Significantly Enhanced Electromechanical Performance of PDMS Crosslinked PVDF Hybrids
Abstract
1. Introduction
2. Materials and Methods
2.1. Materials
2.2. Synthesis of P(VDF-CTFE-DB) Matrix
2.3. Preparation of Silicone Cross-Linked P(VDF-CTFE-DB) Hybrids
2.4. Characterizations
3. Results and Discussion
3.1. Chemical Structure of P(VDF-CTFE) and P(VDF-CTFE-DB)
3.2. Structure and Morphology of the Hybrids
3.3. Dielectric Properties of the Hybrids
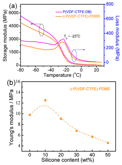
3.4. Mechanical Properties of the Hybrids
3.5. Electromechanical Performance of the Hybrids
4. Conclusions
Author Contributions
Funding
Acknowledgments
Conflicts of Interest
References
- Dang, Z.M.; Yuan, J.K.; Yao, S.H.; Liao, R.J. Flexible nanodielectric materials with high permittivity for power energy storage. Adv. Mater. 2013, 25, 6334–6365. [Google Scholar] [CrossRef] [PubMed]
- Pelrine, R.; Kornbluh, R.; Pei, Q.B.; Joseph, J. High-speed electrically actuated elastomers with strain greater than 100%. Science 2000, 287, 836–839. [Google Scholar] [CrossRef] [PubMed]
- Suo, Z.G. Theory of dielectric elastomers. Acta Mech. Solida Sin. 2010, 23, 549–578. [Google Scholar] [CrossRef]
- Zhong, S.L.; Dang, Z.M.; Zhou, W.Y.; Cai, H.W. Past and future on nanodielectrics. IET Nanodielectr. 2018, 1, 41–47. [Google Scholar] [CrossRef]
- Xia, W.M.; Zhang, Z.C. PVDF-based dielectric polymers and their applications in electronic materials. IET Nanodielectr. 2018, 1, 17–31. [Google Scholar] [CrossRef]
- Matko, V.; Milanović, M. Temperature-Compensated Capacitance-Frequency Converter with High Resolution. Sensor Actuators A Phys. 2014, 220, 262–269. [Google Scholar] [CrossRef]
- Azevedo, R.G.; Huang, W.; O’Reilly, O.M.; Pisano, A.P. Dual-mode temperature compensation for a comb-driven MEMS resonant strain gauge. Sensor Actuators A Phys. 2008, 144, 374–380. [Google Scholar] [CrossRef]
- Matko, V. Next generation AT-cut quartz crystal sensing devices. Sensors 2011, 5, 4474–4482. [Google Scholar] [CrossRef] [PubMed]
- O’Halloran, A.; O’Malley, F.; McHugh, P. A review on dielectric elastomer actuators, technology, applications, and challenges. J. Appl. Phys. 2008, 104, 071101. [Google Scholar] [CrossRef]
- Shankar, R.; Ghosh, T.K.; Spontak, R.J. Dielectric elastomers as next-generation polymeric actuators. Soft Matter 2007, 3, 1116–1129. [Google Scholar] [CrossRef]
- Dünki, S.J.; Ko, Y.S.; Nüesch, F.A.; Opris, D.M. Self-repairable, high Permittivity dielectric elastomers with large actuation strains at low electric fields. Adv. Funct. Mater. 2015, 22, 2467–2475. [Google Scholar] [CrossRef]
- Gaiser, P.; Binz, J.; Gompf, B.; Berrier, A.; Dressel, M. Tuning the dielectric properties of metallic-nanoparticle/elastomer composites by strain. Nanoscale 2015, 7, 4566–4571. [Google Scholar] [CrossRef] [PubMed]
- Jing, W.Q.; Fang, F.; Yang, W. Strengthening of electromechanical properties for poly(vinylidene fluoride-trifluoroethylene) films under tailored electric cycling. J. Appl. Polym. Sci. 2018, 135, 45926. [Google Scholar] [CrossRef]
- Sigamani, N.; Ounaies, Z.; Ehlert, G.; Sodano, H. Electromechanical response of reduced graphene oxide–polyvinylidene fluoride nanocomposites prepared through in-situ thermal reduction. J. Appl. Phys. 2015, 117, 154102. [Google Scholar] [CrossRef]
- Dias, J.C.; Lopes, A.C.; Magalhaes, B.; Botelho, G.; Silva, M.M.; Esperança, J.M.S.S.; Lanceros-Mendez, S. High performance electromechanical actuators based on ionic liquid/poly(vinylidene fluoride). Polym. Test. 2015, 48, 199–205. [Google Scholar] [CrossRef]
