Hybrid Materials Based on l,d-Poly(lactic acid) and Single-Walled Carbon Nanotubes as Flexible Substrate for Organic Devices †
Abstract
1. Introduction
2. Experimental
2.1. Materials
Preparation of l,d-PLA:SWCN Hybrid Materials
2.2. Characterization Methods
3. Results and Discussion
3.1. DSC Measurements and Texture Observations before and after Mechanical Deformation
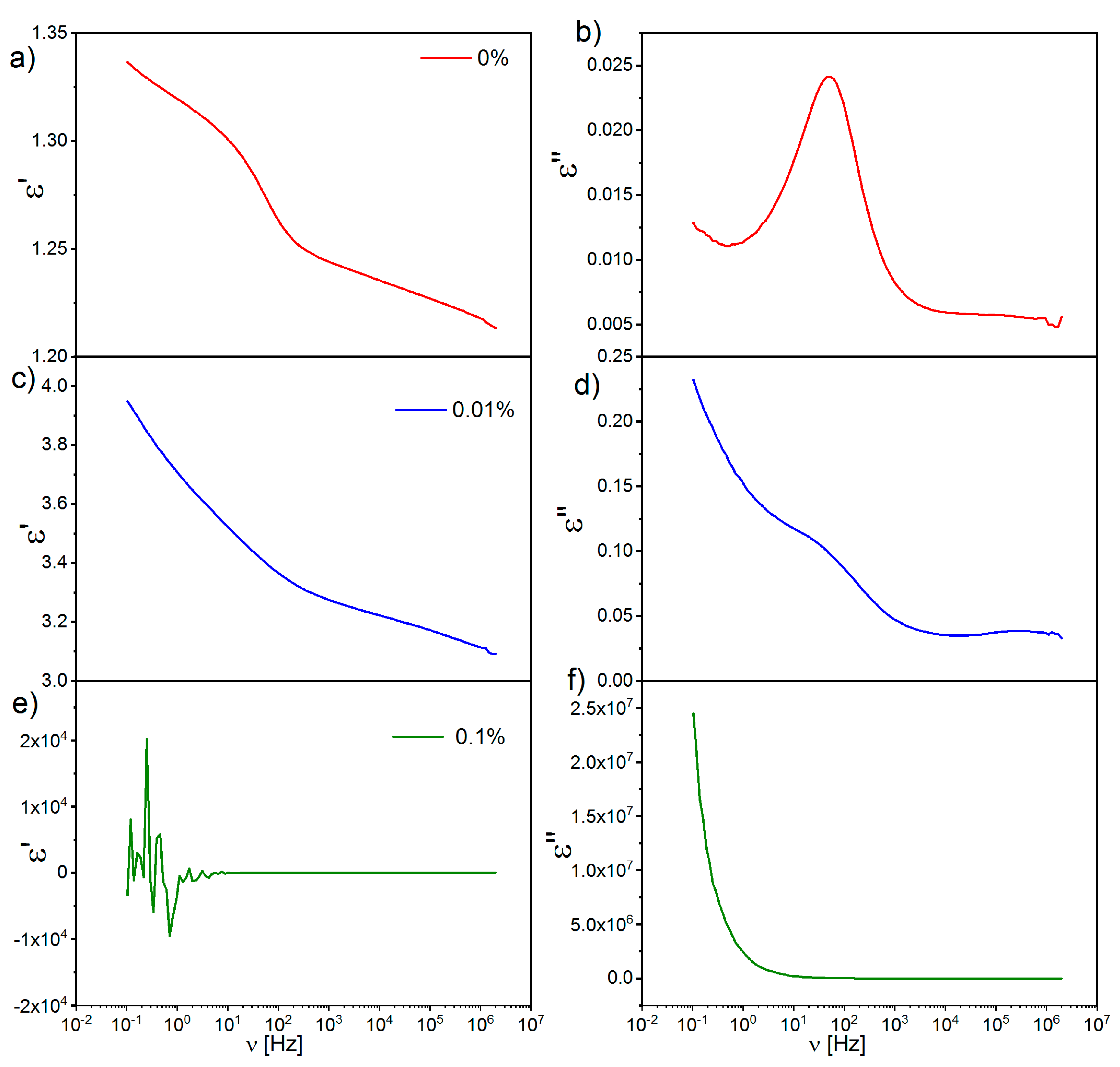
