Dynamically Tunable Plasmon-Induced Transparency Based on Radiative–Radiative-Coupling in a Terahertz Metal–Graphene Metamaterial
Abstract
1. Introduction
2. Proposed Structure and Methods
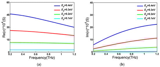
3. Conductivity of Graphene
4. General Modulation Properties
5. Effective Circuit Model Explanation
6. Slow Light Effect
7. Conclusions
Author Contributions
Funding
Acknowledgments
Conflicts of Interest
References
- Fleischhauer, M.; Imamoglu, A.; Marangos, J.P. Electromagnetically induced transparency: Optics in coherent media. Rev. Mod. Phys. 2005, 77, 633–673. [Google Scholar] [CrossRef]
- Hau, L.V.; Harris, S.E.; Dutton, Z.; Behroozi, C.H. Light speed reduction to 17 metres per second in an ultracold atomic gas. Nature 1999, 397, 594–598. [Google Scholar] [CrossRef]
- Zhang, Y.P.; Brown, A.W.; Xiao, M. Opening four-wave mixing and six-wave mixing channels via dual electromagnetically induced transparency windows. Phys. Rev. Lett. 2007, 99, 123603. [Google Scholar] [CrossRef] [PubMed]
- Zhu, Y.F.; Lin, J. Sub-Doppler light amplification in a coherently pumped atomic system. Phys. Rev. A. 1996, 53, 1767–1774. [Google Scholar] [CrossRef]
- Zhang, S.; Genov, D.A.; Wang, Y.; Liu, M.; Zhang, X. Plasmon-induced transparency in metamaterials. Phys. Rev. Lett. 2008, 101, 047401. [Google Scholar] [CrossRef]
- Lin, X.Q.; Yu, J.W.; Chen, Z.; Zhang, P.C.; Li, P.F. Analogue of electromagnetically induced transparency with modulatable transmission. Electron. Lett. 2015, 51, 1132–1133. [Google Scholar] [CrossRef]
- Yang, Y.M.; Kravchenko, I.I.; Briggs, D.P.; Valentine, J. All-dielectric metasurface analogue of electromagnetically induced transparency. Nat. Commun. 2014, 5, 5753. [Google Scholar] [CrossRef]
- Singh, R.; Rockstuhl, C.; Lederer, F.; Zhang, W.L. Coupling between a dark and a bright eigenmode in a terahertz metamaterial. Phys. Rev. B. 2009, 79, 085111. [Google Scholar] [CrossRef]
- Devi, K.M.; Sarma, A.K.; Chowdhury, D.R.; Kumar, G. Plasmon induced transparency effect through alternately coupled resonators in terahertz metamaterial. Opt. Express 2017, 25, 10484–10493. [Google Scholar] [CrossRef] [PubMed]
- Wei, Z.C.; Li, X.P.; Zhong, N.F.; Tan, X.P.; Zhang, X.M.; Liu, H.Z.; Meng, H.Y.; Liang, R.S. Analogue electromagnetically induced transparency based on low-loss metamaterial and its application in nanosensor and slow-light device. Plasmonics 2016, 12, 641–647. [Google Scholar] [CrossRef]
- Li, Z.Y.; Ma, Y.F.; Huang, R.; Singh, R.J.; Gu, J.Q.; Tian, Z.; Han, J.G.; Zhang, W.L. Manipulating the plasmon-induced transparency in terahertz metamaterials. Opt. Express 2011, 19, 8912–8919. [Google Scholar] [CrossRef]
- Qiao, S.; Zhang, Y.X.; Xu, G.Q.; Sun, L.L.; Sun, H.; Li, L.; Liang, S.X.; Zhao, Y.C.; Yang, Z.Q. Controlling the transparency window in terahertz band using mode coupling metamaterials. J. Appl. Phys. 2015, 117, 063103. [Google Scholar] [CrossRef]
- Zhang, H.Y.; Cao, Y.Y.; Liu, Y.Z.; Li, Y.; Zhang, Y.P. A novel graphene metamaterial design for tunable terahertz plasmon induced transparency by two bright mode coupling. Opt. Commun. 2017, 391, 9–15. [Google Scholar] [CrossRef]
