Balanced Viscoelastic Properties of Pressure Sensitive Adhesives Made with Thermoplastic Polyurethanes Blends
Abstract
1. Introduction
2. Materials and Methods
2.1. Materials
2.2. Synthesis of the Thermoplastic Polyurethanes (TPUs)
2.3. Preparation of the Blends of TPUs in MEK Solutions
2.4. Preparation of the TPU PSAs
2.5. Experimental Techniques
2.5.1. Solids Content
2.5.2. Attenuated Total Reflection Infrared Spectroscopy (ATR-IR)
2.5.3. Differential Scanning Calorimetry (DSC)
2.5.4. Thermal Gravimetric Analysis (TGA)
2.5.5. Plate-Plate Rheology
2.5.6. Probe Tack
2.5.7. Creep Test under Shear
2.5.8. 180° Peel Test
3. Results and Discussion
3.1. Influence of the Procedure for Preparing the Blends of TPUs on Their Properties
3.2. Characterization of the TPU1 + TPU2 Blends
3.3. Characterization of the TPU1 + TPU2 PSAs
4. Conclusions
Supplementary Materials
Supplementary File 1Author Contributions
Funding
Conflicts of Interest
References
- Feldstein, M.M.; Dormidontova, E.E.; Khokhlov, A.R. Pressure sensitive adhesives based on interpolymer complexes. Prog. Polym. Sci. 2015, 42, 79–153. [Google Scholar] [CrossRef]
- Mehravar, E.; Gross, M.A.; Agirre, A.; Reck, B.; Leiza, J.R.; Asua, J.M. Importance of film morphology on the performance of thermo-responsive waterborne pressure sensitive adhesives. Eur. Polym. J. 2018, 98, 63–71. [Google Scholar] [CrossRef]
- Deng, X. Progress on rubber-based pressure-sensitive adhesives. J. Adhes. 2018, 94, 77–96. [Google Scholar] [CrossRef]
- Mecham, S.; Sentman, A.; Sambasivam, M. Amphiphilic silicone copolymers for pressure sensitive adhesive applications. J. Appl. Polym. Sci. 2010, 116, 3265–3270. [Google Scholar] [CrossRef]
- Czech, Z.; Milker, R.; Malec, A. Crosslinking of PUR-PSA water-borne systems. Rev. Adv. Sci. 2006, 12, 189–199. [Google Scholar]
- Venkatraman, S.; Gale, R. Skin adhesives and skin adhesion. 1. Transdermal drug delivery systems. Biomaterials 1998, 19, 1119–1136. [Google Scholar] [CrossRef]
- Lobo, S.; Sachadeva, S.; Goswami, T. Role of pressure sensitive adhesives in transdermal drug delivery systems. Ther. Deliv. 2016, 7, 33–48. [Google Scholar] [CrossRef]
- Ho, K.Y.; Dodou, K. Rheological studies on pressure-sensitive silicone adhesives and drug-in-adhesive layers as a means to characterize adhesive performance. Int. J. Pharm. 2007, 333, 24–33. [Google Scholar] [CrossRef]
