RETRACTED: Preparation of Amidoxime-Functionalized β-Cyclodextrin-Graft-(Maleic Anhydride-co-Acrylonitrule) Copolymer and Evaluation of the Adsorption and Regeneration Properties of Uranium
Abstract
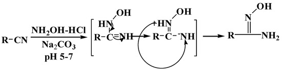
:1. Introduction
2. Materials and Methods
2.1. Materials
2.2. Adsorbent Preparation
2.3. Characterization Studies
2.4. Adsorption Performance Study
2.5. Desorption and Regenerative Performance Study
3. Results and Discussion
3.1. Characterization Studies
3.1.1. Fourier Transform Infrared Spectroscopy (FTIR)
3.1.2. Determination of Elemental Analysis
3.1.3. Specific Surface Area Measurements
3.1.4. Scanning Electron Microscopy Measurements (SEM)
3.1.5. X-ray Diffraction Measurements (XRD)
3.1.6. Thermo-Gravimetric Analysis (TGA)
3.2. Adsorption Performance Study
3.2.1. Effect of pH and Ionic Strength
3.2.2. Effect of Solid-Liquid Ratio
3.2.3. Adsorption kinetics
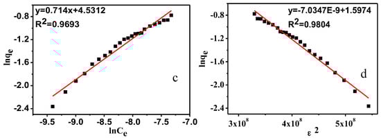
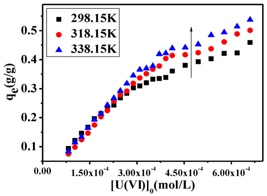
3.2.4. Effect of Initial U(VI) Concentration and Adsorption Isotherm
3.2.5. Effect of Temperature and Thermodynamic Data
3.2.6. Adsorption Selectivity
3.3. Research on Regenerative Performance
3.3.1. Desorption Performance Study
3.3.2. Reusability
4. Conclusions
Acknowledgments
Author Contributions
Conflicts of Interest
References
- Li, W.-P.; Han, X.-Y.; Wang, X.-Y.; Wang, Y.-Q.; Wang, W.-X.; Xu, H.; Tan, T.-S.; Wu, W.-S.; Zhang, H.-X. Recovery of uranyl from aqueous solutions using amidoximated polyacrylonitrile/exfoliated Na-montmorillonite composite. Chem. Eng. J. 2015, 279, 735–746. [Google Scholar] [CrossRef]
- Nasef, M.-M.; Güven, O. Radiation-grafted copolymers for separation and purification purposes: Status, challenges and future directions. Prog. Polym. Sci. 2012, 37, 1597–1656. [Google Scholar] [CrossRef]
- Ajmal, M.; Demirci, S.; Uzun, Y.; Siddiq, M.; Aktas, N.; Sahiner, N. Introduction of double amidoxime group by double post surface modification on poly(vinylbenzyl chloride) beads for higher amounts of organic dyes, As(V) and Cr(VI) removal. J. Colloid. Interf. Sci. 2016, 470, 39–46. [Google Scholar] [CrossRef] [PubMed]
- Islamoglu, S.; Yilmaz, L.; Ozbelge, H.-O. Development of a precipitation based separation scheme for selective removal and recovery of heavy metals from cadmium rich electroplating industry effluents. Sep. Sci. Technol. 2006, 41, 3367–3385. [Google Scholar] [CrossRef]
- Jha, M.-K.; Gupta, D.; Choubey, P.-K.; Kumar, V.; Jeong, J.; Lee, J.-C. Solvent extraction of copper, zinc, cadmium and nickel from sulfate solution in mixer settler unit (MSU). Sep. Purif. Technol. 2014, 122, 119–127. [Google Scholar] [CrossRef]
- Gunathilake, C.; Gorka, J.; Dai, S.; Jaroniec, M. Amidoxime-modified mesoporous silica for uranium adsorption under seawater conditions. J. Mater. Chem. A. 2015, 3, 11650–11659. [Google Scholar] [CrossRef]