- Ding, G.W.; Liu, S.B.; Zhang, H.F.; Kong, X.K.; Li, H.M.; Li, B.X.; Liu, S.Y.; Li, H. Tunable electromagnetically induced transparency at terahertz frequencies in coupled graphene metamaterial. Chin. Phys. B. 2015, 24, 118103. [Google Scholar] [CrossRef]
- Tian, S.C.; Wan, R.G.; Xing, E.B.; Rong, J.M.; Wu, H.; Wang, L.J.; Shu, S.L.; Tong, C.Z.; Ning, Y.Q. Tunneling induced transparency and giant Kerr nonlinearity in multiple quantum dot molecules. Physica E 2015, 69, 349–353. [Google Scholar] [CrossRef]
- Xu, Q.; Su, X.Q.; Ouyang, C.M.; Xu, N.N.; Cao, W.; Zhang, Y.P.; Li, Q.; Hu, C.; Gu, J.Q.; Tian, Z.; et al. Frequency-agile electromagnetically induced transparency analogue in terahertz metamaterials. Opt. Lett. 2016, 41, 4562–4565. [Google Scholar] [CrossRef]
- Khatua, S.; Chang, W.S.; Swanglap, P.; Olson, J.; Link, S. Active Modulation of Nanorod Plasmons. Nano Lett. 2011, 11, 3797–3802. [Google Scholar] [CrossRef]
- Castro Neto, A.H.; Guinea, F.; Peres, N.M.R.; Novoselov, K.S.; Geim, A.K. The electronic properties of graphene. Rev. Mod. Phys. 2009, 81, 109–162. [Google Scholar] [CrossRef]
- Li, X.M.; Li, T.; Chen, Z.F.; Fang, H.; Li, X.S.; Wang, X.R.; Xu, J.B.; Zhu, H.W. Graphene and related two-dimensional materials: Structure-property relationships for electronics and optoelectronics. Appl. Phys. Rev. 2017, 4, 021306. [Google Scholar] [CrossRef]
- Liu, T.T.; Yi, Z.; Xiao, S.Y. Active control of near-field coupling in a terahertz metal-graphene metamaterial. IEEE Photonics Technol. Lett. 2017, 29, 1998–2001. [Google Scholar] [CrossRef]
- Xiao, S.Y.; Wang, T.; Liu, T.; Yan, X.; Li, Z.; Xu, C. Active modulation of electromagnetically induced transparency analogue in terahertz hybrid metal-graphene metamaterials. Carbon 2018, 126, 271–278. [Google Scholar] [CrossRef]
- Liu, T.T.; Wang, H.; Liu, Y.; Xiao, L.; Zhou, C.; Xu, C.; Xiao, S. Dynamically tunable electromagnetically induced transparency in a terahertz hybrid metamaterial. Physica E 2018, 104, 229–232. [Google Scholar] [CrossRef]
- Zhao, X.L.; Yuan, C.; Lu, W.; Xu, S.; Yao, J.Q. Plasmon-Induced Transparency in Metamaterial Based on Graphene and Split-Ring Resonators. IEEE Photonics Technol. Lett. 2015, 27, 1321–1324. [Google Scholar] [CrossRef]
- Chen, H.; Zhang, H.; Liu, M.; Zhao, Y.; Liu, S.; Zhang, Y. Tunable multiple plasmon-induced transparency in three-dimensional Dirac semimetal metamaterials. Opt. Commun. 2018, 423, 57–62. [Google Scholar] [CrossRef]
- Cen, H.; Wang, F.; Liang, R. Tunable plasmon induced transparency based on bright-bright mode coupling graphene metamaterial. Opt. Commun. 2018, 420, 78–83. [Google Scholar] [CrossRef]
- Liu, M.; Tian, Z.; Zhang, X.; Gu, J.; Ouyang, C.; Han, J.; Zhang, W.L. Tailoring the plasmon-induced transparency resonances in terahertz metamaterials. Opt. Express 2017, 25, 19844–19855. [Google Scholar] [CrossRef]
- Ordal, M.A.; Bell, R.J.; Alexander, R.W.; Long, L.L.; Querry, M.R. Optical properties of fourteen metals in the infrared and far infrared: Al, Co, Cu, Au, Fe, Pb, Mo, Ni, Pd, Pt, Ag, Ti, V, and W. Appl. Opt. 1985, 24, 4493–4499. [Google Scholar] [CrossRef]
- Zhang, J.; Guo, C.; Liu, K.; Zhu, Z.; Ye, W.; Yuan, X.; Qin, S. Coherent perfect absorption and transparency in a nanostructured graphene film. Opt. Express 2014, 22, 12524–12532. [Google Scholar] [CrossRef]