- Inutsuka, M.; Inoue, K.; Hayashi, Y.; Inomata, A.; Sakai, Y.; Yokoyama, H.; Ito, K. Highly dielectric and flexible polyrotaxane elastomer by introduction of cyano groups. Polymer 2015, 59, 10–15. [Google Scholar] [CrossRef]
- Madsen, F.B.; Yu, L.Y.; Daugaard, A.E.; Hvilsted, S.; Skov, A.L. Silicone elastomers with high dielectric permittivity and high dielectric breakdown strength based on dipolar copolymers. Polymer 2014, 55, 6212–6219. [Google Scholar] [CrossRef]
- Madsen, F.B.; Yu, L.; Daugaard, A.E.; Hvilsted, S.; Skov, A.L. A new soft dielectric silicone elastomer matrix with high mechanical integrity and low losses. RSC Adv. 2015, 5, 10254–10259. [Google Scholar] [CrossRef]
- Jiang, L.; Betts, A.; Kennedy, D.; Jerrams, S. Investigation into the electromechanical properties of dielectric elastomers subjected to pre-stressing. Mater. Sci. Eng. C 2015, 49, 754–760. [Google Scholar] [CrossRef] [PubMed]
- Lau, G.-K.; Tan, D.D.-T.; La, T.-G. Large axial actuation of pre-stretched tubular dielectric elastomer and use of oil encapsulation to enhance dielectric breakdown strength. Smart Mater. Struct. 2015, 24, 045025. [Google Scholar] [CrossRef]
- Cho, K.Y.; Park, H.; Kim, H.-J.; Do, X.H.; Koo, C.M.; Hwang, S.S.; Yoon, H.G.; Baek, K.-Y. Highly enhanced electromechanical properties of PVDF-TrFE/SWCNT nanocomposites using an efficient polymer compatibilizer. Comp. Sci. Technol. 2018, 157, 21–29. [Google Scholar] [CrossRef]
- Yang, D.; Zhang, L.Q.; Liu, H.L.; Dong, Y.C.; Yu, Y.C.; Tian, M. Lead magnesium niobate-filled silicone dielectric elastomer with large actuated strain. J. Appl. Polym. Sci. 2012, 125, 2196–2201. [Google Scholar] [CrossRef]
- Ning, N.Y.; Ma, Q.; Liu, S.T.; Tian, M.; Zhang, L.Q.; Nishi, T. Tailoring dielectric and actuated properties of elastomer composites by bioinspired poly(dopamine) encapsulated graphene oxide. ACS Appl. Mater. Interfaces 2015, 7, 10755–10762. [Google Scholar] [CrossRef] [PubMed]
- Yang, D.; Ge, F.X.; Tian, M.; Ning, N.Y.; Zhang, L.Q.; Zhao, C.M.; Ito, K.; Nishi, T.; Wang, H.M.; Luan, Y.G. Dielectric elastomer actuator with excellent electromechanical performance using slide-ring materials/barium titanate composites. J. Mater. Chem. A 2015, 3, 9468–9479. [Google Scholar] [CrossRef]
- Zhao, H.; Zhang, L.; Yang, M.H.; Dang, Z.M.; Bai, J.B. Temperature-dependent electro-mechanical actuation sensitivity in stiffness-tunable BaTiO3/polydimethylsiloxane dielectric elastomer nanocomposites. Appl. Phys. Lett. 2015, 106, 092904. [Google Scholar] [CrossRef]
- Liu, S.T.; Tian, M.; Yan, B.Y.; Yao, Y.; Zhang, L.Q.; Nishi, T.; Ning, N.Y. High performance dielectric elastomers by partially reduced grapheme oxide and disruption of hydrogen bonding of polyurethanes. Polymer 2015, 56, 375–384. [Google Scholar] [CrossRef]
- Opris, D.M.; Molberg, M.; Walder, C.; Ko, Y.S.; Fischer, B.; Nüesch, F.A. New silicone composites for dielectric elastomer actuator applications in competition with acrylic foil. Adv. Funct. Mater. 2011, 21, 3531–3539. [Google Scholar] [CrossRef]
- Molberg, M.; Crespy, D.; Rupper, P.; Nüesch, F.; Månson, J.-A.E.; Löwe, C.; Opris, D.M. High breakdown field dielectric elastomer actuators using encapsulated polyaniline as high dielectric constant filler. Adv. Funct. Mater. 2010, 20, 3280–3291. [Google Scholar] [CrossRef]
- Tian, M.; Yao, Y.; Liu, S.T.; Yang, D.; Zhang, L.Q.; Nishic, T.; Ning, N.Y. Separated-structured all-organic dielectric elastomer with large actuation strain under ultralow voltage and high mechanical strength. J. Mater. Chem. A 2015, 3, 1483–1491. [Google Scholar] [CrossRef]
- Tan, S.B.; Li, J.J.; Gao, G.X.; Li, H.Y.; Zhang, Z.C. Synthesis of fluoropolymer containing tunable unsaturation by a controlled dehydrochlorination of P(VDF-co-CTFE) and its curing for high performance rubber applications. J. Mater. Chem. 2012, 22, 18496–18504. [Google Scholar] [CrossRef]