3.2. Conductivity of Hybrid Films
3.3. Thermal Images of l,d-PLA with SWCN before and after Bending
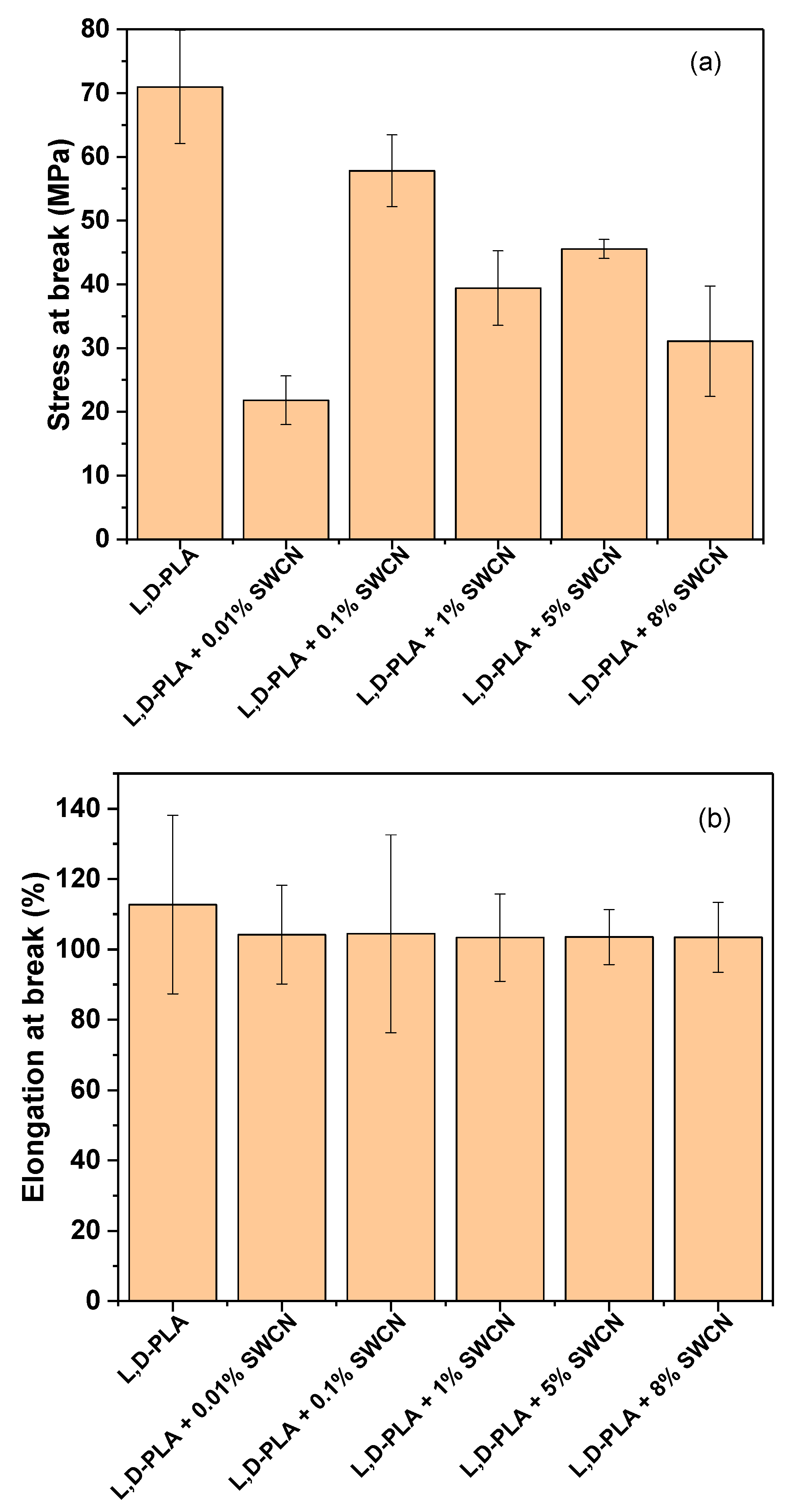
3.4. Mechanical Properties of l,d-PLA with SWCN
3.5. Changes in the Chemical Structures of l,d-PLA by SWCN Studied by FT-IR
3.6. Changes in the Chemical Structures of l,d-PLA by SWCN Studied by 1H NMR
4. Conclusions
- ✓
- Optimize technique used for creating hybrid films based on l,d-PLA/SWCN.