- Ishikawa, A.; Tanaka, T. Plasmon hybridization in graphene metamaterials. Appl. Phys. Lett. 2013, 102, 253110. [Google Scholar] [CrossRef]
- Jnawali, G.; Rao, Y.; Yan, H.; Heinz, T.F. Observation of a transient decrease in terahertz conductivity of single-layer graphene induced by ultrafast optical excitation. Nano Lett. 2013, 13, 524–530. [Google Scholar] [CrossRef]
- Lee, S.H.; Choi, M.; Kim, T.T.; Lee, S.W.; Liu, M.; Yin, X.; Choi, H.K.; Lee, S.S.; Choi, C.G.; Choi, S.Y.; et al. Switching terahertz waves with gate-controlled active graphene metamaterials. Nat. Mater. 2012, 11, 936–941. [Google Scholar] [CrossRef]
- Ye, Z.; Zhang, S.; Wang, Y.; Park, Y.S.; Zentgraf, T.; Bartal, G.; Yin, X.; Zhang, X. Mapping the near-field dynamics in plasmon-induced transparency. Phys. Rev. B 2012, 86, 155148. [Google Scholar] [CrossRef]
- Hu, H.; Zhai, F.; Hu, D.; Li, Z.; Bai, B.; Yang, X.; Dai, Q. Broadly tunable graphene plasmons using an ion-gel top gate with low control voltage. Nanoscale 2015, 7, 19493–19500. [Google Scholar] [CrossRef]
- Li, Q.; Cong, L.; Singh, R.; Xu, N.; Cao, W.; Zhang, X.; Tian, Z.; Du, L.; Han, J.; Zhang, W.L. Monolayer graphene sensing enabled by the strong Fano-resonant metasurface. Nanoscale 2016, 8, 17278–17284. [Google Scholar] [CrossRef]
- Chiam, S.Y.; Singh, R.; Rockstuhl, C.; Lederer, F.; Zhang, W.L.; Bettiol, A.A. Analogue of electromagnetically induced transparency in a terahertz metamaterial. Phys. Rev. B 2009, 80, 153103. [Google Scholar] [CrossRef]
- Gu, J.; Singh, R.; Liu, X.; Zhang, X.; Ma, Y.; Zhang, S.; Maier, S.A.; Tian, Z.; Azad, A.K.; Chen, H.-T.; et al. Active control of electromagnetically induced transparency analogue in terahertz metamaterials. Nat. Commun. 2012, 3, 1151. [Google Scholar] [CrossRef]
- Yin, X.; Feng, T.; Yip, S.; Liang, Z.; Hui, A.; Ho, J.C.; Li, J. Tailoring electromagnetically induced transparency for terahertz metamaterials: From diatomic to triatomic structural molecules. Appl. Phys. Lett. 2013, 103, 021115. [Google Scholar] [CrossRef]







© 2019 by the authors. Licensee MDPI, Basel, Switzerland. This article is an open access article distributed under the terms and conditions of the Creative Commons Attribution (CC BY) license (http://creativecommons.org/licenses/by/4.0/).
Share and Cite
Wang, G.; Zhang, X.; Zhang, L.; Wei, X. Dynamically Tunable Plasmon-Induced Transparency Based on Radiative–Radiative-Coupling in a Terahertz Metal–Graphene Metamaterial. Crystals 2019, 9, 146. https://doi.org/10.3390/cryst9030146
Wang G, Zhang X, Zhang L, Wei X. Dynamically Tunable Plasmon-Induced Transparency Based on Radiative–Radiative-Coupling in a Terahertz Metal–Graphene Metamaterial. Crystals. 2019; 9(3):146. https://doi.org/10.3390/cryst9030146
Chicago/Turabian StyleWang, Guanqi, Xianbin Zhang, Lei Zhang, and Xuyan Wei. 2019. "Dynamically Tunable Plasmon-Induced Transparency Based on Radiative–Radiative-Coupling in a Terahertz Metal–Graphene Metamaterial" Crystals 9, no. 3: 146. https://doi.org/10.3390/cryst9030146
APA StyleWang, G., Zhang, X., Zhang, L., & Wei, X. (2019). Dynamically Tunable Plasmon-Induced Transparency Based on Radiative–Radiative-Coupling in a Terahertz Metal–Graphene Metamaterial. Crystals, 9(3), 146. https://doi.org/10.3390/cryst9030146

