Polymers of ε-Caprolactone Using New Copper(II) and Zinc(II) Complexes as Initiators: Synthesis, Characterization and X-Ray Crystal Structures
Abstract
1. Introduction
2. Materials and Methods
2.1. Synthesis of Ligands
2.1.1. 4-Bromo-3,5-dimethylpyrazole (Br-Pz)
2.1.2. 4-Iodo-3,5-dimethylpyrazole (I-Pz)
2.1.3. 4-Nitro-3,5-dimethylpyrazole (NO2-Pz)
2.2. Synthesis of Complexes
2.2.1. [Zn(C6H5COO)2(Br-Pz)2] (1)
2.2.2. [Cu(C6H5COO)2(Br-Pz)2] (2)
2.2.3. [Zn(C6H5COO)2(I-Pz)2] (3)
2.2.4. [Cu(C6H5COO)2(I-Pz)2] (4)
2.2.5. [Zn(C6H5COO)2(NO2-Pz)2] (5)
2.2.6. [Cu(C6H5COO)2(NO2-Pz)2] (6)
2.3. X-ray Structural Determination
2.4. Polymerization of ε-Caprolactone
3. Results and Discussion
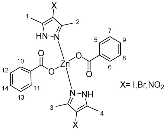
3.1. Synthesis and Characterization of Complexes 1–6
3.2. Mass Spectrometry and Elemental Analysis
3.3. Infrared and NMR Spectroscopy
3.4. Thermal Analysis
3.5. Single-Crystal X-ray Analysis
3.6. Polymerization of ε-Caprolactone
4. Conclusions
Supplementary Materials
Author Contributions
Funding
Acknowledgments
Conflicts of Interest
References
- Tokiwa, Y.; Calabia, B.P.; Ugwu, C.U.; Aiba, S. Biodegradability of Plastics. Int. J. Mol. Sci. 2009, 10, 3722–3742. [Google Scholar] [CrossRef] [PubMed]
- Labet, M.; Thielemans, W. Synthesis of polycaprolactone: A review. Chem. Soc. Rev. 2009, 38, 3484. [Google Scholar] [CrossRef] [PubMed]
- Woodruff, M.A.; Hutmacher, D.W. The return of a forgotten polymer—Polycaprolactone in the 21st century. Prog. Polym. Sci. 2010, 35, 1217–1256. [Google Scholar] [CrossRef]
- Rutot-Houzé, D.; Fris, W.; Degée, P.; Dubois, P. Controlled Ring-Opening (Co)Polymerization of Lactones Initiated from Cadmium Sulfide Nanoparticles. J. Macromol. Sci. Part A 2004, 41, 697–711. [Google Scholar] [CrossRef]
- Martin, E.; Dubois, P.; Jérôme, R. Controlled Ring-Opening Polymerization of ε-Caprolactone Promoted by “in Situ” Formed Yttrium Alkoxides. Macromolecules 2000, 33, 1530–1535. [Google Scholar] [CrossRef]
- Obuah, C.; Lochee, Y.; Zinyemba, O.; Jordaan, J.H.L.; Otto, D.P.; Darkwa, J. (Ferrocenylpyrazolyl)zinc(II) acetate complexes as initiators and catalysts for the ring opening polymerization of ϵ-caprolacton. J. Mol. Catal. Chem. 2015, 406, 185–193. [Google Scholar] [CrossRef]
- Li, J.; Deng, Y.; Jie, S.; Li, B.-G. Zinc complexes supported by (benzimidazolyl)pyridine alcohol ligands as highly efficient initiators for ring-opening polymerization of ε-caprolactone. J. Organomet. Chem. 2015, 797, 76–82. [Google Scholar] [CrossRef]
- Barakat, I.; Dubois, P.; Jerome, R.; Teyssie, P. Living polymerization and selective end functionalization of iε-caprolactone using zinc alkoxides as initiators. Macromolecules 1991, 24, 6542–6545. [Google Scholar] [CrossRef]
- Hurtado, J.; Ibarra, L.; Yepes, D.; García-Huertas, P.; Macías, M.A.; Triana-Chavez, O.; Nagles, E.; Suescun, L.; Muñoz-Castro, A. Synthesis, crystal structure, catalytic and anti- Trypanosoma cruzi activity of a new chromium(III) complex containing bis(3,5-dimethylpyrazol-1-yl)methane. J. Mol. Struct. 2017, 1146, 365–372. [Google Scholar] [CrossRef]
