Thermal Properties of TiO2NP/CNT/LDPE Hybrid Nanocomposite Films
Abstract
1. Introduction
2. Materials and Methods
2.1. Materials
2.2. Preparation of TONP/LDPE, CNT/LDPE, and TONP/CNT/LDPE Composite Films
2.3. Film Characterization
2.3.1. X-ray Diffraction (XRD)
2.3.2. Scanning Electron Microscopy (SEM)
2.3.3. Fourier Transform Infrared Spectroscopy (FTIR)
2.3.4. Differential Scanning Calorimetry (DSC)
2.3.5. Thermal Gravimetric Analysis (TGA)
3. Results and Discussion
3.1. Morphological and Dispersion Properties of LDPE-Based Nanocomposites
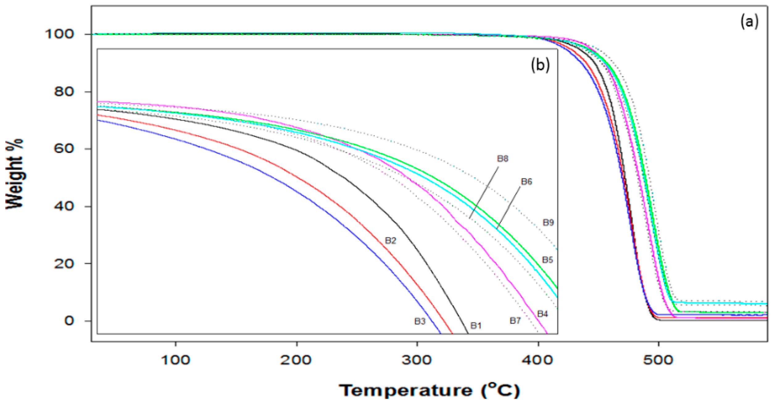
3.2. Thermal Behavior of LDPE-Based Nanocomposites
4. Conclusions
Author Contributions
Acknowledgments
Conflicts of Interest
References
- Chum, P.S.; Swogger, K.W. Olefin polymer technologies-History and recent progress at The Dow Chemical Company. Prog. Polym. Sci. 2008, 33, 797–819. [Google Scholar] [CrossRef]
- Blanco, I.; Abate, L.; Antonelli, M.L. The regression of isothermal thermogravimetric data to evaluate degradation Ea values of polymers: A comparison with literature methods and an evaluation of lifetime prediction reliability. Polym. Degrad. Stab. 2011, 96, 1947–1954. [Google Scholar] [CrossRef]
- Zagho, M.M.; Hussein, E.A.; Elzatahry, A.A. Recent overviews in functional polymer composites for biomedical applications. Polymers 2018, 10, 739. [Google Scholar] [CrossRef]
- Zagho, M.M.; Elzatahry, A. Recent Trends in Electrospinning of Polymer Nanofibers and their Applications as Templates for Metal Oxide Nanofibers Preparation. In Electrospinning—Material, Techniques, and Biomedical Applications; InTech: London, UK, 2016; pp. 3–24. [Google Scholar]
- Khan, M.I.; Zagho, M.M.; Shakoor, R.A. A Brief Overview of Shape Memory Effect in Thermoplastic Polymers, Smart Polymer Nanocomposites. In Smart Polymer Nanocomposites, Springer Series on Polymer and Composite Materials; Springer International Publishing AG: New York, NY, USA, 2017; pp. 281–301. [Google Scholar]
- Hussein, E.A.; Zagho, M.M.; Nasrallah, G.K.; Elzatahry, A.A. Recent advances in functional nanostructures as cancer photothermal therapy. Int. J. Nanomed. 2018, 13, 2897–2906. [Google Scholar] [CrossRef] [PubMed]
- Dawoud, H.D.; Altahtamouni, T.M.; Zagho, M.M.; Bensalah, N. A brief overview of flexible CNT/PANI super capacitors. Mater. Sci. Nanotechnol. 2017, 1, 23–36. [Google Scholar]
- Al-Enizi, A.M.; Zagho, M.M.; Elzatahry, A.A. Polymer-based electrospun nanofibers for biomedical applications. Nanomaterials 2018, 8, 259. [Google Scholar] [CrossRef] [PubMed]
- AlMaadeed, M.A.; Nógellová, Z.; Mičušík, M.; Novák, I.; Krupa, I. Mechanical, sorption and adhesive properties of composites based on low density polyethylene filled with date palm wood powder. Mater. Des. 2014, 53, 29–37. [Google Scholar] [CrossRef]
- Al-Ma’adeed, M.; Ozerkan, G.; Kahraman, R.; Rajendran, S.; Hodzic, A. Life cycle assessment of particulate recycled low density polyethylene and recycled polypropylene reinforced with talc and fiberglass. Key Eng. Mater. 2011, 471–472, 999–1004. [Google Scholar] [CrossRef]
- Noorunnisa Khanam, P.; Al-Maadeed, M.A.; Mrlik, M. Improved flexible, controlled dielectric constant material from recycled LDPE polymer composites. J. Mater. Sci. Mater. Electron. 2016, 27, 8848–8855. [Google Scholar] [CrossRef]