- Wolf, H.-M.; Dodou, K. Investigations on the viscoelastic performance of pressure sensitive adhesives in drug-in-adhesive type transdermal films. Pharm. Res. 2014, 31, 2186–2202. [Google Scholar] [CrossRef]
- Tombs, E.L.; Nikolaou, V.; Nurumbetov, G.; Haddleton, D.M. Trandermal delivery of ibuprofen utilizing a novel solvent-free pressure sensitive adhesive (PSA): TEPI® Technology. J. Pharm. Innov. 2018, 13, 48–57. [Google Scholar] [CrossRef]
- Feldstein, M.M.; Siegel, R.A. Molecular and nanoscale factors governing pressure-sensitive adhesion strength of viscoelastic polymers. J. Polym. Sci. Part B Polym. Phys. 2012, 50, 739–772. [Google Scholar] [CrossRef]
- Yilgör, I.; Yilgör, E.; Wilker, G.L. Critical parameters in designing segmented polyurethanes and their effect on morphology and properties: A comprehensive review. Polymer 2015, 58, A1–A36. [Google Scholar] [CrossRef]
- Czech, Z.; Hinterwaldner, R. Pressure-sensitive adhesives based on polyurethanes. In Handbook of Pressure Sensitive Adhesives and Products. Fundamentals of Pressure Sensitive Adhesives and Products Applications of Pressure–Sensitive Products, 1st ed.; Benedek, I., Feldstein, M.M., Eds.; CRC Press, Taylor and Francis: Boca Raton, FL, USA; London, UK; New York, NY, USA, 2009; Chapter 11; pp. 1–19. [Google Scholar]
- Dahl, R. Polyurethane Pressure-sensitive Adhesive. US Patent No. 3,437,622, 8 April 1969. [Google Scholar]
- Tushaus, L. Pressure-sensitive Adhesives Based on Cyclic Terpene Urethane Resin. US Patent No. 3,718,712 A, 27 February 1973. [Google Scholar]
- Hartmann, H.; Druschke, W.; Eisentraeger, K.; Muellern, H. Manufacture of Pressure-Sensitive Adhesives. US Patent No. 4,087,392 A, 2 May 1978. [Google Scholar]
- Müller, H.; Szonn, B. Adhesive Sheets and Webs and Process for Their Manufacture. U.S. Patent No. 3,930,102 A, 11 April 1974. [Google Scholar]
- Orr, R.B.; Del, W. Pressure-sensitive Adhesive Formulation Comprising Underindexed Isocyanate to Active Hidrogen Composition. US Patent No. 5,157101 A, 4 June 1990. [Google Scholar]
- Kydonieus, A.; Bastar, L.; Shah, K.; Jamshidi, K.; Chang, T.-L.; Kuo, S.-H. Polyurethane Pressure-sensitive Adhesives. US Patent No. 5,591,820 A, 7 January 1997. [Google Scholar]
- Shah, K.R.; Chang, T.-L.; Kydonieus, A. Water Soluble Polymer Additives for Polyurethane-based Pressure Sensitive Adhesives. US Patent No. 5,714,543 A, 3 February 1998. [Google Scholar]