- Rueda-Espinosa, J.; Torres, J.F.; Gauthier, C.V.; Wojtas, L.; Verma, G.; Macías, M.A.; Hurtado, J. Copper(II) Complexes with Tridentate Bis(pyrazolylmethyl)pyridine Ligands: Synthesis, X-ray Crystal Structures and ϵ-Caprolactone Polymerization. ChemistrySelect 2017, 2, 9815–9821. [Google Scholar] [CrossRef]
- Zikode, M.; Ojwach, S.O.; Akerman, M.P. Bis(pyrazolylmethyl)pyridine Zn(II) and Cu(II) complexes: Molecular structures and kinetic studies of ring-opening polymerization of ε-caprolactone. J. Mol. Catal. Chem. 2016, 413, 24–31. [Google Scholar] [CrossRef]
- Liu, X.; Shang, X.; Tang, T.; Hu, N.; Pei, F.; Cui, D.; Chen, X.; Jing, X. Achiral Lanthanide Alkyl Complexes Bearing N,O Multidentate Ligands. Synthesis and Catalysis of Highly Heteroselective Ring-Opening Polymerization of rac-Lactide. Organometallics 2007, 26, 2747–2757. [Google Scholar] [CrossRef]
- Nuñez-Dallos, N.; Posada, A.F.; Hurtado, J. Coumarin salen-based zinc complex for solvent-free ring opening polymerization of ε-caprolactone. Tetrahedron Lett. 2017, 58, 977–980. [Google Scholar] [CrossRef]
- Lian, B.; Thomas, C.M.; Casagrande, O.L.; Lehmann, C.W.; Roisnel, T.; Carpentier, J.-F. Aluminum and Zinc Complexes Based on an Amino-Bis(pyrazolyl) Ligand: Synthesis, Structures, and Use in MMA and Lactide Polymerization. Inorg. Chem. 2007, 46, 328–340. [Google Scholar] [CrossRef] [PubMed]
- Yu, X.-F.; Zhang, C.; Wang, Z.-X. Rapid and Controlled Polymerization of rac -Lactide Using N,N,O-Chelate Zinc Enolate Catalysts. Organometallics 2013, 32, 3262–3268. [Google Scholar] [CrossRef]
- Bello-Vieda, N.; Murcia, R.; Muñoz-Castro, A.; Macías, M.; Hurtado, J. Coordination Polymers Containing 1,3-Phenylenebis-((1H-1,2,4-triazol-1-yl)methanone) Ligand: Synthesis and ε-Caprolactone Polymerization Behavior. Molecules 2017, 22, 1860. [Google Scholar] [CrossRef] [PubMed]
- Appavoo, D.; Omondi, B.; Guzei, I.A.; van Wyk, J.L.; Zinyemba, O.; Darkwa, J. Bis(3,5-dimethylpyrazole) copper(II) and zinc(II) complexes as efficient initiators for the ring opening polymerization of ε-caprolactone and d,l-lactide. Polyhedron 2014, 69, 55–60. [Google Scholar] [CrossRef]
- Hurtado, J.; Carey, D.M.-L.; Muñoz-Castro, A.; Arratia-Pérez, R.; Quijada, R.; Wu, G.; Rojas, R.; Valderrama, M. Chromium(III) complexes with terdentate 2,6-bis(azolylmethyl)pyridine ligands: Synthesis, structures and ethylene polymerization behavior. J. Organomet. Chem. 2009, 694, 2636–2641. [Google Scholar] [CrossRef]
- Hurtado, J.; Ugarte, J.; Rojas, R.; Valderrama, M.; Mac-Leod Carey, D.; Muñoz-Castro, A.; Arratia-Pérez, R.; Fröhlich, R. New bis(azolylcarbonyl)pyridine chromium(III) complexes as initiators for ethylene polymerization. Inorganica Chim. Acta 2011, 378, 218–223. [Google Scholar] [CrossRef]
