Introducing Magnetism into 2D Nonmagnetic Inorganic Layered Crystals: A Brief Review from First-Principles Aspects
Abstract
1. Introduction
2. Computational Algorithms
3. Magnetic Properties
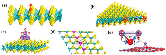
3.1. Magnetic Materials Designs on Low-Dimensional MoS2 Matrices
3.2. Introducing Magnetism into Other Low-Dimensional Chalcogenides and Nitrides
3.3. Other Synthetic Systems: m-ZnO and g-C2N
3.4. Layered Transition Metal Dihalides and Trihalides
4. Magnetism Mechanisms: From Electronic Structural Analysis to Magnetic Interactions
4.1. Analysis from Electronic Structures
4.2. Magnetic Interactions
5. Possible Synthesis Routes
6. Concluding Remarks and Outlooks
Acknowledgments
Author Contributions
Conflicts of Interest
References
- Novoselov, K.S.; Geim, A.K.; Morozov, S.V.; Jiang, D.; Zhang, Y.; Dubonos, S.V.; Grigorieva, I.V.; Firsov, A.A. Electric field effect in atomically thin carbon films. Science 2004, 306, 666–669. [Google Scholar] [CrossRef] [PubMed]
- Novoselov, K.S.; Geim, A.K.; Morozov, S.V.; Jiang, D.; Katsnelson, M.I.; Grigorieva, I.V.; Dubonos, S.V.; Firsov, A.A. Two-dimensional gas of massless Dirac fermions in graphene. Nature 2005, 438, 197–200. [Google Scholar] [CrossRef] [PubMed]
- Novoselov, K.S.; Jiang, D.; Schedin, F.; Booth, T.J.; Khotkevich, V.V.; Morozov, S.V.; Geim, A.K. Two-dimensional atomic crystals. Proc. Natl. Acad. Sci. USA 2005, 102, 10451–10453. [Google Scholar] [CrossRef] [PubMed]
- Zhu, F.F.; Chen, W.J.; Xu, Y.; Gao, C.L.; Guan, D.D.; Liu, C.H.; Qian, D.; Zhang, S.C.; Jia, J.F. Epitaxial growth of two-dimensional stanene. Nat. Mater. 2015, 14, 1020–1025. [Google Scholar] [CrossRef] [PubMed]
- Wu, M.; Fu, H.; Zhou, L.; Yao, K.; Zeng, X.C. Nine new phosphorene polymorphs with non-honeycomb structures: A much extended family. Nano Lett. 2015, 15, 3557–3562. [Google Scholar] [CrossRef] [PubMed]
- Li, L.; Yu, Y.; Ye, G.J.; Ge, Q.; Ou, X.; Wu, H.; Feng, D.; Chen, X.H.; Zhang, Y. Black phosphorus field-effect transistors. Nat. Nanotechnol. 2014, 9, 372–377. [Google Scholar] [CrossRef] [PubMed]
- Shi, L.; Zhao, T. Recent advances in inorganic 2D materials and their applications in lithium and sodium batteries. J. Mater. Chem. A 2017, 5, 3735–3758. [Google Scholar] [CrossRef]
- Tenne, R. Inorganic nanotubes and fullerene-like nanoparticles. Nat. Nanotechnol. 2006, 21, 103–111. [Google Scholar] [CrossRef] [PubMed]
- Geim, A.K.; Grigorieva, I.V. Van der Waals heterostructures. Nature 2013, 499, 419–425. [Google Scholar] [CrossRef] [PubMed]
- Mak, K.F.; Lee, C.; Hone, J.; Shan, J.; Heinz, T.F. Atomically thin MoS2: A new direct-gap semiconductor. Phys. Rev. Lett. 2010, 105, 136805. [Google Scholar] [CrossRef] [PubMed]
- Tongay, S.; Zhou, J.; Ataca, C.; Lo, K.; Matthews, T.S.; Li, J.; Grossman, J.C.; Wu, J. Thermally driven crossover from indirect toward direct bandgap in 2D semiconductors: MoSe2 versus MoS2. Nano Lett. 2012, 12, 5576–5580. [Google Scholar] [CrossRef] [PubMed]
- Radenovic, B.; Radenovic, A.; Brivio, J.; Giacometti, V.; Kis, A. Single-layer MoS2 transistors. Nat. Nanotechnol. 2011, 6, 147–150. [Google Scholar] [CrossRef]