- ✓
- Construct organic solar cells using our best l,d-PLA/SWCN films as translucent electrodes.
- ✓
- Introduce l,d-PLA as a flexible, green substrate to build organic solar cells with biodegradable properties.
Author Contributions
Funding
Acknowledgments
Conflicts of Interest
References
- Bundgaard, E.; Krebs, F.C. Low band gap polymers for organic photovoltaics. Sol. Energy Mater. Sol. Cells 2007, 91, 954–985. [Google Scholar] [CrossRef]
- Günes, S.; Neugebauer, H.; Sariciftci, N.S. Conjugated polymer-based organic solar cells. Chem. Rev. 2007, 107, 1324–1338. [Google Scholar] [CrossRef] [PubMed]
- Zhan, X.; Zhu, D. Conjugated polymers for high-efficiency organic photovoltaics. Polym. Chem. 2010, 1, 409–419. [Google Scholar] [CrossRef]
- Jayawardena, K.D.G.I.; Rozanski, L.J.; Mills, C.A.; Beliatis, M.J.; Nismy, N.A.; Silva, S.R.P. Inorganics-in-organics: Recent developments and outlook for 4G polymer solar cells. Nanoscale 2013, 5, 8411–8427. [Google Scholar] [CrossRef] [PubMed]
- Cai, W.; Gong, X.; Cao, Y. Polymer solar cells: Recent development and possible routes for improvement in the performance. Sol. Energy Mater. Sol. Cells 2010, 94, 114–127. [Google Scholar] [CrossRef]
- Li, Y. Molecular design of photovoltaic materials for polymer solar cells: Towards suitable electronic energy levels and broad absorption. Acc. Chem. Res. 2012, 45, 723–733. [Google Scholar] [CrossRef] [PubMed]
- Kesters, J.; Kudret, S.; Bertho, S.; van den Brande, N.; Defour, M.; van Mele, B.; Penxten, H.; Lutsen, L.; Manca, J.; Vanderzande, D.; et al. Enhanced intrinsic stability of the bulk heterojunction active layer blend of polymer solar cells by varying the polymer side chain pattern. Org. Electr. 2014, 15, 549–562. [Google Scholar] [CrossRef]
- Chen, L.M.; Hong, Z.; Li, G.; Yang, Y. Recent progress in polymer solar cells: Manipulation of polymer:fullerene morphology and the formation of efficient inverted polymer solar cells. Adv. Mater. 2009, 21, 1434–1449. [Google Scholar] [CrossRef]
- Venkataraman, D.; Yurt, S.; Venkatraman, B.H.; Gavvalapalli, N. Role of molecular architecture in organic photovoltaic cells. J. Phys. Chem. Lett. 2010, 1, 947–958. [Google Scholar] [CrossRef]
- Chen, J.T.; Hsu, C.S. Conjugated polymer nanostructures for organic solar cell applications. Polym. Chem. 2011, 2, 2707–2722. [Google Scholar] [CrossRef]
- Dennler, G.; Scharber, M.C.; Brabec, C.J. Polymer-fullerene bulk-heterojunction solar cells. Adv. Mater. 2009, 21, 1323–1338. [Google Scholar] [CrossRef]
- Nunzi, J.M. Organic photovoltaic materials and devices. C. R. Phys. 2002, 3, 523–542. [Google Scholar] [CrossRef]
- Scharber, M.C.; Sariciftci, N.S. Efficient of bulk-heterojunction organic solar cells. Prog. Polym. Sci. 2013, 38, 1929–1940. [Google Scholar] [CrossRef] [PubMed]
- Notarianni, M.; Vernon, K.; Chou, A.; Aljada, M.; Liu, J.; Motta, N. Plasmonic effect of gold nanoparticles in organic solar cells. Sol. Energy 2014, 106, 23–37. [Google Scholar] [CrossRef]