- Hurtado, J.; Ibañez, A.; Rojas, R.; Valderrama, M. Palladium(II) complexes bearing the new pincer ligand 3,5-bis(indazol-2-ylmethyl)toluene; synthesis and catalytic properties. Inorg. Chem. Commun. 2010, 13, 1025–1028. [Google Scholar] [CrossRef]
- Oudhuis, A.A.C.M.; Thiewes, H.J.; Vanhutten, P.F.; ten Brinke, G. A comparison between the morphology of semicrystalline polymer blends of poly(epsilon-caprolactone)/poly(vinyl methyl ether) and poly(epsilon-caprolactone)/(styrene-acrylonitrile). Polymer 1994, 35, 3936–3942. [Google Scholar] [CrossRef]
- Zhao, Z.; Wang, Z. Halogenation of Pyrazoles Using N-Halosuccinimides in CCl4 and in Water. Synth. Commun. 2007, 37, 137–147. [Google Scholar] [CrossRef]
- Ehlert, M.K.; Storr, A.; Thompson, R.C. Metal pyrazolate polymers. Part 3. Synthesis and study of Cu (I) and Cu (II) complexes of 4-Xdmpz (where X = H, Cl, Br, I, and CH3 for Cu (I) and X = H, Cl, Br, and CH3 for Cu (II); dmpz = 3, 5-dimethylpyrazolate). Can. J. Chem. 1992, 70, 1121–1128. [Google Scholar] [CrossRef]
- Morgan, G.T.; Ackerman, I. CLII.—Substitution in the pyrazole series. Halogen derivatives of 3: 5-dimethylpyrazole. J. Chem. Soc. Trans. 1923, 123, 1308–1318. [Google Scholar] [CrossRef]
- Palatinus, L.; Chapuis, G. SUPERFLIP—A computer program for the solution of crystal structures by charge flipping in arbitrary dimensions. J. Appl. Crystallogr. 2007, 40, 786–790. [Google Scholar] [CrossRef]
- Sheldrick, G.M. Crystal structure refinement with SHELXL. Acta Crystallogr. Sect. C Struct. Chem. 2015, 71, 3–8. [Google Scholar] [CrossRef] [PubMed]
- Macrae, C.F.; Bruno, I.J.; Chisholm, J.A.; Edgington, P.R.; McCabe, P.; Pidcock, E.; Rodriguez-Monge, L.; Taylor, R.; van de Streek, J.; Wood, P.A. Mercury CSD 2.0—New features for the visualization and investigation of crystal structures. J. Appl. Crystallogr. 2008, 41, 466–470. [Google Scholar] [CrossRef]
- Sarma, R.; Kalita, D.; Baruah, J.B. Solvent induced reactivity of 3,5-dimethylpyrazole towards zinc (II) carboxylates. Dalton Trans. 2009, 7428–7436. [Google Scholar] [CrossRef] [PubMed]
- Baruah, A.M.; Karmakar, A.; Baruah, J.B. Steric effects in controlling co-ordination environment in zinc 2-nitrobenzoate complexes. Inorganica Chim. Acta 2008, 361, 2777–2784. [Google Scholar] [CrossRef]
- Silverstein, R.M.; Webster, F.X.; Kiemle, D.J.; Bryce, D.L. Spectrometric Identification of Organic Compounds; John Wiley & Sons: Hoboken, NJ, USA, 2014; ISBN 978-0-470-61637-6. [Google Scholar]
- Sundaraganesan, N.; Kavitha, E.; Sebastian, S.; Cornard, J.P.; Martel, M. Experimental FTIR, FT-IR (gas phase), FT-Raman and NMR spectra, hyperpolarizability studies and DFT calculations of 3,5-dimethylpyrazole. Spectrochim. Acta A Mol. Biomol. Spectrosc. 2009, 74, 788–797. [Google Scholar] [CrossRef] [PubMed]
- Neto, A.C.; Ducati, L.C.; Rittner, R.; Tormena, C.F.; Contreras, R.H.; Frenking, G. Heavy Halogen Atom Effect on 13C NMR Chemical Shifts in Monohalo Derivatives of Cyclohexane and Pyran. Experimental and Theoretical Study. J. Chem. Theory Comput. 2009, 5, 2222–2228. [Google Scholar] [CrossRef] [PubMed]