- Manzeli, S.; Ovchinnikov, D.; Pasquier, D.; Yazyev, O.V.; Kis, A. 2D transition metal dichalcogenides. Nat. Rev. Mater. 2017, 2, 17033. [Google Scholar] [CrossRef]
- Delley, B. An all-electron numerical method for solving the local density functional for polyatomic molecules. J. Chem. Phys. 1990, 92, 508–517. [Google Scholar] [CrossRef]
- Soler, J.M.; Artacho, E.; Gale, J.D.; García, A.; Junquera, J.; Ordejón, P.; Sánchez-Portal, D. The SIESTA method for ab initio order-N materials simulation. J. Phys. Condens. Matter 2002, 14, 2745. [Google Scholar] [CrossRef]
- Kresse, G.; Hafner, J. Ab initio Molecular Dynamics for Liquid Metals. Phys. Rev. B 1993, 47, 558–561. [Google Scholar] [CrossRef]
- Gonze, X.; Beuken, J.M.; Caracas, R.; Detraux, F.; Fuchs, M.; Rignanese, G.M.; Sindic, L.; Verstraete, M.; Zerah, G.; Jollet, F.; et al. First-principles Computation of Material Properties: The ABINIT Software Project. Comput. Mater. Sci. 2002, 25, 478–492. [Google Scholar] [CrossRef]
- Giannozzi, P.; Baroni, S.; Bonini, N.; Calandra, M.; Car, R.; Cavazzoni, C.; Ceresoli, D.; Chiarotti, G.L.; Cococcioni, M.; Dabo, I.; et al. QUANTUM ESPRESSO: A Modular and Open-Source Software Project for Quantum Simulations of Materials. J. Phys. Condens. Matter 2009, 21, 395502. [Google Scholar] [CrossRef] [PubMed]
- Clark, S.J.; Segall, M.D.; Pickard, C.J.; Hasnip, P.J.; Probert, M.I.; Refson, K.; Payne, M.C. First Principles Methods Using CASTEP. Z. Kristallogr. Cryst. Mater. 2005, 220, 567–570. [Google Scholar] [CrossRef]
- Perdew, J.P.; Wang, Y. Accurate and Simple Analytic Representation of the Electron-Gas Correlation Energy. Phys. Rev. B 1992, 45, 13244–13249. [Google Scholar] [CrossRef]
- Krukau, A.V.; Vydrov, O.A.; Izmaylov, A.F.; Scuseria, G.E. Influence of the exchange screening parameter on the performance of screened hybrid functionals. J. Chem. Phys. 2006, 125, 224106. [Google Scholar] [CrossRef] [PubMed]
- Ortmann, F.; Bechstedt, F.; Schmidt, W.G. Semiempirical van der Waals correction to the density functional description of solids and molecular structures. Phys. Rev. B 2006, 73, 205101. [Google Scholar] [CrossRef]
- Dietl, T.; Ohno, H.; Matsukura, F.; Cibert, J.; Ferrand, D. Zener model description of ferromagnetism in zinc-blende magnetic semiconductors. Science 2000, 287, 1019–1022. [Google Scholar] [CrossRef] [PubMed]
- Dietl, T.; Ohno, H. Dilute ferromagnetic semiconductors: Physics and spintronic structures. Rev. Mod. Phys. 2014, 86, 187–251. [Google Scholar] [CrossRef]
- Dietl, T.; Sato, K.; Fukushima, T.; Bonanni, A.; Jamet, M.; Barski, A.; Kuroda, S.; Tanaka, M.; Hai, P.N.; Katayama-Yoshida, H. Spinodal nanodecomposition in semiconductors doped with transition metals. Rev. Mod. Phys. 2015, 87, 1311. [Google Scholar] [CrossRef]
- Rhim, S.H.; Hong, S.C. Introduction to First-principles Study in Magnetism: A Brief Guide to Nonexperts. J. Korean Magn. Soc. 2017, 57, 190–197. [Google Scholar] [CrossRef]
- Cohen, S.R.; Rapoport, L.; Ponomarev, E.A.; Cohen, H.; Tsirlina, T.; Tenne, R.; Lévy-Clément, C. The tribological behavior of type II textured MX2 (M = Mo, W, X = S, Se) films. Thin Solid Films 1998, 324, 190–197. [Google Scholar] [CrossRef]