- Nakamura, Y.; Nakanoa, S.; Itoa, K.; Imamuraa, K.; Fujiia, S.; Sasakic, M.; Urahamad, Y. Adhesion properties of polyurethane pressure-sensitive adhesive. J. Adhes. Sci. Technol. 2013, 27, 263–277. [Google Scholar] [CrossRef]
- Fuensanta, M.; Martín-Martínez, J.M. Thermoplastic polyurethane coatings made with mixtures of polyethers of different molecular weights with pressure sensitive adhesion property. Prog. Org. Coat. 2018, 118, 148–156. [Google Scholar] [CrossRef]
- Fuensanta, M.; Martín-Martínez, J.M. Thermoplastic polyurethane pressure sensitive adhesives made with T mixtures of polypropylene glycols of different molecular weights. Int. J. Adhes. Adhes. 2019, 88, 81–90. [Google Scholar] [CrossRef]
- Yılgör, E.; Yılgör, I.; Yurtsever, E. Hydrogen bonding and polyurethane morphology. I. Quantum mechanical calculations of hydrogen bond energies and vibrational spectroscopy of model compounds. Polymer 2002, 43, 6551–6559. [Google Scholar] [CrossRef]
- Mattia, J.; Painter, P. A comparison of hydrogen bonding and order in a polyurethane and poly(urethane-urea) and their blends with poly(ethylene glycol). Macromolecules 2007, 40, 1546–1554. [Google Scholar] [CrossRef]
- Fuensanta, M.; Jofre-Reche, J.A.; Rodríguez-Llansola, F.; Costa, V.; Iglesias, J.I.; Martín-Martínez, J.M. Structural characterization of polyurethane ureas and waterborne polyurethane urea dispersions made with mixtures of polyester polyol and polycarbonate diol. Prog. Org. Coat. 2017, 112, 141–152. [Google Scholar] [CrossRef]
- Bagde, K.; Molnár, K.; Sajó, I.; Pukánszky, B. Specific interactions, structure and properties in segmented polyurethane elastomers. Express Polym. Lett. 2011, 5, 417–427. [Google Scholar] [CrossRef]
- Wilkes, G.L.; Bagrodia, S.; Humphries, W.; Wildnauer, R. The time dependence of the Thermal and mechanical properties of segmented urethanes following Thermal treatment. J. Polym. Sci. Polym. Lett. 1975, 13, 321–327. [Google Scholar] [CrossRef]
- Wilkes, G.L.; Wildnauer, R. The kinetic behavior of the thermal and mechanical properties of segmented urethanes. J. Appl. Phys. 1975, 46, 4148–4152. [Google Scholar] [CrossRef]
- Chu, S.G. Dynamic mechanical properties of pressure-sensitive adhesives. In Adhesive Bonding; Lee, L.H., Ed.; Plenum Press: New York, NY, USA, 1991; pp. 97–138. [Google Scholar]