- Elwakeel, K.-Z.; El-Bindary, A.-A.; Kouta, E.-Y.; Guibal, E. Functionalization of polyacrylonitrile/Na-Y-zeolite composite with amidoxime groups for the sorption of Cu(II), Cd(II) and Pb(II) metal ions. Chem. Eng. J. 2017, 332, 727–736. [Google Scholar] [CrossRef]
- Xie, Y.-Y.; Wang, J.; Wang, M.-Z.; Ge, X.-W. Fabrication of fibrous amidoxime-functionalized mesoporous silica microsphere and its selectively adsorption property for Pb2+ in aqueous solution. J. Hazard. Mater. 2015, 297, 66–73. [Google Scholar] [CrossRef] [PubMed]
- Wang, C.-Z.; Lan, J.-H.; Wu, Q.-Y.; Luo, Q.; Zhao, Y.-L.; Wang, X.-K.; Chai, Z.-F.; Shi, W.-Q. Theoretical insights on the interaction of uranium with amidoxime and carboxyl groups. Inorg. Chem. 2014, 53, 9466–9476. [Google Scholar] [CrossRef] [PubMed]
- Guo, X.-J.; Xiong, X.-G.; Li, C.; Gong, H.-F.; Huai, P.; Hu, J.-T.; Jin, C.; Huang, L.-L.; Wu, G.-Z. DFT investigations of uranium complexation with amidoxime-, carboxyl- and mixed amidoxime/carboxyl-based host architectures for sequestering uranium from seawater. Inorg. Chim. Acta. 2016, 441, 117–125. [Google Scholar] [CrossRef]
- Kawai, T.; Saito, K.; Sugita, K.; Kawakami, T.; Kanno, J.-I.; Katakai, A.; Seko, N.; Sugo, T. Preparation of hydrophilic amidoxime fibers by cografting acrylonitrile and methacrylic acid from an optimized monomer composition. Radiat. Phys. Chem. 2000, 59, 405–411. [Google Scholar] [CrossRef]
- Carboni, M.; Abney, C.-W.; Taylor-Pashow, K.-M.-L.; Vivero-Escoto, J.-L.; Lin, W.-B. Uranium sorption with functionalized mesoporous carbon materials. Ind. Eng. Chem. Res. 2013, 52, 15187–15197. [Google Scholar] [CrossRef]
- Das, S.; Pandey, A.-K.; Athawale, A.; Kumar, V.; Bhardwaj, Y.-K.; Sabharwal, S.; Manchanda, V.-K. Chemical aspects of uranium recovery from seawater by amidoximated electron-beam-grafted polypropylene membranes. Desalination. 2008, 232, 243–253. [Google Scholar] [CrossRef]
- Kang, S.-O.; Vukovic, S.; Custelcean, R.; Hay, B.-P. Cyclic imide dioximes: formation and hydrolytic stability. Ind. Eng. Chem. Res. 2012, 51, 6619–6624. [Google Scholar] [CrossRef]
- Li, J.; Zhang, S.; Zhou, Y.; Guan, S.; Zhang, L. Inclusion complexes of fluconazole with β-cyclodextrin and 2-hydroxypropyl-β-cyclodextrin in aqueous solution: preparation, characterization and a structural insight. J. Incl. Phenom. Macrocycl. Chem. 2016, 84, 209–217. [Google Scholar] [CrossRef]
- Si, Q.-B.; Wen, Q.; Yang, Q.-B.; Song, Y.; Li, Y.-X. Preparation of β-cyclodextrin/Fe3O4/polyvinylpyrrolidone composite magnetic microspheres for the adsorption of methyl orange. Chem. Res. Chin. Univ. 2017. [Google Scholar] [CrossRef]
- Akl, Z.-F.; El-Saeed, S.-M.; Atta, A.-M. In-situ synthesis of magnetite acrylamide aminoamidoxime nanocomposite adsorbent for highly efficient sorption of U(VI) ions. J. Ind. Eng. Chem. 2016, 34, 105–116. [Google Scholar] [CrossRef]