- Zhou, H.; Yang, L.; You, W. Rational design of high performance conjugated polymers for organic solar cells. Macromolecules 2012, 45, 607–632. [Google Scholar] [CrossRef]
- Iwan, A.; Chuchmała, A. Perspectives of Applied Graphene: Polymer Solar Cells. Prog. Polym. Sci. 2012, 37, 1805–1828. [Google Scholar] [CrossRef]
- Krebs, F.C.; Jørgensen, M.; Norrman, K.; Hagemann, O.; Alstrup, J.; Nielsen, D.; Fyenbo, J.; Larsen, K.; Kristensen, J. A complete process for production of flexible large area polymer solar cells entirely using screen printing—First public demonstration. Sol. Energy Mater. Sol. Cells 2009, 93, 422–441. [Google Scholar] [CrossRef]
- Krebs, F.C.; Gevorgyan, S.A.; Alstrup, J. A roll-to-roll process to flexible polymer solar cells: Model studies, manufacture and operational stability studies. J. Mater. Chem. 2009, 19, 5442–5451. [Google Scholar] [CrossRef]
- Kaltenbrunner, M.; White, M.S.; Glowacki, E.D.; Sekitani, T.; Someya, T.; Sariciftci, N.S.; Bauer, S. Ultrathin and lightweight organic solar cells with high flexibility. Nat. Commun. 2012, 3, 770. [Google Scholar] [CrossRef] [PubMed]
- Kopola, P.; Aernouts, T.; Sliz, R.; Guillerez, S.; Ylikunnari, M.; Cheyns, D.; Valimaki, M.; Tuomikoski, M.; Hast, J.; Jabbour, G.; et al. Gravure printed flexible organic photovoltaic modules. Sol. Energy Mater. Sol. Cells 2011, 95, 1344–1347. [Google Scholar] [CrossRef]
- Kopola, P.; Zimmermann, B.; Filipovic, A.; Schleiermacher, H.; Greulich, J.; Rousu, S.; Hast, J.; Myllyla, R.; Wurfel, U. Aerosol jet printed grid for ITO-free inverted organic solar cells. Sol. Energy Mater. Sol. Cells 2012, 107, 252–258. [Google Scholar] [CrossRef]
- Lim, J.-V.; Cho, D.-Y.; Kim, J.; Na, S.-I.; Kim, H.-K. Simple brush-painting of flexible and transparent Ag nanowire network electrodes as an alternative ITO anode for cost-efficient flexible organic solar cells. Sol. Energy Mater. Sol. Cells 2012, 107, 348–354. [Google Scholar] [CrossRef]
- Gong, S.C.; Jang, S.K.; Ryu, S.O.; Jeon, H.; Park, H.-H.; Chang, H.J. Post annealing effect of flexible polymer solar cells to improve their electrical properties. Curr. Appl. Phys. 2010, 10, 192–196. [Google Scholar] [CrossRef]
- Lee, B.J.; Kim, H.J.; Jeong, W.-I.; Kim, J.-J. A transparent conducting oxide as an efficient middle electrode for flexible organic tandem solar cells. Sol. Energy Mater. Sol. Cells 2010, 94, 542–546. [Google Scholar]
- Galagan, Y.; Rubingh, J-.J.M.; Andriessen, R.; Fan, C.-C.; Blom, P.W.M.; Veenstra, S.C.; Kroon, J.M. ITO-free flexible organic solar cells with printed current collecting grids. Sol. Energy Mater. Sol. Cells 2011, 95, 1339–1343. [Google Scholar] [CrossRef]
- Bedeloglu, A.; Demir, A.; Bozkurt, Y.; Sariciftci, N.S. A flexible textile structure based on polymeric photovoltaics using transparent cathode. Synth. Met. 2009, 159, 2043–2048. [Google Scholar] [CrossRef]
- Angmo, D.; Krebs, F.C. Flexible ITO-free polymer solar cells. J. Appl. Polym. Sci. 2013, 129, 1–14. [Google Scholar] [CrossRef]
