MnO2 ultrathin nanosheets on graphene and porous graphene for asymmetric supercapacitor with enhanced energy density. Chem. Eng. J. 2018, 334, 1–9. [Google Scholar] [CrossRef]
- Bao, C.; He, Q.; Han, J.; Cheng, J.; Zhang, R. Functionalized graphene–polyaniline nanocomposite as electrode material for asymmetric supercapacitors. J. Solid State Electrochem. 2018, 22, 2917–2928. [Google Scholar] [CrossRef]
- An, N.; An, Y.; Hu, Z.; Zhang, Y.; Yang, Y.; Lei, Z. Green and all-carbon asymmetric supercapacitor based on polyaniline nanotubes and anthraquinone functionalized porous nitrogen-doped carbon nanotubes with high energy storage performance. RSC Adv. 2015, 5, 63624–63633. [Google Scholar] [CrossRef]
- Ravi, B.; Rajender, B.; Palaniappan, S. Improving the electrochemical performance by sulfonation of polyaniline-graphene-silica composite for high performance supercapacitor. Int. J. Polym. Mater. Polym. Biomater. 2016, 65, 835–840. [Google Scholar] [CrossRef]
- Javed, M.S.; Dai, S.; Wang, M.; Guo, D.; Chen, L.; Wang, X.; Hu, C.; Xi, Y. High performance solid state flexible supercapacitor based on molybdenum sulfide hierarchical nanospheres. J. Power Sources 2015, 285, 63–69. [Google Scholar] [CrossRef]
- Bilal, S.; Fahim, M.; Firdous, I.; Shah, A.H.A. Insight into capacitive performance of polyaniline/graphene oxide composites with ecofriendly binder. Appl. Surf. Sci. 2018, 435, 91–101. [Google Scholar] [CrossRef]
- Xu, H.; Tang, J.; Chen, Y.; Liu, J.; Pu, J.; Li, Q. Zn2+-Doped Polyaniline/Graphene Oxide as Electrode Material for Electrochemical Supercapacitors. J. Electron. Mater. 2017, 46, 6150–6157. [Google Scholar] [CrossRef]
- Li, Z.F.; Zhang, H.; Liu, Q.; Liu, Y.; Stanciu, L.; Xie, J. Covalently-grafted polyaniline on graphene oxide sheets for high performance electrochemical supercapacitors. Carbon 2014, 71, 257–267. [Google Scholar] [CrossRef]
- Purkait, T.; Singh, G.; Kumar, D.; Singh, M.; Dey, R.S. High-performance flexible supercapacitors based on electrochemically tailored three-dimensional reduced graphene oxide networks. Sci. Rep. 2018, 8, 640. [Google Scholar] [CrossRef] [PubMed]
- Bilal, S.; Begum, B.; Gul, S.; Shah, A.H.A. PANI/DBSA/H2SO4: A promising and highly efficient electrode material for aqueous supercapacitors. Synth. Met. 2018, 235, 1–15. [Google Scholar] [CrossRef]
- Ghenaatian, H.R.; Mousavi, M.F.; Rahmanifar, M.S. High performance hybrid supercapacitor based on two nanostructured conducting polymers: Self-doped polyaniline and polypyrrole nanofibers. Electrochim. Acta 2012, 78, 212–222. [Google Scholar] [CrossRef]
- Pan, C.; Gu, H.; Dong, L. Synthesis and electrochemical performance of polyaniline@ MnO2/graphene ternary composites for electrochemical supercapacitors. J. Power Sources 2016, 303, 175–181. [Google Scholar] [CrossRef]
- Bandyopadhyay, P.; Kuila, T.; Balamurugan, J.; Nguyen, T.T.; Kim, N.H.; Lee, J.H. Facile synthesis of novel sulfonated polyaniline functionalized graphene using m-aminobenzene sulfonic acid for asymmetric supercapacitor application. Chem. Eng. J. 2017, 308, 1174–1184. [Google Scholar] [CrossRef]
- Xu, J.; Li, X.; Li, X.; Li, S.; Zhao, L.; Wang, D.; Xing, W.; Yan, Z. Free-standing cotton-derived carbon microfiber@ nickel-aluminum layered double hydroxides composite and its excellent capacitive performance. J. Alloys Compd. 2019, 787, 27–35. [Google Scholar] [CrossRef]