- Belhalfaoui, B.; Aziz, A.; Elandaloussi, E.-H.; Ouali, M.-S.; De Menorval, L.-C. Succinate-bonded cellulose: A regenerable and powerful sorbent for cadmiumremoval from spiked high-hardness groundwater. J. Hazard. Mater. 2009, 169, 831–837. [Google Scholar] [CrossRef] [PubMed]
- Dwivedi, A.-D.; Dubey, S.-P.; Hokkanen, S.; Sillanpää, M. Mechanistic investigation on the green recovery of ionic, nanocrystalline, and metallic gold by two anionic nanocelluloses. Chem. Eng. J. 2014, 253, 316–324. [Google Scholar] [CrossRef]
- Hokkanen, S.; Repo, E.; Sillanpää, M. Removal of heavy metals from aqueous solutions by succinic anhydride modified mercerized nanocellulose. Chem. Eng. J. 2013, 223, 40–47. [Google Scholar] [CrossRef]
- Hokkanen, S.; Bhatnagar, A.; Sillanpää, M. A review on modification methods to cellulose-based adsorbents to improve adsorption capacity. Water. Res. 2016, 91, 156–173. [Google Scholar] [CrossRef] [PubMed]
- Liu, X.-Y.; Liu, H.-Z.; Ma, H.-J.; Cao, C.-Q.; Yu, M.; Wang, Z.-Q.; Deng, B.; Wang, M.; Li, J.-Y. Adsorption of the uranyl ions on an amidoxime-based polyethylene nonwoven fabric prepared by preirradiation-induced emulsion graft polymerization. Ind. Eng. Chem. Res. 2012, 51, 15089–15095. [Google Scholar] [CrossRef]
- Hu, X.-J.; Liu, Y.-G.; Wang, H.; Zeng, G.-M.; Hu, X.; Guo, Y.-M.; Li, T.-T.; Chen, A.-W.; Jiang, L.-H.; Guo, F.-Y. Adsorption of copper by magnetic grapheme oxide-supported β-cyclodextrin: Effects of pH, ionic strength, background electrolytes, and citric acid. Chem. Eng. Res. Des. 2014, 93, 675–683. [Google Scholar] [CrossRef]
- Horzum, N.; Shahwan, T.; Parlak, O.; Demir, M.-M. Synthesis of amidoximated polyacrylonitrile fibers and its application for sorption of aqueous uranyl ions under continuous flow. Chem. Eng. J. 2012, 213, 41–49. [Google Scholar] [CrossRef]
- Anirudhan, T.-S.; Radhakrishnan, P.-G. Improved performance of a biomaterial-based cation exchanger for the adsorption of uranium(VI) from water and nuclear industry wastewater. J. Environ. Radioactiv. 2009, 100, 250–257. [Google Scholar] [CrossRef] [PubMed]
- Saraydin, D.; Isikver, Y.; Sahiner, N. Uranyl ion binding properties of poly(hydroxamic acid) hydrogels. Polym. Bull. 2001, 47, 81–89. [Google Scholar] [CrossRef]
- Xu, C.; Wang, J.-J.; Yang, T.-L.; Chen, X.; Liu, X.-Y.; Ding, X.-C. Adsorption of uranium by amidoximated chitosan-grafted polyacrylonitrile, using response surface methodology. Carbohyd. Polym. 2015, 121, 79–85. [Google Scholar] [CrossRef] [PubMed]
- Wang, Y.; Gu, Z.-X.; Yang, J.-J.; Liao, J.-L.; Yang, Y.-Y.; Liu, N.; Tang, J. Amidoxime-grafted multiwalled carbon nanotubes by plasma techniques for efficient removal of uranium(VI). Appl. Surf. Sci. 2014, 320, 10–20. [Google Scholar] [CrossRef]