- Wang, Q.H.; Kalantar-Zadeh, K.; Kis, A.; Coleman, J.N.; Strano, M.S. Electronics and optoelectronics of two-dimensional transition metal dichalcogenides. Nat. Nanotechnol. 2012, 7, 699–712. [Google Scholar] [CrossRef] [PubMed]
- Lopez-Sanchez, O.; Lembke, D.; Kayci, M.; Radenovic, A.; Kis, A. Ultrasensitive photodetectors based on monolayer MoS2. Nat. Nanotechnol. 2013, 8, 497–501. [Google Scholar] [CrossRef] [PubMed]
- Pankratov, V.; Hoszowska, J.; Dousse, J.-C.; Huttula, M.; Kis, A.; Krasnozhon, D.; Zhang, M.; Cao, W. Vacuum Ultraviolet Excitation Luminescence Spectroscopy of Few-Layered MoS2. J. Phys. Condens. Matter 2016, 28, 015301. [Google Scholar] [CrossRef] [PubMed]
- Ma, J.; Zhang, Q.; Yang, J.; Feng, S.; Lei, M.; Quhe, R. Computational study of phase engineered transition metal dichalcogenides heterostructures. Comput. Mater. Sci. 2018, 142, 129–134. [Google Scholar] [CrossRef]
- Zhang, M.; Huang, Z.; Wang, X.; Zhang, H.; Li, T.; Wu, Z.; Luo, Y.; Cao, W. Magnetic MoS2 pizzas and sandwiches with Mnn (n = 1–4) cluster toppings and fillings: A first-principles investigation. Sci. Rep. 2016, 6, 19504. [Google Scholar] [CrossRef] [PubMed]
- Tongay, S.; Varnoosfaderani, S.S.; Appeleton, B.R.; Wu, J.; Hebard, A.F. Magnetic properties of MoS2: Existence of ferromagnetism. Appl. Phys. Lett. 2012, 101, 123105. [Google Scholar] [CrossRef]
- Park, K.T.; Kong, J.; Klier, K. Angle-Resolved X-ray Photoelectron Spectroscopy of in Situ Deposited Li on MoS2. J. Phys. Chem. B 2000, 104, 3145–3154. [Google Scholar] [CrossRef]
- Ding, X.Z.; Zeng, X.T.; He, X.Y.; Chen, Z. Tribological properties of Cr- and Ti-doped MoS2 composite coatings under different humidity atmosphere. Surf. Coat. Technol. 2010, 205, 224–231. [Google Scholar] [CrossRef]
- Wang, F.; Huang, W.-W.; Li, S.-Y.; Lian, A.-Q.; Zhang, X.-T.; Cao, W. The magnetic properties of FexZn1−xO synthesized via the solid-state reaction route: Experiment and theory. J. Magn. Magn. Mater. 2013, 340, 5–9. [Google Scholar] [CrossRef]
- Wang, F.; Lin, W.; Wang, L.-Z.; Ge, Y.-M.; Zhang, X.-T.; Lin, H.-R.; Huang, W.W.; Huang, J.-Q.; Cao, W. Magnetic properties of the Cu-doped ZnO: Experiments and theory. Acta. Phys. Sin. Chin. Ed. 2014, 63, 157502. [Google Scholar] [CrossRef]
- Chambers, S.A. Ferromagnetism in doped thin-film oxide and nitride semiconductors and dielectrics. Surf. Sci. Rep. 2006, 61, 345–381. [Google Scholar] [CrossRef]
- Cheng, Y.C.; Zhu, Z.Y.; Mi, W.B.; Guo, Z.B.; Schwingenschlögl, U. Prediction of two-dimensional diluted magnetic semiconductors: Doped monolayer MoS2 systems. Phys. Rev. B 2013, 87, 100401. [Google Scholar] [CrossRef]
- Mishra, R.; Zhou, W.; Pennycook, S.J.; Pantelides, S.T.; Idrobo, J.-C. Long-range ferromagnetic ordering in manganese-doped two-dimensional dichalcogenides. Phys. Rev. B 2013, 88, 144409. [Google Scholar] [CrossRef]
- Dolui, K.; Rungger, I.; Pemmaraju, D.C.; Sanvito, S. Possible doping strtegies for MoS2 monolayers: An ab initio study. Phys. Rev. B 2013, 88, 075420. [Google Scholar] [CrossRef]
- Zhang, X.J.; Wang, X.C.; Mi, W.B. Density functional theory prediction on magnetism in Gd-doped monolayer MoS2. Solid State Commun. 2015, 212, 35–40. [Google Scholar] [CrossRef]