- Xie, Y.C.; Yu, Y.Y.; Feng, Y.F.; Jiang, W.R.; Zhang, Z.C. Fabrication of stretchable nanocomposites with high energy density and low loss from crosslinked PVDF filled with poly(dopamine) encapsulated BaTiO3. ACS Appl. Mater. Interfaces 2017, 9, 2995–3005. [Google Scholar] [CrossRef] [PubMed]
- Feng, Y.F.; Gong, H.H.; Xie, Y.C.; Wei, X.Y.; Yang, L.J.; Zhang, Z.C. High dielectric and mechanical properties achieved in crosslinked PVDF/α-SiC nanocomposites with elevated compatibility and induced polarization at interface. ACS Appl. Mater. Interfaces 2016, 8, 19054–19065. [Google Scholar] [CrossRef] [PubMed]
- Tan, S.B.; Hu, X.; Ding, S.J.; Zhang, Z.C.; Li, H.Y.; Yang, L.J. Significantly improving dielectric and energy storage properties via uniaxially stretching crosslinked P(VDF-TrFE) films. J. Mater. Chem. A 2013, 1, 10353–10361. [Google Scholar] [CrossRef]
- Li, Z.M.; Wang, Y.H.; Cheng, Z.Y. Electromechanical properties of poly(vinylidene-fluoridechlorotrifluoroethylene) copolymer. Appl. Phys. Lett. 2006, 88, 062904. [Google Scholar] [CrossRef]
- Zhang, Q.M.; Bharti, V.; Zhao, X. Giant Electrostriction and Relaxor Ferroelectric Behavior in Electron-Irradiated Poly(vinylidene fluoride-trifluoroethylene) Copolymer. Science 1998, 280, 2101–2104. [Google Scholar] [CrossRef] [PubMed]
- Xu, H.S.; Cheng, Z.Y.; Olson, D.; Mai, T.; Zhang, Q.M.; Kavarnos, G. Ferroelectric and electromechanical properties of P(VDF-TrFE-CTFE) terpolymer. Appl. Phys. Lett. 2001, 78, 2360–2362. [Google Scholar] [CrossRef]
- Xia, F.; Cheng, Z.Y.; Xu, H.S.; Li, H.F.; Zhang, Q.M.; Kavarnos, G.J.; Ting, R.Y.; Abdel-Sadek, G.A.; Belfield, K.D. High electromechanical responses in a P(VDF-TrFE-CTFE) Terpolymer. Adv. Mater. 2002, 14, 1574–1577. [Google Scholar] [CrossRef]
- Lu, S.G.; Chen, X.; Levard, T.; Diglio, P.J.; Gorny, L.J.; Rahn, C.D.; Zhang, Q.M. Large displacement in relaxor ferroelectric terpolymer blend derived actuators using Al electrode for braille displays. Sci. Rep. 2015, 5, 11361. [Google Scholar] [CrossRef] [PubMed]










| Full Name | Abbreviation |
|---|---|
| Uncross-linked P(VDF-CTFE-DB) | P(VDF-CTFE-DB) |
| Cross-linked P(VDF-CTFE-DB) | c-P(VDF-CTFE)-PDMS |
| Silicone oligomer with -NH2 groups | PDMS-NH2 |
| Silicone Content (wt %) | 0 | 10 | 20 | 30 | 40 | 50 |
|---|---|---|---|---|---|---|
| εr@100 Hz | 8.2 | 9.6 | 12.4 | 16.3 | 9.0 | 6.3 |
| Y/MPa | 9.8 | 12.5 | 9.1 | 6.8 | 5.7 | 4.6 |
| εr/Y | 0.84 | 0.77 | 1.36 | 2.40 | 1.58 | 1.37 |
© 2018 by the authors. Licensee MDPI, Basel, Switzerland. This article is an open access article distributed under the terms and conditions of the Creative Commons Attribution (CC BY) license (http://creativecommons.org/licenses/by/4.0/).
Share and Cite
He, D.; Xie, Y.; Wang, X.; Zhang, Z. Significantly Enhanced Electromechanical Performance of PDMS Crosslinked PVDF Hybrids. Polymers 2018, 10, 714. https://doi.org/10.3390/polym10070714
He D, Xie Y, Wang X, Zhang Z. Significantly Enhanced Electromechanical Performance of PDMS Crosslinked PVDF Hybrids. Polymers. 2018; 10(7):714. https://doi.org/10.3390/polym10070714
Chicago/Turabian StyleHe, Dan, Yunchuan Xie, Xiao Wang, and Zhicheng Zhang. 2018. "Significantly Enhanced Electromechanical Performance of PDMS Crosslinked PVDF Hybrids" Polymers 10, no. 7: 714. https://doi.org/10.3390/polym10070714
APA StyleHe, D., Xie, Y., Wang, X., & Zhang, Z. (2018). Significantly Enhanced Electromechanical Performance of PDMS Crosslinked PVDF Hybrids. Polymers, 10(7), 714. https://doi.org/10.3390/polym10070714

