Adsorption of Anionic Polyacrylamide onto Coal and Kaolinite Calculated from the Extended DLVO Theory Using the van Oss-Chaudhury-Good Theory
Abstract
:1. Introduction
2. Experimental
2.1. Materials
2.2. Methods
2.2.1. Washburn Dynamic Method
2.2.2. Zeta Potential Measurement
3. Results and Discussion
3.1. Components of the Surface Free Energy
3.2. The Extended DLVO Theory and Calculation of the Relevant Parameters
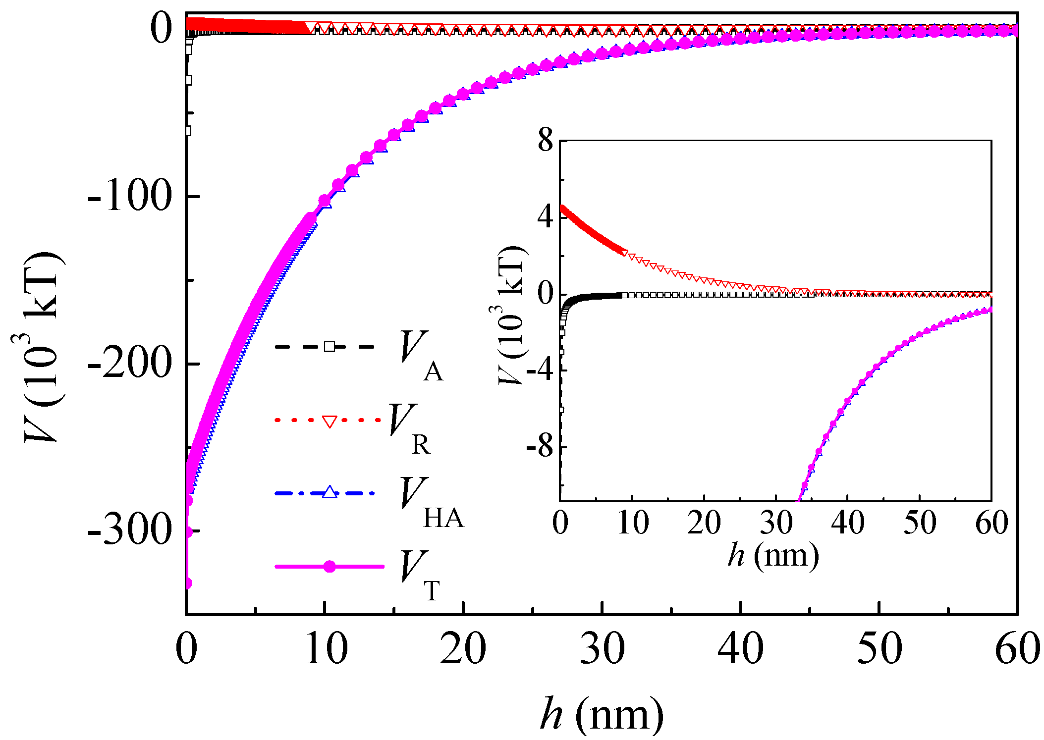
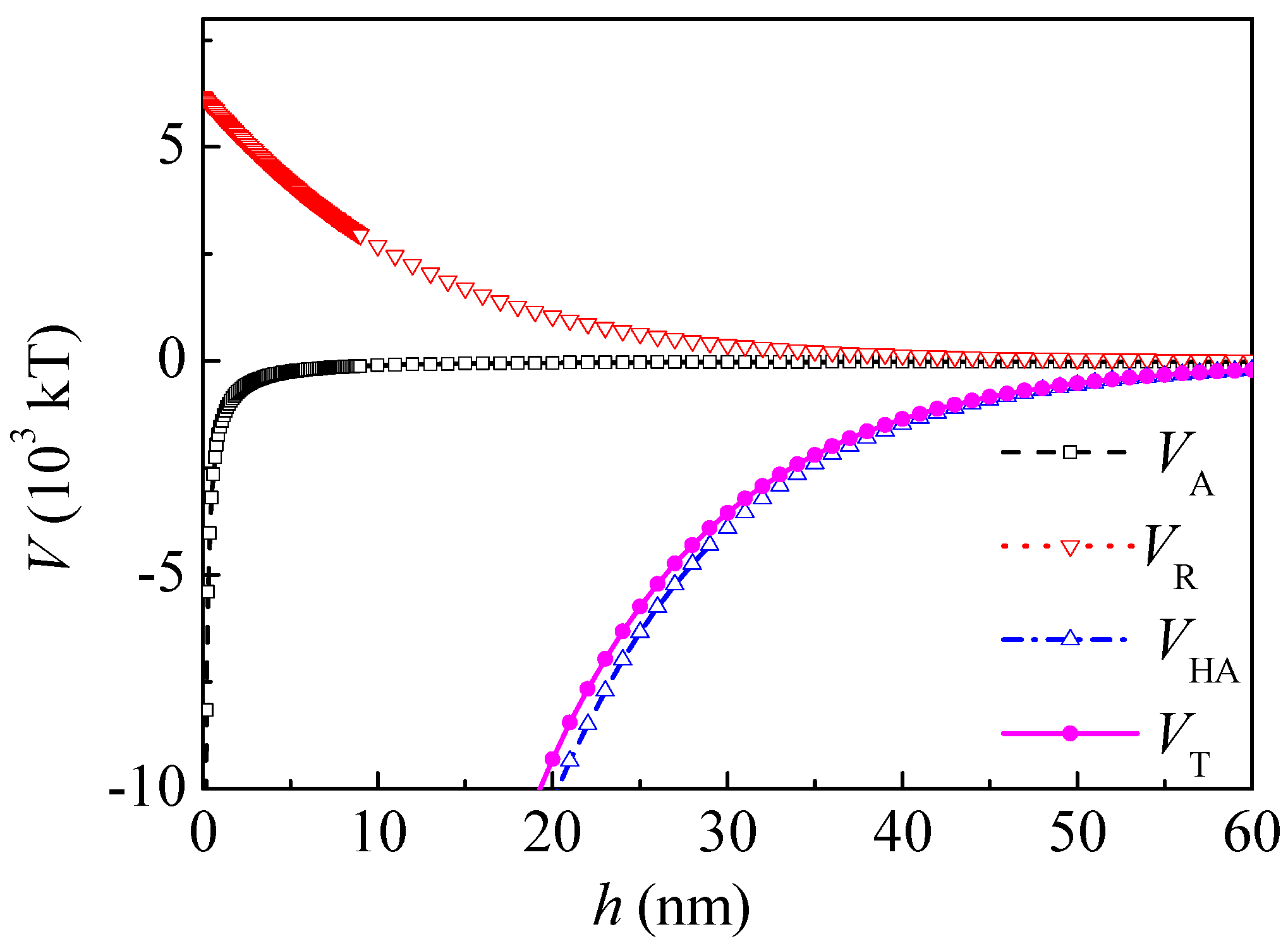
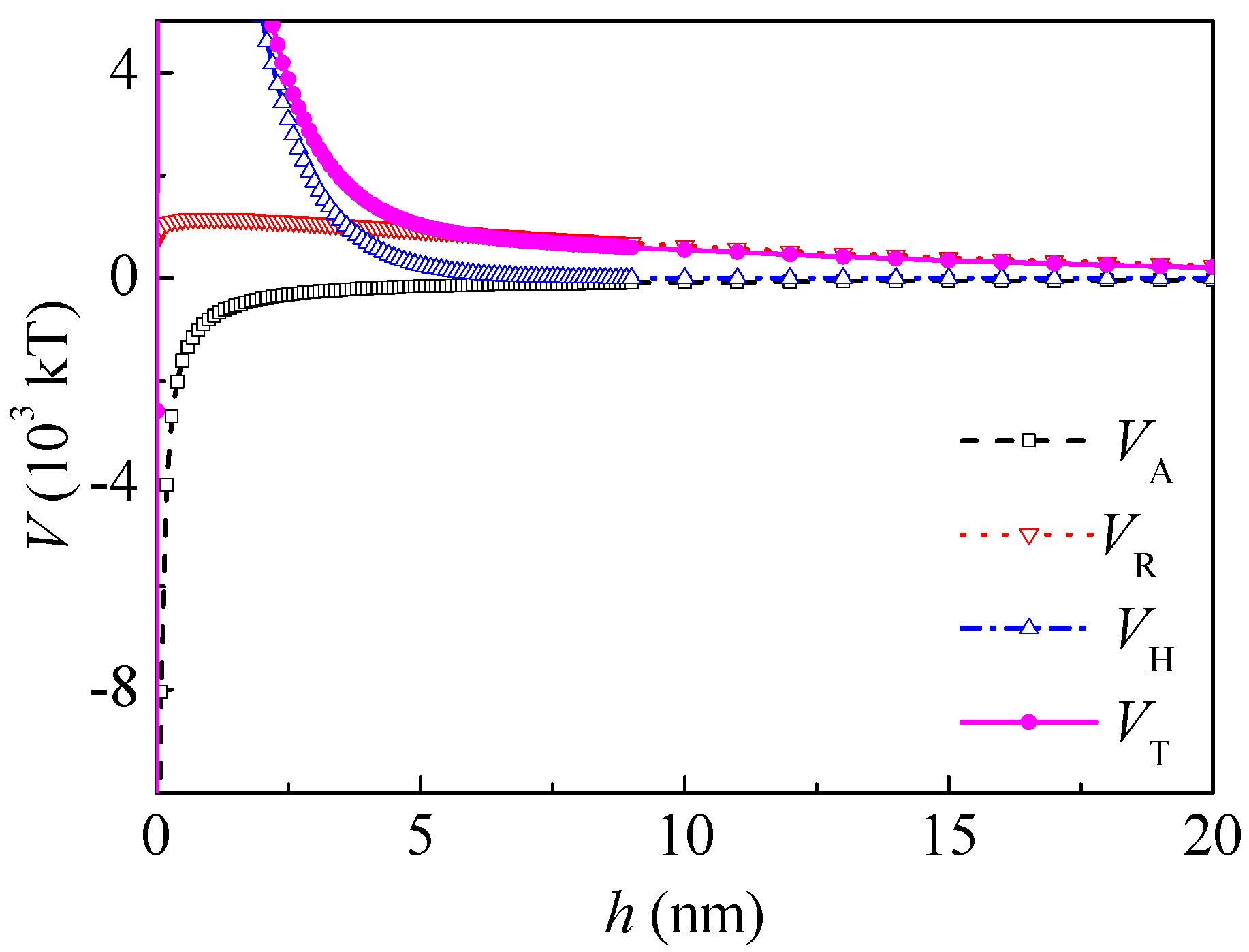
3.3. Calculation of the Interaction Energies
4. Summary and Conclusions
Acknowledgments
Author Contributions
Conflicts of Interest
References
- Moody, G. The Use of Polyacrylamides in Mineral Processing. Miner. Eng. 1992, 5, 479–492. [Google Scholar] [CrossRef]
- Mathur, S.; Singh, P.; Moudgil, B.M. Advances in Selective Flocculation Technology for Solid-solid Separations. Int. J. Miner. Process. 2000, 58, 201–222. [Google Scholar] [CrossRef]
- Soto, H.; Barbery, G. Separation of Fine Particles by Floc Flotation. In Production and Processing of Fine Particles, Proceedings of the International Symposium on the Production and Processing of Fine Particles, Montreal, QC, Canada, 28–31 August 1988; Elsevier: Amsterdam, The Netherlands, 2013; pp. 297–308. [Google Scholar]
- Xu, Z.; Liu, J.; Choung, J.W.; Zhou, Z. Electrokinetic study of clay interactions with coal in flotation. Int. J. Miner. Process. 2003, 68, 183–196. [Google Scholar] [CrossRef]
- Zbik, M.S.; Smart, R.S.C.; Morris, G.E. Kaolinite Flocculation Structure. J. Colloid Interface Sci. 2008, 328, 73–80. [Google Scholar] [CrossRef] [PubMed]
- Nasser, M.S.; James, A.E. Effect of Polyacrylamide Polymers on Floc Size and Rheological Behaviour of Kaolinite Suspensions. Colloids Surf. A Physicochem. Eng. Asp. 2007, 301, 311–322. [Google Scholar] [CrossRef]