- Williamson, I.; Li, S.; Hernadez, A.C.; Lawson, M.; Chen, Y.; Li, L. Structural, electrical, phonon, and optical properties of Ti- and V-doped two-dimensional MoS2. Chem. Phys. Lett. 2017, 674, 157–163. [Google Scholar] [CrossRef]
- Ochedowski, O.; Marinov, K.; Wilbs, G.; Keller, G.; Scheuschner, N.; Severin, D.; Bender, M.; Maultzsch, J.; Tegude, F.J.; Schleberger, M. Radiation hardness of graphene and MoS2 field effect devices against swift heavy ion irradiation. J. Appl. Phys. 2016, 113, 214306. [Google Scholar] [CrossRef]
- Cao, W.; Dousse, J.-C.; Hoszowska, J.; Kavčič, M.; Kayser, Y.; Schenker, J.L.; Žitnik, M. Double L3M ionization of Pd induced by impact with medium-energy electrons. Phys. Rev. A 2011, 83, 022708. [Google Scholar] [CrossRef]
- Kayser, Y.; Banaś, D.; Cao, W.; Dousse, J.-C.; Hoszowska, J.; Jagodziński, P.; Kavčič, M.; Kubala-Kukuś, A.; Nowak, S.; Pajek, M.; et al. Depth profiling of dopants implanted in Si using the synchrotron radiation based high-resolution grazing emission technique. X-ray Spectrom. 2012, 41, 98–104. [Google Scholar] [CrossRef]
- Wang, F.; Xu, H.; Fang, J.; Wang, G.; Zhang, X. Probing the interfacial interaction between monolayer molybdenum disulfide and Au nanoclusters. Surf. Interface Anal. 2017, 49, 858–863. [Google Scholar] [CrossRef]
- Cao, W.; Panktratov, V.; Huttula, M.; Shi, X.; Saukko, S.; Huang, Z.; Zhang, M. Gold nanoparticles on MoS2 layered crystal flakes. Mater. Chem. Phys. 2017, 158, 89–95. [Google Scholar] [CrossRef]
- Popok, V.N.; Barke, I.; Campbell, E.E.B.; Meiwes-Broer, K.-H. Cluster-surface interaction: From soft landing to implantation. Surf. Sci. Rep. 2011, 66, 347–377. [Google Scholar] [CrossRef]
- Zhang, M.; Zhang, J.; Gu, T.; Zhang, H.; Luo, Y.; Cao, W. First-principles investigations of chirality in trimetallic alloy clusters: AlMnAun (n = 1–7). J. Phys. Chem. A 2015, 119, 3458–3470. [Google Scholar] [CrossRef] [PubMed]
- Zhang, M.; He, L.M.; Zhao, L.X.; Feng, X.J.; Cao, W.; Luo, Y.H. A density functional theory study of the Au7Hn (n = 1–10) clusters. J. Mol. Struct. THEOCHEM 2009, 911, 65–69. [Google Scholar] [CrossRef]
- Zhang, M.; Zhang, J.; Feng, X.; Zhang, H.; Zhao, L.; Luo, Y.; Cao, W. Magnetic superatoms in VLin (n = 1–13) clusters: A first-principles prediction. J. Phys. Chem. A 2013, 117, 13025–13036. [Google Scholar] [CrossRef] [PubMed]
- Wang, X.; Adeleke, A.A.; Cao, W.; Luo, Y.; Zhang, M.; Yao, Y. Structures of Nanoalloy Clusters AunAln (n = 1–10) and the Growth Patterns to the Bulk Phase. J. Phys. Chem. C 2016, 120, 25588–25595. [Google Scholar] [CrossRef]
- Feng, N.; Mi, W.; Cheng, Y.; Guo, Z.; Schwingenschlögl, U.; Bai, H. First principles prediction of the magnetic properties of Fe-X6 (X = S, C, N, O, F) doped monolayer MoS2. Sci. Rep. 2014, 4, 3987. [Google Scholar] [CrossRef] [PubMed]
- Zhang, W.; Ran, X.; Zhao, H.; Wang, L. The nonmetallicity of molybdenum clusters. J. Chem. Phys. 2004, 121, 7717–7724. [Google Scholar] [CrossRef] [PubMed]
- Pis Diez, R. Density Functional Study of Small Molybdenum Clusters. Int. J. Quant. Chem. 2000, 76, 105–112. [Google Scholar] [CrossRef]
- Raghavachari, K.; Rohlfing, C.M.; Binkley, J.S. Structures and stabilities of sulfur clusters. J. Chem. Phys. 1990, 93, 5862–5874. [Google Scholar] [CrossRef]