- Noorunnisa Khanam, P.; AlMaadeed, M.A.; Ouederni, M.; Harkin-Jones, E.; Mayoral, B.; Hamilton, A.; Sun, D. Melt processing and properties of linear low density polyethylene-graphene nanoplatelet composites. Vacuum 2016, 130, 63–71. [Google Scholar] [CrossRef]
- Sobolciak, P.; Karkri, M.; Al-Maadeed, M.A.; Krupa, I. Thermal characterization of phase change materials based on linear low-density polyethylene, paraffin wax and expanded graphite. Renew. Energy 2016, 88, 372–382. [Google Scholar] [CrossRef]
- Murray, K.A.; Kennedy, J.E.; McEvoy, B.; Vrain, O.; Ryan, D.; Cowman, R.; Higginbotham, C.L. The effects of high energy electron beam irradiation in air on accelerated aging and on the structure property relationships of low density polyethylene. Nucl. Instrum. Methods Phys. Res. Sect. B Beam Interact. Mater. At. 2013, 297, 64–74. [Google Scholar] [CrossRef]
- Willis, P.B.; Hsieh, C.-H. Space applications of polymeric materials. Kobunshi 2000, 49, 52–56. [Google Scholar] [CrossRef]
- Guetersloh, S.; Zeitlin, C.; Heilbronn, L.; Miller, J.; Komiyama, T.; Fukumura, A.; Iwata, Y.; Murakami, T.; Bhattacharya, M. Polyethylene as a radiation shielding standard in simulated cosmic-ray environments. Nucl. Instrum. Methods Phys. Res. Sect. B Beam Interact. Mater. At. 2006, 252, 319–332. [Google Scholar] [CrossRef]
- Ward-Close, C.M.; Godfrey, A.B.; Thompson, S.R. Titanium made the EDO way should see prices drop. Met. Powder Rep. 2005, 60, 20–25. [Google Scholar] [CrossRef]
- Tong, Y.; Li, Y.; Xie, F.; Ding, M. Preparation and characteristics of polyimide-TiO2 nanocomposite film. Polym. Int. 2000, 49, 1543–1547. [Google Scholar] [CrossRef]
- Zapata, P.A.; Palza, H.; Cruz, L.S.; Lieberwirth, I.; Catalina, F.; Corrales, T.; Rabagliati, F.M. Polyethylene and poly(ethylene-co-1-octadecene) composites with TiO2 based nanoparticles by metallocenic “in situ” polymerization. Polymer 2013, 54, 2690–2698. [Google Scholar] [CrossRef]
- Thostenson, E.T.; Li, C.; Chou, T.W. Nanocomposites in context. Compos. Sci. Technol. 2005, 65, 491–516. [Google Scholar] [CrossRef]
- Moniruzzaman, M.; Winey, K.I. Polymer nanocomposites containing carbon nanotubes. Macromolecules 2006, 39, 5194–5205. [Google Scholar] [CrossRef]
- Coleman, J.N.; Khan, U.; Blau, W.J.; Gun’ko, Y.K. Small but strong: A review of the mechanical properties of carbon nanotube-polymer composites. Carbon 2006, 44, 1624–1652. [Google Scholar] [CrossRef]
- Mylvaganam, K.; Zhang, L.C. Chemical bonding in polyethylene-nanotube composites: A quantum mechanics prediction. J. Phys. Chem. B 2004, 108, 5217–5220. [Google Scholar] [CrossRef]
- Zhou, T.Y.; Tsui, G.C.P.; Liang, J.Z.; Zou, S.Y.; Tang, C.Y.; Mišković-Stanković, V. Thermal properties and thermal stability of PP/MWCNT composites. Compos. Part B Eng. 2016, 90, 107–114. [Google Scholar] [CrossRef]
- Wong, M.; Paramsothy, M.; Xu, X.J.; Ren, Y.; Li, S.; Liao, K. Physical interactions at carbon nanotube-polymer interface. Polymer 2003, 44, 7757–7764. [Google Scholar] [CrossRef]
- Safri, S.N.A.; Sultan, M.T.H.; Jawaid, M.; Jayakrishna, K. Impact behaviour of hybrid composites for structural applications: A review. Compos. Part B Eng. 2018, 133, 112–121. [Google Scholar] [CrossRef]