- Sabah, E.; Erkan, Z.E. Interaction Mechanism of Flocculants with Coal Waste Slurry. Fuel 2006, 85, 350–359. [Google Scholar] [CrossRef]
- Hogg, R. Flocculation Problems in the Coal Industry. Fine Part. Process. 1980, 2, 990–999. [Google Scholar]
- Spencer, L.; Brookes, G.F. Polyacrylamides and the Selective Flocculation of Coal/Shale Mixtures. Coal Prep. 1987, 4, 133–159. [Google Scholar] [CrossRef]
- Nasser, M.S.; James, A.E. The Effect of Polyacrylamide Charge Density and Molecular Weight on the Flocculation and Sedimentation Behaviour of Kaolinite Suspensions. Sep. Purif. Technol. 2006, 52, 241–252. [Google Scholar] [CrossRef]
- Parolis, L.; Groenmeyer, G.; Harris, P. Equilibrium Adsorption Studies of Polysaccharides on Talc: The Effects of Molecular Weight and Charge and the Influence of Metal Cations. Miner. Metall. Proc. 2005, 22, 12–16. [Google Scholar]
- Sedeva, I.G.; Fornasiero, D.; Ralston, J.; Beattie, D.A. Reduction of Surface Hydrophobicity Using a Stimulus-Responsive Polysaccharide. Langmuir 2010, 26, 15865–15874. [Google Scholar] [CrossRef] [PubMed]
- Ding, K.J.; Laskowski, J.S. Effect of Conditioning on Selective Flocculation with Polyacrylamide in the Coal Reverse Flotation. Miner. Process. Extr. Met. 2007, 116, 108–114. [Google Scholar] [CrossRef]
- Zou, W.J.; Yu, C.Q.; Sun, C.B. Selective Adsorption of Anionic Polyacrylamide onto Ultra-Low Ash Coal and Kaolinite. Physicochem. Probl. Min. 2015, 52, 738–753. [Google Scholar]
- Zou, W.; Cao, Y.; Sun, C. Adsorption of Anionic Polyacrylamide onto Coal and Kaolinite: Changes of Surface Free Energy Components. Part. Sci. Technol. 2016, 35, 233–238. [Google Scholar] [CrossRef]