- Wu, Z.; Wang, Y.; Ye, Y.; Feng, J.; Zhang, M.; Luo, Y.; He, L.; Cao, W. First-principles study of monolayer MoS2 with deficient and excessive Mon and Sn (n = −3 → 3) clusters on 5 × 5 supercells. Comput. Mater. Sci. 2016, 121, 124–130. [Google Scholar] [CrossRef]
- Niu, Y.; Park, S.J.; Palmer, R.E. Modification of deposited, size-selected MoS2 nanoclusters by sulphur addition: An aberration-corrected STEM study. Inorganics 2017, 5, 1. [Google Scholar] [CrossRef]
- Yue, Q.; Chang, S.; Qin, S.; Li, J. Functionalization of monolayer MoS2 by substitutional doping: A first-principles study. Phys. Lett. A 2013, 377, 1362–1367. [Google Scholar] [CrossRef]
- Wu, M.; Xu, B.; Liu, G.; Ouyang, C. First-principles study on the electronic structures of Cr- and W-doped single-layer MoS2. Acta Phys. Sin. 2013, 62, 037103. [Google Scholar] [CrossRef]
- Vähäkangas, J.; Lantto, P.; Vaara, J.; Huttula, M.; Cao, W. Orienting spins in dually doped monolayer MoS2: From one-sided to double-sided doping. Chem. Commun. 2017, 53, 5428–5431. [Google Scholar] [CrossRef] [PubMed]
- Dudarev, S.L.; Botton, G.A.; Savrasov, S.Y.; Humphreys, C.J.; Sutton, A.P. Electron-energy-loss spectra and the structural stability of nickel oxide: An LSDA+U study. Phys. Rev. B 1998, 57, 1505–1509. [Google Scholar] [CrossRef]
- Zhang, Z.; Zou, X.; Crespi, V.H.; Yakobson, B.I. Intrinsic Magnetism of Grain Boundaries in Two-Dimensional Metal Dichalcogenides. ACS Nano 2013, 7, 10475–10481. [Google Scholar] [CrossRef] [PubMed]
- Ma, Y.; Dai, Y.; Guo, M.; Niu, C.; Lu, J.; Huang, B. Electronic and magnetic properties of perfect, vacancy-doped, and nonmetal adsorbed MoSe2, MoTe2 and WS2 monolayers. Phys. Chem. Chem. Phys. 2011, 13, 15546–15553. [Google Scholar] [CrossRef] [PubMed]
- Zhang, H.; Fan, X.; Yang, Y.; Xiao, P. Strain engineering the magnetic states of vacancy-doped monolayer MoSe2. J. Alloys Compd. 2015, 635, 307–313. [Google Scholar] [CrossRef]
- Wasey, A.H.M.A.; Chakrabarty, S.; Das, G.P. Substrate induced modulation of electronic, magnetic and chemical properties of MoSe2 monolayer. AIP Adv. 2014, 4, 047107. [Google Scholar] [CrossRef]
- Liu, P.; Qin, Z.; Yue, Y.; Zuo, X. Structural, electronic, and magnetic properties of vanadium atom-adsorbed MoSe2 monolayer. Chin. Phys. B 2017, 26, 027103. [Google Scholar] [CrossRef]
- Luo, M.; Yin, H.H.; Chu, J.H. Strain-Dependent Electronic and Magnetic of Mg-Doped Monolayer of WS2. J. Supercond. Nov. Magn. 2017, 1–6. [Google Scholar] [CrossRef]
- Luo, M.; Hao, S.Y.; Yang, Y.T. Ab initio study of electronic and magnetic properties in Ni-doped WS2 monolaye. AIP Adv. 2016, 6, 085112. [Google Scholar] [CrossRef]
- Luo, M.; Shen, Y.H. Effect of Strain on Magnetic Coupling in Ga-Doped WS2 Monolayer: Ab Initio Study. J. Supercond. Nov. Magn. 2017, 1–5. [Google Scholar] [CrossRef]
- Zhao, X.; Xia, C.; Wang, T.; Dai, X. Electronic and magnetic properties of X-doped (X = Ti, Zr, Hf) tungsten disulphide monolayer. J. Alloys Compd. 2016, 654, 574–579. [Google Scholar] [CrossRef]
- Li, W.; Fang, C.; van Huis, M.A. Strong spin-orbit splitting and magnetism of point defect states in monolayer WS2. Phys. Rev. B 2016, 94, 19542. [Google Scholar] [CrossRef]