- Puttegowda, M.; Rangappa, S.M.; Jawaid, M.; Shivanna, P.; Basavegowda, Y.; Saba, N. Potential of natural/synthetic hybrid composites for aerospace applications. Sustain. Compos. Aerosp. Appl. 2018, 315–351. [Google Scholar] [CrossRef]
- Blanco, I. The rediscovery of POSS: A molecule rather than a filler. Polymers 2018, 10, 904. [Google Scholar] [CrossRef]
- Chamakh, M.M.; Ponnamma, D.; Al-Maadeed, M.A.A. Vapor sensing performances of PVDF nanocomposites containing titanium dioxide nanotubes decorated multi-walled carbon nanotubes. J. Mater. Sci. Mater. Electron. 2018, 29, 4402–4412. [Google Scholar] [CrossRef]
- Parangusan, H.; Ponnamma, D.; Al-Maadeed, M.A.A. Stretchable electrospun PVDF-HFP/Co-ZnO nanofibers as piezoelectric nanogenerators. Sci. Rep. 2018, 8, 754. [Google Scholar] [CrossRef] [PubMed]
- Ponnamma, D.; Erturk, A.; Parangusan, H.; Deshmukh, K.; Ahamed, M.B.; Al Ali Al-Maadeed, M. Stretchable quaternary phasic PVDF-HFP nanocomposite films containing graphene-titania-SrTiO3 for mechanical energy harvesting. Emergent Mater. 2018, 1, 55–65. [Google Scholar] [CrossRef]
- Al-Maadeed, M.A.; Shabana, Y.M.; Khanam, P.N. Processing, characterization and modeling of recycled polypropylene/glass fibre/wood flour composites. Mater. Des. 2014, 58, 374–380. [Google Scholar] [CrossRef]
- AlMaadeed, M.A.; Kahraman, R.; Noorunnisa Khanam, P.; Madi, N. Date palm wood flour/glass fibre reinforced hybrid composites of recycled polypropylene: Mechanical and thermal properties. Mater. Des. 2012, 42, 289–294. [Google Scholar] [CrossRef]
- Deshmukh, K.; Ahamed, M.B.; Deshmukh, R.R.; Pasha, S.K.K.; Sadasivuni, K.K.; Ponnamma, D.; AlMaadeed, M.A.A. Striking multiple synergies in novel three-phase fluoropolymer nanocomposites by combining titanium dioxide and graphene oxide as hybrid fillers. J. Mater. Sci. Mater. Electron. 2017, 28, 559–575. [Google Scholar] [CrossRef]
- Kuplennik, N.; Tchoudakov, R.; Zelas, Z.B.-B.; Sadovski, A.; Fishman, A.; Narkis, M. Antimicrobial packaging based on linear low-density polyethylene compounded with potassium sorbate. LWT Food Sci. Technol. 2015, 62, 278–286. [Google Scholar] [CrossRef]
- Majeed, K.; AlMaadeed, M.A.A.; Zagho, M.M. Comparison of the effect of carbon, halloysite and titania nanotubes on the mechanical and thermal properties of LDPE based nanocomposite films. Chin. J. Chem. Eng. 2018, 26, 428–435. [Google Scholar] [CrossRef]
- Zagho, M.M.; AlMaadeed, M.A.A.; Majeed, K. Role of TiO2 and Carbon Nanotubes on Polyethylene, and Effect of Accelerated Weathering on Photo Oxidation and Mechanical Properties. J. Vinyl Addit. Technol. 2018. [Google Scholar] [CrossRef]
- Kabalan, L.; Zagho, M.M.; Al-Marri, M.J.; Khader, M.M. Experimental and theoretical studies on the mechanical and structural changes imposed by the variation of clay loading on poly(vinyl alcohol)/cloisite® 93A nanocomposites. J. Vinyl Addit. Technol. 2018. [Google Scholar] [CrossRef]
- Zagho, M.M.; Khader, M.M. The Impact of Clay Loading on the Relative Intercalation of Poly (Vinyl Alcohol)—Clay Composites. J. Mater. Sci. Chem. Eng. 2016, 4, 20–31. [Google Scholar] [CrossRef]
- Al-Marri, M.J.; Masoud, M.S.; Nassar, A.M.G.; Zagho, M.M.; Khader, M.M. Synthesis and characterization of poly(vinyl alcohol): Cloisite® 20A nanocomposites. J. Vinyl Addit. Technol. 2017, 23, 181–187. [Google Scholar] [CrossRef]