- Lee, J.W.; Lee, J.U.; Jo, J.W.; Bae, S.; Kim, K.T.; Jo, W.H. In-situ preparation of graphene/poly (styrenesulfonic acid-graft-polyaniline) nanocomposite via direct exfoliation of graphite for supercapacitor application. Carbon 2016, 105, 191–198. [Google Scholar] [CrossRef]
- Bavio, M.A.; Acosta, G.G.; Kessler, T.; Visintin, A. Flexible symmetric and asymmetric supercapacitors based in nanocomposites of carbon cloth/polyaniline-carbon nanotubes. Energy 2017, 130, 22–28. [Google Scholar] [CrossRef]
- Li, K.; Huang, Y.; Liu, J.; Sarfraz, M.; Agboola, P.O.; Shakir, I.; Xu, Y. A three-dimensional graphene framework-enabled high-performance stretchable asymmetric supercapacitor. J. Mater. Chem. A 2018, 6, 1802–1808. [Google Scholar] [CrossRef]









| S. No | Electrode Material | Electrolyte | Potential Window (V) | Current Density/Scan Rate | Specific Capacitance (F/g) | Reference |
|---|---|---|---|---|---|---|
| 1 | A-PCNFs//PANI PCNFs | 1 M L2SO4 | 1.8 | 20 m mV/s | 65 | [12] |
| 2 | sGNS-cMWCNT-PANI//aGNS | 1 M H2SO4 | 1.6 | 1 A g−1 | 107 | [26] |
| 3 | G@MnO2//porous graphene | 1 M Na2SO4 | 2 | 0.5 A g−1 | 56 | [33] |
| 3 | PANI/SG//AC | 2 mol/L Perchloric acid | 1.4 | 1 Ag−1 | 128.4 | [34] |
| 5 | AQ@PNCNTs//PNTs | 1 M H2SO4 | 1.4 | 1 A g−1 | 120 | [35] |
| 6 | GO@PANI //AC | 1 M H2SO4 | 1.2 | 1 A g−1 | 142 | Present study |
| S. No | Positive-Electrode//Negative-Electrode | Electrolyte | Current Density | Rate Capability/Retention | Reference |
|---|---|---|---|---|---|
| 1 | PANI-GO//CPANI-G | 1 M H2SO4 | 0.5 A g−1 | 90.3% after 5000 cycle | [31] |
| 2 | Polyaniline - carbon nanotubes//carbon cloth | 0.5M H2SO4 | 0.25 Ag−1 | 85% after 1000 cycle | [48] |
| 3 | A-PCNFs|| PANI-PCNFs | 1M Li2SO4 | 2 Ag−1 | 74% after 4500 cycle | [12] |
| 4 | GO@PANI nanocomposite //activated carbon | 1 M H2SO4 | 3 Ag−1 | 118.6 after 10,000 cycle | [Present work] |
© 2019 by the authors. Licensee MDPI, Basel, Switzerland. This article is an open access article distributed under the terms and conditions of the Creative Commons Attribution (CC BY) license (http://creativecommons.org/licenses/by/4.0/).
Share and Cite
Gul, H.; Shah, A.-u.-H.A.; Bilal, S. Achieving Ultrahigh Cycling Stability and Extended Potential Window for Supercapacitors through Asymmetric Combination of Conductive Polymer Nanocomposite and Activated Carbon. Polymers 2019, 11, 1678. https://doi.org/10.3390/polym11101678
Gul H, Shah A-u-HA, Bilal S. Achieving Ultrahigh Cycling Stability and Extended Potential Window for Supercapacitors through Asymmetric Combination of Conductive Polymer Nanocomposite and Activated Carbon. Polymers. 2019; 11(10):1678. https://doi.org/10.3390/polym11101678
Chicago/Turabian StyleGul, Hajera, Anwar-ul-Haq Ali Shah, and Salma Bilal. 2019. "Achieving Ultrahigh Cycling Stability and Extended Potential Window for Supercapacitors through Asymmetric Combination of Conductive Polymer Nanocomposite and Activated Carbon" Polymers 11, no. 10: 1678. https://doi.org/10.3390/polym11101678
APA StyleGul, H., Shah, A.-u.-H. A., & Bilal, S. (2019). Achieving Ultrahigh Cycling Stability and Extended Potential Window for Supercapacitors through Asymmetric Combination of Conductive Polymer Nanocomposite and Activated Carbon. Polymers, 11(10), 1678. https://doi.org/10.3390/polym11101678