- De Arco, L.G.; Zhang, Y.; Schlenker, C.W.; Ryu, K.; Thompson, M.E.; Zhou, C. Continuous, highly flexible, and transparent graphene films by chemical vapor deposition for organic photovoltaics. ACS Nano 2010, 4, 2865–2873. [Google Scholar] [CrossRef] [PubMed]
- Lee, S.-K.; Rana, K.; Ahn, J.-H. Graphene films for flexible organic and energy storage devices. J. Phys. Chem. Lett. 2013, 4, 831–841. [Google Scholar] [CrossRef] [PubMed]
- Park, H.; Rowehl, J.A.; Kim, K.K.; Bulovic, V.; Kong, J. Doped graphene electrodes for organic solar cells. Nanotechnology 2010, 21, 505204. [Google Scholar] [CrossRef] [PubMed]
- Yin, Z.; Sun, S.; Salim, T.; Wu, S.; Huang, X.; He, Q.; Lam, Y.M.; Zhang, H. Organic photovoltaic devices using highly flexible reduced graphene oxide films as transparent electrodes. ACS Nano 2010, 4, 5263–5268. [Google Scholar] [CrossRef] [PubMed]
- Lee, S.; Yeo, J.-S.; Ji, Y.; Cho, C.; Kim, D.-Y.; Na, S.-I.; Lee, B.H.; Lee, T. Flexible organic solar cells composed of P3HT:PCBM using chemically doped graphene electrodes. Nanotechnology 2012, 23, 344013. [Google Scholar] [CrossRef] [PubMed]
- Iwan, A.; Tazbir, I.; Sibiński, M.; Boharewicz, B.; Pasciak, G.; Schab-Balcerzak, E. Optical, electrical and mechanical properties of indium tin oxide on polyethylene terephthalate substrates: Application in bulk-heterojunction polymer solar cells. Mater. Sci. Semicond. Process. 2014, 24, 110–116. [Google Scholar] [CrossRef]
- Chen, F.C.; Chien, S.C. Nanoscale functional interlayers formed through spontaneous vertical phase separation in polymer photovoltaic devices. J. Mater. Chem. 2009, 19, 6865–6869. [Google Scholar] [CrossRef]
- Iwan, A.; Caballero-Briones, F.; Bogdanowicz, K.A.; Barceinas-Sánchez, J.D.O.; Przybyl, W.; Januszko, A.; Baron-Miranda, J.A.; Espinosa-Ramirez, A.P.; Guerrero-Contreras, J. Optical and electrical properties of graphene oxide and reduced graphene oxide films deposited onto glass and Ecoflex® substrates towards organic solar cells. Adv. Mater. Lett. 2018, 9, 58–65. [Google Scholar] [CrossRef]
- Muller, J.; González-Martínez, C.; Chiralt, A. Combination of Poly(lactic) Acid and Starch for Biodegradable Food Packaging. Materials 2017, 10, 952. [Google Scholar] [CrossRef] [PubMed]
- Gonçalves, C.; Gonçalves, I.C.; Magalhães, F.D.; Pinto, A.M. Poly(lactic acid) composites containing carbon-based nanomaterials: A review. Polymers 2017, 9, 269. [Google Scholar] [CrossRef]
- Jamshidian, M.; Tehrany, E.A.; Imran, M.; Jacquot, M.; Desobry, S. Poly-lactic acid: Production, applications, nanocomposites, and release studies. Compr. Rev. Food Sci. Food Saf. 2010, 9, 552–571. [Google Scholar] [CrossRef]
- Strange, M.; Plackett, D.; Kaasgaard, M.; Krebs, F.C. Biodegradable polymer solar cells. Sol. Energy Mater. Sol. Cells 2008, 92, 805–813. [Google Scholar] [CrossRef]
- Singh, R.; Bhattacharya, B.; Rhee, H.-W.; Singh, P.K. New biodegradable polymer electrolyte for dye sensitized solar cell. Int. J. Electrochem. Sci. 2014, 9, 2620–2630. [Google Scholar]