- Urukawa, T.F.; Ato, H.S.; Ita, Y.K.; Atsukawa, K.M.; Amaguchi, H.Y.; Chiai, S.O.; Iesler, H.W.S.; Zaki, Y.O. Molecular Structure, Crystallinity and Morphology of Polyethylene/Polypropylene Blends Studied by Raman Mapping, Scanning Electron Microscopy, Wide Angle X-ray Diffraction, and Differential Scanning Calorimetry. Polym. J. 2006, 38, 1127–1136. [Google Scholar] [CrossRef]
- Wunderlich, B. The Basis of Thermal Analysis. In Thermal Characterization of Polymeric Materials; Academic Press: New York, NY, USA, 1997; pp. 387–389. [Google Scholar]
- Madani, M. Structure, optical and thermal decomposition characters of LDPE graft copolymers synthesized by gamma irradiation. Curr. Appl. Phys. 2011, 11, 70–76. [Google Scholar] [CrossRef]
- Klanwan, J.; Akrapattangkul, N.; Pavarajarn, V.; Seto, T.; Otani, Y.; Charinpanitkul, T. Single-step synthesis of MWCNT/ZnO nanocomposite using co-chemical vapor deposition method. Mater. Lett. 2010, 64, 80–82. [Google Scholar] [CrossRef]
- Yurdakul, H.; Durukan, O.; Seyhan, A.T.; Celebi, H.; Oksuzoglu, M.; Turan, S. Microstructural characterization of corn starch-based porous thermoplastic composites filled with multiwalled carbon nanotubes. J. Appl. Polym. Sci. 2013, 127, 812–820. [Google Scholar] [CrossRef]
- Liu, G.; Liao, S.; Zhu, D.; Cui, J.; Zhou, W. Solid-phase photocatalytic degradation of polyethylene film with manganese oxide OMS-2. Solid State Sci. 2011, 13, 88–94. [Google Scholar] [CrossRef]
- Navarro-Pardo, F.; Martínez-Barrera, G.; Martínez-Hernández, A.L.; Castaño, V.M.; Rivera-Armenta, J.L.; Medellín-Rodríguez, F.; Velasco-Santos, C. Effects on the thermo-mechanical and crystallinity properties of nylon 6,6 electrospun fibres reinforced with one dimensional (1D) and two dimensional (2D) carbon. Materials 2013, 6, 3494–3513. [Google Scholar] [CrossRef] [PubMed]
- Konyushenko, E.N.; Stejskal, J.; Trchová, M.; Hradil, J.; Kovářová, J.; Prokeš, J.; Cieslar, M.; Hwang, J.Y.; Chen, K.H.; Sapurina, I. Multi-wall carbon nanotubes coated with polyaniline. Polymer 2006, 47, 5715–5723. [Google Scholar] [CrossRef]
- Yuca, N.; Karatepe, N. Thermal and electrical properties of carbon nanotube based materials. ACTA Phys. Pol. A 2013, 123, 352–354. [Google Scholar] [CrossRef]
- Mahmood, N.; Islam, M.; Hameed, A.; Saeed, S. Polyamide 6/multiwalled carbon nanotubes nanocomposites with modified morphology and thermal properties. Polymers 2013, 5, 1380–1391. [Google Scholar] [CrossRef]
- Al-Saygh, A.; Ponnamma, D.; AlMaadeed, M.; Vijayan, P.P.; Karim, A.; Hassan, M. Flexible pressure sensor based on PVDF nanocomposites containing reduced graphene oxide-titania hybrid nanolayers. Polymers 2017, 9, 33. [Google Scholar] [CrossRef]
- Cicala, G.; Blanco, I.; Latteri, A.; Ognibene, G.; Bottino, F.A.; Elena, M. PES/POSS soluble veils as advanced modifiers for multifunctional fiber reinforced composites. Polymers 2017, 9, 281. [Google Scholar] [CrossRef]
- Contat-Rodrigo, L.; Ribes-Greus, A.; Imrie, C.T. Thermal analysis of high-density polyethylene and low-density polyethylene with enhanced biodegradability. J. Appl. Polym. Sci. 2002, 86, 764–772. [Google Scholar] [CrossRef]