- Pekka Pyykkö, M.K. How Do Spin–Orbit-Induced Heavy-Atom Effects on NMR Chemical Shifts Function? Validation of a Simple Analogy to Spin–Spin Coupling by Density Functional Theory (DFT) Calculations on Some Iodo Compounds. Chem. Eur. J. 1998, 4, 118–126. [Google Scholar] [CrossRef]
- Lawrance, G.A. Introduction to Coordination Chemistry; John Wiley & Sons: Hoboken, NJ, USA, 2013; ISBN 978-1-118-68140-4. [Google Scholar]
- Dudev, T.; Lim, C. Tetrahedral vs Octahedral Zinc Complexes with Ligands of Biological Interest: A DFT/CDM Study. J. Am. Chem. Soc. 2000, 122, 11146–11153. [Google Scholar] [CrossRef]
- Tiekink, E.R.T. Molecular architecture and supramolecular association in the zinc-triad 1,1-dithiolates. Steric control as a design element in crystal engineering? CrystEngComm 2003, 5, 101. [Google Scholar] [CrossRef]
- Phillipson, K.; Hay, J.N.; Jenkins, M.J. Thermal analysis FTIR spectroscopy of poly(ε-caprolactone). Thermochim. Acta 2014, 595, 74–82. [Google Scholar] [CrossRef]
- Allred, A.L. Electronegativity values from thermochemical data. J. Inorg. Nucl. Chem. 1961, 17, 215–221. [Google Scholar] [CrossRef]
- Korhonen, H.; Helminen, A.; Seppälä, J.V. Synthesis of polylactides in the presence of co-initiators with different numbers of hydroxyl groups. Polymer 2001, 42, 7541–7549. [Google Scholar] [CrossRef]
- Guo, Q.; Groeninckx, G. Crystallization kinetics of poly (ε-caprolactone) in miscible thermosetting polymer blends of epoxy resin and poly (ε-caprolactone). Polymer 2001, 42, 8647–8655. [Google Scholar] [CrossRef]
- Weinkauf, D.H.; Paul, D.R. Effects of Structural Order on Barrier Properties. In Barrier Polymers and Structures; Koros, W.J., Ed.; American Chemical Society: Washington, DC, USA, 1990; Volume 423, pp. 60–91. ISBN 978-0-8412-1762-1. [Google Scholar]
- John Hurtado, J.F.T. Síntesis de policaprolactona con potencial aplicación en la producción de empaques biodegradables. Rev. Agranomía Colomb. 2016, 34, 185–188. [Google Scholar]





| Complex | Found, m/z | Assignment | Calculated, m/z |
|---|---|---|---|
| 1 | 174.9893 | [C5H7BrN2 + H+]+ | 174.9865 |
| 2 | 174.9874 | [C5H7BrN2 + H+]+ | 174.9865 |
| 3 | 222.9815 | [C5H7IN2 + H+]+ | 222.9727 |
| 4 | 222.9857 | [C5H7IN2 + H+]+ | 222.9727 |
| 5 | 142.1591 | [C5H7N3O2 + H+]+ | 142.0611 |
| 6 | 142.0618 | [C5H7N3O2 + H+]+ | 142.0611 |
| Complex | δH1-4 | δH7,8,12,13 | δH9,14 | δH5,6,10,11 |
|---|---|---|---|---|
| 1 | 2.28 (11.65) | 7.40 (4.01) | 7.48 (2.02) | 8.12 (4.02) |
| 3 | 2.12 (11.66) | 7.45 (4.18) | 7.51 (1.90) | 7.98 (3.96) |
| 5 | 2.12 (11.67) | 7.43 (3.91) | 7.51 (2.09) | 7.96 (4.07) |
| Complex | 1 | 4 |
|---|---|---|
| Chemical Formula | C24H24Br2N4O4Zn | C24H24I2N4O4Cu |
| Mr | 657.66 | 749.82 |
| Crystalline System | Triclinic | Tetragonal |
| Spatial Group | P-1 | I41/a |
| Temperature (K) | 298(2) | 298(2) |