- Honaker, R.Q.; Yoon, R.H.; Luttrell, G.H. Ultrafine Coal Cleaning Using Selective Hydrophobic Coagulation. Coal Prep. 2005, 25, 81–97. [Google Scholar] [CrossRef]
- Farahat, M.; Hirajima, T.; Sasaki, K. Adhesion of Ferroplasma Acidiphilum onto Pyrite Calculated from the Extended DLVO Theory Using the van Oss–Good–Chaudhury Approach. J. Colloid Interface Sci. 2010, 349, 594–601. [Google Scholar] [CrossRef] [PubMed]
- Piñeres, J.; Barraza, J. Energy Barrier of Aggregates Coal Particle–Bubble through the Extended DLVO Theory. Int. J. Miner. Process. 2011, 100, 14–20. [Google Scholar] [CrossRef]
- Van Oss, C.J.; Good, R.J.; Chaudhury, M.K. The Role of Van Der Waals Forces and Hydrogen Bonds in “Hydrophobic Interactions” between Biopolymers and Low Energy Surfaces. J. Colloid Interface Sci. 1986, 111, 378–390. [Google Scholar] [CrossRef]
- Van Oss, C.J.; Good, R.J.; Chaudhury, M.K. Additive and Nonadditive Surface Tension Components and the Interpretation of Contact Angles. Langmuir 1988, 4, 884–891. [Google Scholar] [CrossRef]
- Zou, W.J.; Cao, Y.J.; Li, W.N.; Liu, J.T.; Wang, Y.T. Selective Flocculation of Coal and Kaolinite. J. China Coal Soc. 2013, 38, 1148–1453. [Google Scholar]
- Peng, F.F. Surface Energy and Induction Time of Fine Coals Treated with Various Levels of Dispersed Collector and Their Correlation to Flotation Responses. Energy Fuels 1996, 10, 1202–1207. [Google Scholar] [CrossRef]
- Wang, H.; Guo, C.; Fu, J.G.; He, Z.X.; Liang, W.; Chen, X.L.; Zhuang, C.H. Adsorption Behavior of Weak Hydrophilic Substances on Low-Energy Surface in Aqueous Medium. Appl. Surf. Sci. 2011, 257, 7959–7967. [Google Scholar]
- Zhang, Z.J.; Liu, J.T.; Feng, L.; Wang, Y.T.; Zhang, M.Q. Calculation of Critical Hardness Of Coal Slime Water System Based on DLVO Theory. J. China Univ. Min. Technol. 2014, 43, 120–125. [Google Scholar]