- Zhou, Y.; Fuentes-Hernandez, C.; Khan, T.M.; Liu, J.-C.; Hsu, J.; Shim, J.W.; Dindar, A.; Youngblood, J.P.; Moon, R.J.; Kippelen, B. Recyclable organic solar cells on cellulose nanocrystal substrates. Sci. Rep. 2013, 3, 1536. [Google Scholar] [CrossRef] [PubMed]
- Lu, S.; Sun, Y.; Ren, K.; Liu, K.; Wang, Z.; Qu, S. Recent development in ITO-free flexible polymer solar cells. Polymers 2018, 10, 5. [Google Scholar] [CrossRef]
- Du, J.; Pei, S.; Ma, L.; Cheng, H.M. 25th anniversary article: Carbon nanotube- and graphene-based transparent conductive films for optoelectronic devices. Adv. Mater. 2014, 26, 1958–1991. [Google Scholar] [CrossRef] [PubMed]
- Calogero, G.; Bonaccorso, F.; Marago, O.M.; Gucciardi, P.G.; di Marco, G. Single wall carbon nanotubes deposited on stainless steel sheet substrates as novel counter electrodes for ruthenium polypyridine based dye sensitized solar cells. Dalton Trans. 2010, 39, 2903–2909. [Google Scholar] [CrossRef] [PubMed]
- Husmann, S.; Zarbin, A.J.G. Multifunctional carbon nanotubes/ruthenium purple thin films: Preparation, characterization and study of application as sensors and electrochromic materials. Dalton Trans. 2015, 44, 5985–5995. [Google Scholar] [CrossRef] [PubMed]
- Oka, S.; Ozawa, H.; Yoshikawa, K.; Ikeda, T.; Haga, M. Hydrogen-bonded metallo-supramolecular polymers based on ruthenium or iron complexes for the selective extraction of single-walled carbon nanotubes. Dalton Trans. 2018, 47, 14195–14203. [Google Scholar] [CrossRef] [PubMed]
- Ma, P.; Lv, P.; Xu, P.; Du, M.; Zhu, H.; Dong, W.; Chen, M. Design of bio-based conductive and fast crystallizing nanocomposites with controllable distribution of multiwalled carbon nanotubes via interfacial stereocomplexation. Chem. Eng. J. 2018, 336, 223–232. [Google Scholar] [CrossRef]
- Lei, L.; Qiu, J.; Sakai, E. Preparing conductive poly(lactic acid) (PLA) with poly(methyl methacrylate) (PMMA) functionalized graphene (PFG) by admicellar polymerization. Chem. Eng. J. 2012, 209, 20–27. [Google Scholar] [CrossRef]
- Zhang, L.; Li, Y.; Wang, H.; Qiao, Y.; Chen, J.; Cao, S. Strong and ductile poly(lactic acid) nanocomposite films reinforced with alkylated graphene nanosheets. Chem. Eng. J. 2015, 264, 538–546. [Google Scholar] [CrossRef]
- Cui, C.-H.; Yan, D.-X.; Pang, H.; Jia, L.-C.; Xu, X.; Yang, S.; Xu, J.-Z.; Li, Z.-M. A high heat-resistance bioplastic foam with efficient electromagnetic interference shielding. Chem. Eng. J. 2017, 323, 29–36. [Google Scholar] [CrossRef]
- Luckachan, G.E.; Pillai, C.K.S. Biodegradable polymers—A review on recent trends and emerging perspectives. J. Polym. Environ. 2011, 19, 637–676. [Google Scholar] [CrossRef]
- Wieder, H. Laboratory Notes on Electrical and Galvanomagnetic Measurements (Materials Science); Elsevier Science Ltd.: Amsterdam, The Netherlands, 1979; Volume 2. [Google Scholar]
- Zhang, B.; Zhang, G.; Wang, Q.; Li, C.; He, J.; An, Z. Suppression of surface charge accumulation on Al2O3-filled epoxy resin insulator under dc voltage by direct fluorination. AIP Adv. 2015, 5, 127207. [Google Scholar] [CrossRef]