- Chang, E.-P. Viscoelastic properties of pressure sensitive adhesives. J. Adhes. 1997, 60, 233–248. [Google Scholar] [CrossRef]
- Dahlquist, C.A. Pressure sensitive adhesives. In Treatise on Adhesion and Adhesives; Patrick, R.L., Ed.; Marcel Dekker, Inc.: New York, NY, USA, 1969; pp. 219–260. [Google Scholar]


















| Natural and Synthetic Rubber | Acrylic | Silicone | Polyurethane | |
|---|---|---|---|---|
| Tack | High | Low to high | Low to high | Low |
| Peel strength | High | Medium to high | Medium | Low to medium |
| Cohesive strength | High | Low to high | High | High |
| Oxidative resistance | Poor | Good | Excellent | Excellent |
| Solvent resistance | Fair | High | Excellent | Excellent |
| Low skin sensibility | Poor to good | Good | Excellent | Good |
| Low skin trauma | Poor | Poor | Excellent | Good |
| Repositionability | Poor | Poor | Excellent | Fair |
| Cost | Low | Medium | High | Medium |
| Relative Contribution of Species (%) | ||
|---|---|---|
| Wavenumber (cm−1) | 80TPU1/20TPU2 (A) | 80TPU1/20TPU2 (B) |
| 1727 cm−1 (Free urethane) | 61 | 62 |
| 1706–1705 cm−1 (H-bonded urethane) | 39 | 38 |
| Blend | Tcross-over (°C) | Gcross-over (Pa) |
|---|---|---|
| 80TPU1/20TPU2 (A) | 53 | 6.8·104 |
| 80TPU1/20TPU2 (B) | 46 | 6.8·104 |
| PSA | Holding Time (min) | 180° Peel Strength After 30 min (kN/m) | 180° Peel Strength After 72 h (kN/m) |
|---|---|---|---|
| 80TPU1/20TPU2 (A) PSA | 442 ± 134 | 1.29 ± 0.06 (CA) a | 1.61 ± 0.07 (CA) a |
| 80TPU1/20TPU2 (B) PSA | 845 ± 75 | 0.95 ± 0.03 (CA) a | 1.07 ± 0.02 (CA) a |
| Sample Code | TPU1 (wt%) | TPU2 (wt%) | Solids Content (wt%) |
|---|---|---|---|
| TPU1 | 100 | - | 18.8 ± 1.7 |
| 80TPU1/20TPU2 | 80 | 20 | 17.9 ± 0.6 |
| 70TPU1/30TPU2 | 70 | 30 | 17.8 ± 0.7 |
| 60TPU1/40TPU2 | 60 | 40 | 19.3 ± 1.5 |
| TPU2 | - | 100 | 19.9 ± 1.9 |
| Relative Contribution of Species (%) | |||||
|---|---|---|---|---|---|
| Wavenumber (cm−1) | TPU1 | 80TPU1/20TPU2 | 70TPU1/30TPU2 | 60TPU1/40TPU2 | TPU2 |
| 1726–1727 cm−1 (Free urethane) | 66 | 61 | 59 | 58 | 46 |
| 1706–1704 cm−1 (H-bonded urethane) | 34 | 39 | 41 | 42 | 54 |
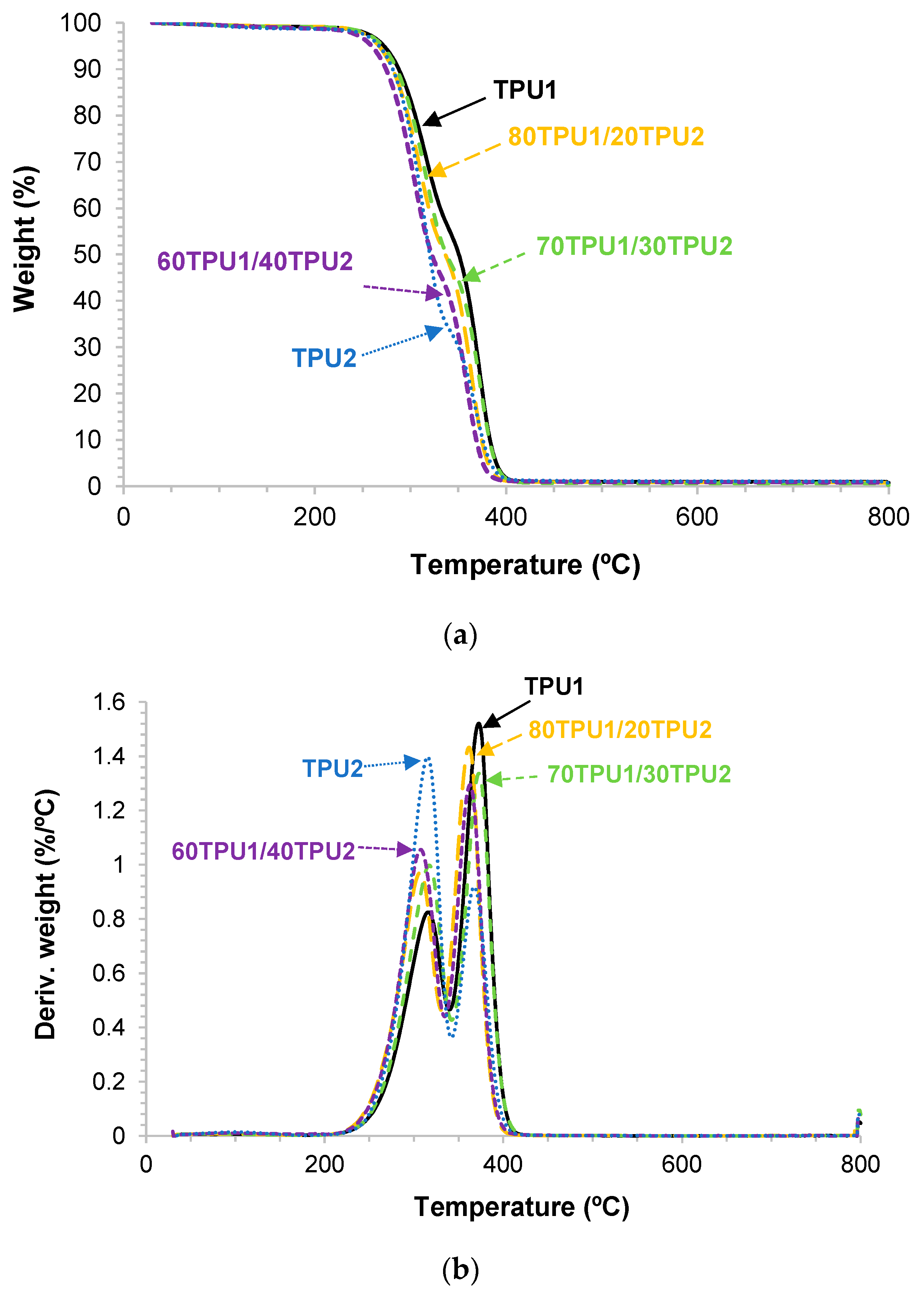
| Sample Code. | T5% (°C) | T50% (°C) | 1st Decomposition | 2nd Decomposition | Residue (wt%) | ||
|---|---|---|---|---|---|---|---|
| T1 (°C) | Weight Loss1 (%) | T2 (°C) | Weight Loss2 (%) | ||||
| TPU1 | 272 | 351 | 309 | 44 | 373 | 54 | 2 |