- Gajic, I.-S.; Savic, I.-M.; Nikolic, V.-D.; Nikolic, L.-B.; Popsavin, M.-M.; Kapor, A.-J. Study of the solubility, photostability and structure of inclusion complexes of carvedilol with β-cyclodextrin and (2-hydroxypropyl)-β-cyclodextrin. J. Incl. Phenom. Macrocycl. Chem. 2016, 86, 7–17. [Google Scholar] [CrossRef]
- Spulber, M.; Pinteala, M.; Harbagiu, V.; Simionescu, B.-C. Inclusion complexes of sulconazole with β-cyclodextrin and hydroxypropyl β-cyclodextrin: characterization in aqueous solution and in solid state. J. Incl. Phenom. Macrocycl. Chem. 2008, 61, 41–51. [Google Scholar] [CrossRef]
- Nomanbhay, S.-M.; Palanisamy, K. Removal of heavy metal from industrial wastewater using chitosan coated oil palm shell charcoal. Electron. J. Biotechnol. 2005, 8, 43–53. [Google Scholar] [CrossRef]
- Khaled, A.; El Nemr, A.; EI-Sikaily, A.; Abdelwahab, A. Treatment of artificial textile dye effluent containing direct yellow 12 by orange peel carbon. Desalination. 2009, 238, 210–232. [Google Scholar] [CrossRef]
- Kiriukhin, M.-Y.; Collins, K.-D. Dynamic hydration numbers for biologically important ions. Biophys. Chem. 2002, 99, 155–168. [Google Scholar] [CrossRef]
- Li, M.-M.; Gong, Y.-M.; Lyu, A.-C.; Liu, Y.-F.; Zhang, H. The applications of populus fiber in removal of Cr(VI) from aqueous solution. Appl. Surf. Sci. 2016, 383, 133–141. [Google Scholar] [CrossRef]
- Ji, G.-J.; Zhu, G.-R.; Wang, X.-H.; Wei, Y.-L.; Yuan, J.-S.; Gao, C.-J. Preparation of amidoxime functionalized SBA-15 with platelet shape and adsorption property of U(VI). Sep. Purif. Technol. 2017, 174, 455–465. [Google Scholar] [CrossRef]
- Xu, M.-Y.; Han, X.-L.; Hua, D.-B. Polyoxime-functionalized magnetic nanoparticles for uranium adsorption with high selectivity over vanadium. J. Mater. Chem. A. 2017, 5, 12278–12284. [Google Scholar] [CrossRef]
- Hara, K.; Fujiwara, S.; Fujii, T.; Yoshioka, S.; Hidaka, Y.; Okabe, H. Attempts to capturing ppb-level elements from sea water with hydrogels. Prog. Nucl. Energ. 2016, 92, 228–233. [Google Scholar] [CrossRef]
- Hazera, O.; Kartalb, S. Use of amidoximated hydrogel for removal and recovery of U(VI) ion from water samples. Talanta. 2010, 82, 1974–1979. [Google Scholar] [CrossRef] [PubMed]
- Nogamia, M.; Kimb, S.-Y.; Asanumaa, N.; Ikeda, Y. Adsorption behavior of amidoxime resin for separating actinide elements from aqueous carbonate solutions. J. Alloy. Compd. 2004, 374, 269–271. [Google Scholar] [CrossRef]
- Kavaklı, P.-A.; Seko, N.; Tamada, M.; Güven, O. Adsorption Efficiency of a New Adsorbent Towards Uranium and Vanadium Ions at Low Concentrations. Sep. Sci. Technol. 2005, 39, 163–1643. [Google Scholar] [CrossRef]