| a, b, c (Å)/a, c (Å) | 11.5022(19), 11.706(2), 12.459(2) | 31.5581(18), 5.5116(9) |
| α, β, γ (°) | 111.470(15), 101.888(14), 111.795(16) | 90, 90, 90 |
| V (Å3) | 1331.3(4) | 5489.1(11) |
| Z | 2 | 8 |
| Type of Radiation | MoKα | MoKα |
| µ (mm−1) | 3.96 | 3.08 |
| Crystal Size (mm) | 0.38 × 0.29 × 0.21 | 0.21 × 0.12 × 0.09 |
| Tmin, Tmax | 0.871, 1.000 | 0.408, 1.000 |
| No. of measured, independent and observed [I > 2σ(I)] reflections | 153.37, 5600, 4030 | 29.200, 3012, 2206 |
| Rint | 0.059 | 0.076 |
| (sin θ/λ)max (Å−1) | 0.641 | 0.641 |
| R[F2> 2σ(F2)], wR(F2), S | 0.049, 0.136, 1.05 | 0.061, 0.193, 1.08 |
| No. of reflections | 5600 | 3012 |
| No. of parameters | 320 | 172 |
| No. of restraints | 13 | 69 |
| H-atom treatment | H-atom parameters constrained | H-atom parameters constrained |
| Δρmax, Δρmin (e Å−3) | 0.77, −0.89 | 1.81, −0.74 |
| Polymer | % Yield | Time (h) a | Melting Point b (°C) | TC (°C) | Crystallinity c (°C) | TD (°C) |
|---|---|---|---|---|---|---|
| PCL1 | 99.0 | 26 | 59.9 | 32.8 | 74.4 | 285 |
| PCL2 | 96.3 | 29 | 61.5 | 38.7 | 78.6 | 277 |
| PCL3 | 99.6 | 25 | 60.1 | 33.1 | 72.2 | 261 |
| PCL4 | 95.8 | 28 | 60.3 | 33.4 | 72.8 | 273 |
| PCL5 | 92.1 | 28 | 59.9 | 30.6 | 70.2 | 268 |
| Polymer | Mn | MW (Da) | PDI a |
|---|---|---|---|
| PCL1 | 32,688 | 38,762 | 1.19 |
| PCL2 | 31,647 | 37,146 | 1.17 |
| PCL3 | 30,946 | 36,583 | 1.18 |
| PCL4 | 31,770 | 37,763 | 1.19 |
| PCL5 | 17,932 | 22,973 | 1.28 |
© 2018 by the authors. Licensee MDPI, Basel, Switzerland. This article is an open access article distributed under the terms and conditions of the Creative Commons Attribution (CC BY) license (http://creativecommons.org/licenses/by/4.0/).
Share and Cite
Posada, A.F.; Macías, M.A.; Movilla, S.; Miscione, G.P.; Pérez, L.D.; Hurtado, J.J. Polymers of ε-Caprolactone Using New Copper(II) and Zinc(II) Complexes as Initiators: Synthesis, Characterization and X-Ray Crystal Structures. Polymers 2018, 10, 1239. https://doi.org/10.3390/polym10111239
Posada AF, Macías MA, Movilla S, Miscione GP, Pérez LD, Hurtado JJ. Polymers of ε-Caprolactone Using New Copper(II) and Zinc(II) Complexes as Initiators: Synthesis, Characterization and X-Ray Crystal Structures. Polymers. 2018; 10(11):1239. https://doi.org/10.3390/polym10111239
Chicago/Turabian StylePosada, Andrés F., Mario A. Macías, Santiago Movilla, Gian Pietro Miscione, León D. Pérez, and John J. Hurtado. 2018. "Polymers of ε-Caprolactone Using New Copper(II) and Zinc(II) Complexes as Initiators: Synthesis, Characterization and X-Ray Crystal Structures" Polymers 10, no. 11: 1239. https://doi.org/10.3390/polym10111239
APA StylePosada, A. F., Macías, M. A., Movilla, S., Miscione, G. P., Pérez, L. D., & Hurtado, J. J. (2018). Polymers of ε-Caprolactone Using New Copper(II) and Zinc(II) Complexes as Initiators: Synthesis, Characterization and X-Ray Crystal Structures. Polymers, 10(11), 1239. https://doi.org/10.3390/polym10111239