| 80TPU1/20TPU2 | 267 | 336 | 309 | 48 | 365 | 51 | 1 |
| 70TPU1/30TPU2 | 271 | 338 | 317 | 52 | 373 | 48 | 0 |
| 60TPU1/40TPU2 | 263 | 326 | 308 | 53 | 363 | 45 | 2 |
| TPU2 | 267 | 320 | 315 | 66 | 368 | 32 | 2 |
| Sample Code | Tcross-over (°C) | Gcross-over (Pa) |
|---|---|---|
| TPU1 | 32 | 8.3·104 |
| 80TPU1/20TPU2 | 53 | 6.8·104 |
| 70TPU1/30TPU2 | 61 | 5.7·104 |
| 60TPU1/40TPU2 | 69 | 5.0·104 |
| TPU2 | 75 | 9.6·104 |
| Sample Code | G’ (kPa)-0.1 rad/s | G’ (kPa)-100 rad/s | G’ (0.1 rad/s)/G’ (100 rad/s) |
|---|---|---|---|
| TPU 1 | 0.42 | 38.68 | 92.7 |
| 80TPU1/20TPU2 | 3.33 | 52.50 | 15.8 |
| 70TPU1/30TPU2 | 3.64 | 41.66 | 11.4 |
| 60TPU1/40TPU2 | 6.13 | 50.63 | 8.3 |
| TPU2 | 10.68 | 23.55 | 2.2 |
| Sample Code | Tack at 25 °C (kPa) | 180° Peel Strength (kN/m) a | Holding Time at 25 °C (min) |
|---|---|---|---|
| TPU 1 | 634 ± 33 | 0.35 ± 0.04 (CA) | 152 ± 46 |
| 80TPU1/20TPU2 | 525 ± 55 | 1.29 ± 0.06 (CA) | 442 ± 134 |
| 70TPU1/30TPU2 | 450 ± 5 | 1.43 ± 0.25 (A) | 847 ± 55 |
| 60TPU1/40TPU2 | 440 ± 21 | 0.85 ± 0.08 (A) | 2115 ± 128 |
| TPU2 | 391 ± 30 | 0.22 ± 0.04 (A) | 4211 ± 10 |
© 2019 by the authors. Licensee MDPI, Basel, Switzerland. This article is an open access article distributed under the terms and conditions of the Creative Commons Attribution (CC BY) license (http://creativecommons.org/licenses/by/4.0/).
Share and Cite
Fuensanta, M.; Vallino-Moyano, M.A.; Martín-Martínez, J.M. Balanced Viscoelastic Properties of Pressure Sensitive Adhesives Made with Thermoplastic Polyurethanes Blends. Polymers 2019, 11, 1608. https://doi.org/10.3390/polym11101608
Fuensanta M, Vallino-Moyano MA, Martín-Martínez JM. Balanced Viscoelastic Properties of Pressure Sensitive Adhesives Made with Thermoplastic Polyurethanes Blends. Polymers. 2019; 11(10):1608. https://doi.org/10.3390/polym11101608
Chicago/Turabian StyleFuensanta, Mónica, María Agostina Vallino-Moyano, and José Miguel Martín-Martínez. 2019. "Balanced Viscoelastic Properties of Pressure Sensitive Adhesives Made with Thermoplastic Polyurethanes Blends" Polymers 11, no. 10: 1608. https://doi.org/10.3390/polym11101608
APA StyleFuensanta, M., Vallino-Moyano, M. A., & Martín-Martínez, J. M. (2019). Balanced Viscoelastic Properties of Pressure Sensitive Adhesives Made with Thermoplastic Polyurethanes Blends. Polymers, 11(10), 1608. https://doi.org/10.3390/polym11101608