- Ortaboy, S.; Acar, E.-T.; Atun, G. Performance of acrylic monomer based terpolymer/montmorillonite nanocomposite hydrogels for U(VI) removal from aqueous solutions. Chem. Eng. Res. Des. 2013, 91, 670–680. [Google Scholar] [CrossRef]
- Pekel, N.; Guven, O. Separation of uranyl ions with amidoximated poly(acrylonitrile/N- vinylimidazole) complexing sorbents. Colloid. Surf. A Physicochem. Eng. Asp. 2003, 212, 155–161. [Google Scholar] [CrossRef]
- James, D.; Venkateswaran, G.; Rao, T.-P. Removal of uranium from mining industry feed simulant solutions using trapped amidoxime functionality within a mesoporous imprinted polymer material. Micropor. Mesopor. Mat. 2009, 119, 165–170. [Google Scholar] [CrossRef]
- Chen, C.-L.; Wang, X.-K.; Nagatsu, M. Europium adsorption on multiwall carbon nanotube/iron oxide magnetic composite in the presence of polyacrylic acid. Environ. Sci. Technol. 2009, 43, 2362–2367. [Google Scholar] [CrossRef] [PubMed]
- Chen, H.; Shao, D.-D.; Li, J.-X.; Wang, X.-K. The uptake of radionuclides from aqueous solution by poly(amidoxime) modified reduced graphene oxide. Chem. Eng. J. 2014, 254, 623–634. [Google Scholar] [CrossRef]
- Piechowicz, M.; Abney, C.-W.; Thacker, N.-C.; Gilhula, J.-C.; Wang, Y.-F.; Veroneau, S.; Hu, A.-G.; Lin, W.-B. Successful coupling of a bis-amidoxime uranophile with a hydrophilic backbone for selective uranium sequestration. Appl. Mater. Inter. 2017, 9, 27894–27904. [Google Scholar] [CrossRef] [PubMed]
- Duan, G.-J.; Zhong, Q.-Q.; Bi, L.; Yang, L.; Liu, T.-H.; Shi, X.-N.; Wu, W.-S. The poly(acrylonitr ule-co-acrylic acid)-graft-β-cyclodextrin hydrogel for thorium(IV) adsorption. Polym. 2017, 9, 201. [Google Scholar] [CrossRef]
















| Monomers | NUM | Raw Ratio of Monomers | N% | C% | H% | O% |
|---|---|---|---|---|---|---|
| n(β-CD:MA:AN) | 1# | 1:5:5 | 14.32 | 54.23 | 5.74 | 25.71 |
| 2# | 1:10:10 | 15.76 | 54.07 | 6.31 | 23.86 | |
| 3# | 1:18:18 | 16.67 | 53.6 | 4.98 | 24.75 | |
| 4# | 1:36:36 | 18.53 | 58.39 | 5.21 | 17.87 | |
| n(β-CD:MA:AO) | 1# | 1:5:5 | 17.29 | 54.07 | 6.04 | 22.6 |
| 2# | 1:10:10 | 19.76 | 43.4 | 6.27 | 30.57 | |
| 3# | 1:18:18 | 21.15 | 41.3 | 6.17 | 31.38 | |
| 4# | 1:36:36 | 22.21 | 39.65 | 6.03 | 32.11 |
| Monomers | Raw Ratio of Monomers | BET Surface Area | Single Point Surface Area at P/P0 = 0.300 |
|---|---|---|---|
| β-CD | 2.4588 | 2.8855 | |
| n(β-CD:MA:AO) | 1:5:5 1:10:10 1:18:18 | 23.3925 | 23.9196 |
| 15.5680 | 15.9803 | ||
| 3.9038 | 3.8917 | ||
| 1:36:36 | 3.6021 | 3.3053 |
| Model | Adsorption Isotherm Equation | Symbol | Symbol Description |
|---|---|---|---|
| Langmuir | qe | Equilibrium adsorption capacity | |
| qmax (g/g) | Theoretical saturation adsorption capacity | ||
| Ce (mol/L) | The equilibrium concentration of U(VI) | ||
| b (L/mol) | Langmuir constant | ||
| Freundlich | ln qe = ln kf +1/n ln Ce | kf (g1/n/g·Ln) | Freundlich constant |
| n | |||