- Xu, Z.; Yoon, R.H. A Study of Hydrophobic Coagulation. J. Colloid Interface Sci. 1990, 134, 427–434. [Google Scholar] [CrossRef]
- Verwey, E.J.W.; Overbeek, J.T.G. Theory of the Stability of Lyophobic Colloids. J. Phys. Chem. 1955, 10, 224–225. [Google Scholar] [CrossRef]
- Van Oss, C.J.; Omenyi, S.N.; Neumann, A.W. Negative Hamaker Coefficients. Colloid Polym. Sci. 1979, 257, 737–744. [Google Scholar] [CrossRef]
- Van Oss, C.J.; Absolom, D.R.; Neumann, A.W. The “hydrophobic effect”: Essentially a Van der Waals Interaction. Colloid Polym. Sci. 1980, 258, 424–427. [Google Scholar] [CrossRef]
- Somasundaran, P.; Runkana, V. Investigation of the Flocculation of Colloidal Suspensions by Controlling Adsorbed Layer Microstructure and Population Balance Modelling. Chem. Eng. Res. Des. 2005, 83, 905–914. [Google Scholar] [CrossRef]







| Chemical Composition | Al2O3 | SiO2 | Fe2O3 | CaO | MgO | Na2O | K2O | Ti2O | P2O5 |
|---|---|---|---|---|---|---|---|---|---|
| Content (%) | 45.84 | 46.53 | 0.31 | 0.16 | 0.068 | 0.23 | 1.09 | 0.86 | 0.16 |
| Sample | n-Hexane | α-Bromonaphthalene | Formamide | Deionized Water |
|---|---|---|---|---|
| Contact Angle θ (°) | ||||
| Coal | 0 | 40.80 | 63.92 | 82.90 |
| Kaolinite | 43.76 | 0.17 | 9.28 | 0 |
| Coal adsorbed PAM A401 (12 mg/L) | 0 | 44.60 | 58.35 | 76.30 |
| Kaolinite adsorbed PAM A401 (12 mg/L) | 33.99 | 0 | 18.49 | 14.76 |
| Samples | |||||
|---|---|---|---|---|---|
| Coal | 32.28 | 0.62 | 23.46 | 7.64 | 39.92 |
| Kaolinite | 44.40 | 0.39 | 58.27 | 9.53 | 53.93 |
| Coal after adsorption | 30.54 | 0.98 | 24.93 | 9.89 | 40.43 |
| Kaolinite after adsorption | 44.40 | 0.32 | 55.05 | 8.34 | 52.74 |
| Material | A (kT) |