- Xiang, H.; Sun, C.; Jiang, D.; Zhang, Q.; Dong, C.; Liu, L. Flame retardation and thermal degradation of intumescent flame-retarded polypropylene composites containing spirophosphoryldicyandiamide and ammonium polyphosphate. J. Vinyl Addit. Technol. 2010, 16, 161. [Google Scholar] [CrossRef]
- Huang, N.H.; Chen, Z.J.; Wang, J.Q.; Wei, P. Synergistic effects of sepiolite on intumescent flame retardant polypropylene. Express Polym. Lett. 2010, 4, 743–752. [Google Scholar] [CrossRef]
- Motaung, T.E.; Luyt, A.S.; Thomas, S. Morphology and properties of NR/EPDM rubber blends filled with small amounts of titania nanoparticles. Polym. Compos. 2011, 32, 1289–1296. [Google Scholar] [CrossRef]
- Yang, J.; Li, X.; Liu, C.; Rui, E.; Wang, L. Effects of electron irradiation on LDPE/MWCNT composites. Nucl. Instrum. Methods Phys. Res. Sect. B Beam Interact. Mater. At. 2015, 365, 55–60. [Google Scholar] [CrossRef]
- Blanco, I.; Bottino, F.A.; Cicala, G.; Latteri, A.; Recca, A. Synthesis and characterization of differently substituted phenyl hepta isobutyl-polyhedral oligomeric silsesquioxane/polystyrene nanocomposites. Polym. Compos. 2014, 35, 151–157. [Google Scholar] [CrossRef]
- Motaung, T.E.; Luyt, A.S.; Bondioli, F.; Messori, M.; Saladino, M.L.; Spinella, A.; Nasillo, G.; Caponetti, E. PMMA-titania nanocomposites: Properties and thermal degradation behaviour. Polym. Degrad. Stab. 2012, 97, 1325–1333. [Google Scholar] [CrossRef]
- Wang, H.; Xu, P.; Zhong, W.; Shen, L.; Du, Q. Transparent poly(methyl methacrylate)/silica/zirconia nanocomposites with excellent thermal stabilities. Polym. Degrad. Stab. 2005, 87, 319–327. [Google Scholar] [CrossRef]





| Sample Designation | wt % TONPs | wt % CNTs | wt % LDPE |
|---|---|---|---|
| B1 | 0 | 0 | 100 |
| B2 | 1 | 0 | 99 |
| B3 | 2 | 0 | 98 |
| B4 | 0 | 1 | 99 |
| B5 | 0 | 3 | 97 |
| B6 | 0 | 5 | 95 |
| B7 | 2 | 1 | 97 |
| B8 | 2 | 3 | 95 |
| B9 | 2 | 5 | 93 |
| Sample Designation | (°C) | (°C) | ∆Hf (J/g) | Xc % |
|---|---|---|---|---|
| B1 | 108 | 93 | 87 | 30 |
| B2 | 110 | 94 | 88 | 30 |
| B3 | 110 | 94 | 90 | 32 |
| B4 | 108 | 96 | 99 | 34 |
| B5 | 109 | 97 | 102 | 36 |
| B6 | 109 | 96 | 95 | 34 |
| B7 | 109 | 96 | 94 | 34 |
| B8 | 108 | 96 | 81 | 30 |
| B9 | 108 | 96 | 82 | 30 |
© 2018 by the authors. Licensee MDPI, Basel, Switzerland. This article is an open access article distributed under the terms and conditions of the Creative Commons Attribution (CC BY) license (http://creativecommons.org/licenses/by/4.0/).
Share and Cite
Zagho, M.M.; AlMaadeed, M.A.A.; Majeed, K. Thermal Properties of TiO2NP/CNT/LDPE Hybrid Nanocomposite Films. Polymers 2018, 10, 1270. https://doi.org/10.3390/polym10111270
Zagho MM, AlMaadeed MAA, Majeed K. Thermal Properties of TiO2NP/CNT/LDPE Hybrid Nanocomposite Films. Polymers. 2018; 10(11):1270. https://doi.org/10.3390/polym10111270
Chicago/Turabian StyleZagho, Moustafa M., Mariam Al Ali AlMaadeed, and Khaliq Majeed. 2018. "Thermal Properties of TiO2NP/CNT/LDPE Hybrid Nanocomposite Films" Polymers 10, no. 11: 1270. https://doi.org/10.3390/polym10111270
APA StyleZagho, M. M., AlMaadeed, M. A. A., & Majeed, K. (2018). Thermal Properties of TiO2NP/CNT/LDPE Hybrid Nanocomposite Films. Polymers, 10(11), 1270. https://doi.org/10.3390/polym10111270