| D-R | ln qe = ln qmax – βε2 ε = RT ln(1 + 1/Ce) | β (mol2/kJ) | Average adsorption freee nergy activity coefficient |
| ε | Polanyi potential | ||
| R | Gas constant, 8.314 J/(K mol) | ||
| T (K) | Temperature | ||
| E (kJ/mol) | Adsorption energy |
| Adsorbent | pH | Equilibrium Time | Isotherm Model | Adsorption Capacity (mg/L) | Reference |
|---|---|---|---|---|---|
| β-CD-g-(MAH-co-AO) copolymer | 4.0 | 50 min | Langmuir | 747 | |
| amidoximated hydrogel | 3.0 | ~400 min | Langmuir | 39.5 | [38] |
| Amidoxime-grafted multiwalled carbon nanotubes | 4.5 | ~60 min | Langmuir | 145 | [28] |
| Acrylonitrile (AN)–divinylbenzene (DVB)–methylacrylate (MA) resin | 5.0 | 40 min | - | 350 | [39] |
| Amidoximated nonwoven fabric adsorbent | - | 120 min | - | 1.61 | [40] |
| Acrylic monomer based terpolymer/Montmorillonite nanocomposite hydrogels | 6.0 | - | Langmuir | 171 | [41] |
| Amidoximated poly(acrylonitrile/N-vinylimidazole) complexing sorbents | 4.0 | - | Langmuir | 640 | [42] |
| Amidoxime functional mesoporous imprinted polymer material | 8.0 | 25 min | - | 19.04 | [43] |
| Temperature (K) | ΔG0 (kJ/mol) | ΔS0 (J/mol K) | ΔH0 (J/mol) |
|---|---|---|---|
| 298.15 | −5.27 | 18.38 | 222.10 |
| 318.15 | −5.63 | ||
| 338.15 | −5.99 |
© 2018 by the authors. Licensee MDPI, Basel, Switzerland. This article is an open access article distributed under the terms and conditions of the Creative Commons Attribution (CC BY) license (http://creativecommons.org/licenses/by/4.0/).
Share and Cite
Yang, L.; Bi, L.; Lei, Z.; Miao, Y.; Li, B.; Liu, T.; Wu, W. RETRACTED: Preparation of Amidoxime-Functionalized β-Cyclodextrin-Graft-(Maleic Anhydride-co-Acrylonitrule) Copolymer and Evaluation of the Adsorption and Regeneration Properties of Uranium. Polymers 2018, 10, 236. https://doi.org/10.3390/polym10030236
Yang L, Bi L, Lei Z, Miao Y, Li B, Liu T, Wu W. RETRACTED: Preparation of Amidoxime-Functionalized β-Cyclodextrin-Graft-(Maleic Anhydride-co-Acrylonitrule) Copolymer and Evaluation of the Adsorption and Regeneration Properties of Uranium. Polymers. 2018; 10(3):236. https://doi.org/10.3390/polym10030236
Chicago/Turabian StyleYang, Liu, Lei Bi, Zhiwei Lei, Yu Miao, Bolin Li, Tonghuan Liu, and Wangsuo Wu. 2018. "RETRACTED: Preparation of Amidoxime-Functionalized β-Cyclodextrin-Graft-(Maleic Anhydride-co-Acrylonitrule) Copolymer and Evaluation of the Adsorption and Regeneration Properties of Uranium" Polymers 10, no. 3: 236. https://doi.org/10.3390/polym10030236
APA StyleYang, L., Bi, L., Lei, Z., Miao, Y., Li, B., Liu, T., & Wu, W. (2018). RETRACTED: Preparation of Amidoxime-Functionalized β-Cyclodextrin-Graft-(Maleic Anhydride-co-Acrylonitrule) Copolymer and Evaluation of the Adsorption and Regeneration Properties of Uranium. Polymers, 10(3), 236. https://doi.org/10.3390/polym10030236