|---|---|
| air | 0 |
| water | 8.98 |
| coal | 14.73 |
| kaolinite | 75.24 |
| PAM [29] | 19.42 |
| Particle 1 | Medium 3 | Material 2 | Hamaker Constant (kT) |
|---|---|---|---|
| coal | water | air | −2.55 |
| coal | water | coal | 0.73 |
| coal | water | kaolinite | 4.83 |
| kaolinite | water | air | −17.01 |
| kaolinite | water | kaolinite | 32.23 |
| Sample | Zeta Potential (mV) | |
|---|---|---|
| Before Adsorption | After Adsorption | |
| Coal | −20 ± 0.62 | −29 ± 0.67 |
| Kaolinite | −45 ± 0.76 | -- |
© 2018 by the authors. Licensee MDPI, Basel, Switzerland. This article is an open access article distributed under the terms and conditions of the Creative Commons Attribution (CC BY) license (http://creativecommons.org/licenses/by/4.0/).
Share and Cite
Zou, W.; Zhao, J.; Sun, C. Adsorption of Anionic Polyacrylamide onto Coal and Kaolinite Calculated from the Extended DLVO Theory Using the van Oss-Chaudhury-Good Theory. Polymers 2018, 10, 113. https://doi.org/10.3390/polym10020113
Zou W, Zhao J, Sun C. Adsorption of Anionic Polyacrylamide onto Coal and Kaolinite Calculated from the Extended DLVO Theory Using the van Oss-Chaudhury-Good Theory. Polymers. 2018; 10(2):113. https://doi.org/10.3390/polym10020113
Chicago/Turabian StyleZou, Wenjie, Jinglin Zhao, and Chunbao Sun. 2018. "Adsorption of Anionic Polyacrylamide onto Coal and Kaolinite Calculated from the Extended DLVO Theory Using the van Oss-Chaudhury-Good Theory" Polymers 10, no. 2: 113. https://doi.org/10.3390/polym10020113
APA StyleZou, W., Zhao, J., & Sun, C. (2018). Adsorption of Anionic Polyacrylamide onto Coal and Kaolinite Calculated from the Extended DLVO Theory Using the van Oss-Chaudhury-Good Theory. Polymers, 10(2), 113. https://doi.org/10.3390/polym10020113