- Bhattacharya, M. Polymer Nanocomposites—A Comparison between Carbon Nanotubes, Graphene, and Clay as Nanofillers. Materials 2016, 9, 262. [Google Scholar] [CrossRef] [PubMed]
- Doganay, D.; Coskun, S.; Kaynak, C.; Unalan, H.E. Electrical, mechanical and thermal properties of aligned silver nanowire/polylactide nanocomposite films. Compos. Part B 2016, 99, 288–296. [Google Scholar] [CrossRef]


















| Amount of SWCN | R [Ω] before Deformation | R [Ω] after Deformation | d [µm] | σ [S/m] before Deformation | σ [S/m] after Deformation |
|---|---|---|---|---|---|
| 0.1% | (2.14 ± 0.45) × 103 | (2.50 ± 0.68) × 103 | 196.9 | (5.2± 1.1) × 10−1 | (4.5 ± 1.2) × 10−1 |
| 1% | (1.12 ± 0.25) × 10 | (1.90 ± 0.33) × 10 | 207.6 | (9.5 ± 2.1) × 10 | (5.59 ± 0.98) × 10 |
| 5% | 1.99 ± 0.22 | 2.365 ± 0.086 | 109.6 | (1.01 ± 0.11) × 103 | (8.51 ± 0.31) × 102 |
| 8% | 7.3 ± 1.6 | 8.43 ± 0.85 | 51.8 | (5.8 ± 1.2) × 102 | (5.06 ± 0.51) × 102 |
| Composition | Thickness (mm) | Cross-Section Area (mm2) | Length (mm) | Stress at Break (MPa) | Elongation at Break (%) |
|---|---|---|---|---|---|
| l,d-PLA | 0.038 | 0.38 | 18.22 | 71.0 ± 8.9 | 112.7 ± 25.4 |
| l,d-PLA + 0.01% SWCN | 0.145 | 1.45 | 19.82 | 21.8 ± 3.8 | 104.2 ± 14.0 |
| l,d-PLA + 0.1% SWCN | 0.047 | 0.47 | 17.86 | 57.8 ± 5.6 | 104.4 ± 28.2 |
| l,d-PLA + 1% SWCN | 0.054 | 0.54 | 17.66 | 39.4 ± 5.8 | 103.4 ± 17.4 |
| l,d-PLA + 5% SWCN | 0.034 | 0.34 | 19.9 | 45.6 ± 1.5 | 103.5 ± 7.8 |
| l,d-PLA + 8% SWCN | 0.044 | 0.44 | 19.08 | 31.1 ± 8.7 | 103.4 ± 9.9 |
© 2018 by the authors. Licensee MDPI, Basel, Switzerland. This article is an open access article distributed under the terms and conditions of the Creative Commons Attribution (CC BY) license (http://creativecommons.org/licenses/by/4.0/).
Share and Cite
Fryń, P.; Bogdanowicz, K.A.; Górska, N.; Rysz, J.; Krysiak, P.; Marzec, M.; Marzec, M.; Iwan, A.; Januszko, A. Hybrid Materials Based on l,d-Poly(lactic acid) and Single-Walled Carbon Nanotubes as Flexible Substrate for Organic Devices. Polymers 2018, 10, 1271. https://doi.org/10.3390/polym10111271
Fryń P, Bogdanowicz KA, Górska N, Rysz J, Krysiak P, Marzec M, Marzec M, Iwan A, Januszko A. Hybrid Materials Based on l,d-Poly(lactic acid) and Single-Walled Carbon Nanotubes as Flexible Substrate for Organic Devices. Polymers. 2018; 10(11):1271. https://doi.org/10.3390/polym10111271
Chicago/Turabian StyleFryń, Patryk, Krzysztof Artur Bogdanowicz, Natalia Górska, Jakub Rysz, Piotr Krysiak, Mateusz Marzec, Monika Marzec, Agnieszka Iwan, and Adam Januszko. 2018. "Hybrid Materials Based on l,d-Poly(lactic acid) and Single-Walled Carbon Nanotubes as Flexible Substrate for Organic Devices" Polymers 10, no. 11: 1271. https://doi.org/10.3390/polym10111271
APA StyleFryń, P., Bogdanowicz, K. A., Górska, N., Rysz, J., Krysiak, P., Marzec, M., Marzec, M., Iwan, A., & Januszko, A. (2018). Hybrid Materials Based on l,d-Poly(lactic acid) and Single-Walled Carbon Nanotubes as Flexible Substrate for Organic Devices. Polymers, 10(11), 1271. https://doi.org/10.3390/polym10111271