- Si, S.M.; Xue, D.S. Magnetic properties of vacancies in a graphitic boron nitride sheet by first-principles pseudopotential calculations. Phys. Rev. B 2007, 75, 193409. [Google Scholar] [CrossRef]
- Yang, J.; Kim, D.; Hong, J.; Qian, X. Magnetism in boron nitride monolayer: Adatom and vacancy defect. Surf. Sci. 2010, 604, 1603–1607. [Google Scholar] [CrossRef]
- Zhao, C.; Xu, Z.; Wang, H.; Wei, J.; Wang, W.; Bai, X.; Wang, E. Carbon-Doped Boron Nitride Nanosheets with Ferromagnetism above Room Temperature. Adv. Funct. Mater. 2014, 24, 5985–5992. [Google Scholar] [CrossRef]
- Wang, M.; Tang, S.; Ren, J.; Wang, B.; Han, Y.; Dai, Y. Magnetism in Boron Nitride Monolayer Induced by Cobalt or Nickel Doping. J. Supercond. Nov. Magn. 2017. [Google Scholar] [CrossRef]
- Ning, Z.-R.; Chen, Z.; Du, X.-J.; Ran, R.-X. Mn adsorption on C substituted BN sheet: First-principle study. Superlat. Microstr. 2013, 62, 175–181. [Google Scholar] [CrossRef]
- Ta, H.Q.; Zhao, L.; Pohl, D.; Pang, J.; Trzebicka, B.; Rellinghaus, B.; Pribat, D.; Gemming, T.; Liu, Z.; Bachmatiuk, A.; et al. Graphene-like ZnO: A Mini Review. Crystals 2016, 6, 100. [Google Scholar] [CrossRef]
- Ren, J.; Zhang, H.; Chen, X. Electronic and magnetic properties of all 3d transition-metal-doped ZnO monolayersm. Int. J. Quant. Chem. 2013, 113, 2243–2250. [Google Scholar] [CrossRef]
- Cao, W.; Pankratov, V.; Huttula, M.; Shirmane, L.; Niu, Y.R.; Wang, F. X-ray photoemission electron microscope determination of origins of room temperature ferromagnetism and photoluminescence in high co-content CoxZn1−xO films. Surf. Rev. Lett. 2014, 21, 1450058. [Google Scholar] [CrossRef]
- Zhang, M.; Shi, X.; Wang, X.; Li, T.; Huttula, M.; Luo, Y.; Cao, W. Transition Metal Adsorbed-Doped ZnO Monolayer: 2D Dilute Magnetic Semiconductor, Magnetic Mechanism, and Beyond 2D. ACS Omega 2017, 2, 1192–1197. [Google Scholar] [CrossRef]
- Mahmood, J.; Lee, E.K.; Jung, M.; Shin, D.; Jeon, I.Y.; Jung, S.M.; Choi, H.J.; Seo, J.M.; Bae, S.Y.; Sohn, S.D.; et al. Nitrogenated holey two-dimensional structures. Nat. Commun. 2015, 6, 6486. [Google Scholar] [CrossRef] [PubMed]
- Yang, Y.; Li, W.; Zhou, H.; Zhang, X.; Zhao, M. Tunable C2N Membrane for High Efficient Water Desalination. Sci. Rep. 2016, 6, 29218. [Google Scholar] [CrossRef] [PubMed]
- Qu, Y.; Li, F.; Zhao, M. Efficient hydrogen isotopologues separation through a tunable potential barrier: The case of a C2N membrane. Sci. Rep. 2017, 7, 1483. [Google Scholar] [CrossRef] [PubMed]
- Yang, Y.; Guo, M.; Zhang, G.; Li, W. Tuning the Electronic and Magnetic Properties of Porous Graphene-like Carbon Nitride through 3d Transition-Metal Doping. Carbon 2017, 117, 120–125. [Google Scholar] [CrossRef]
- Choudhuri, I.; Pathak, B. Ferromagnetism and Half-Metallicity in Atomically Thin Holey Nitrogenated Graphene Based Systems. Chem. Phys. Chem. 2017, 18. [Google Scholar] [CrossRef] [PubMed]
- Gong, S.; Wan, W.; Guan, S.; Tai, B.; Liu, C.; Fu, B.; Yang, S.A.; Yao, Y. Tunable Half-metallic Magnetism in Atom-thin Holey Two-dimensional C2N Monolayer. J. Mater. Chem. C 2017, 5, 8424–8430. [Google Scholar] [CrossRef]
- Grasso, V. Electronic Structure and Electronic Transitions in Layered Materials; D. Reidel Publishing Company: Dordrecht, The Netherlands, 1986. [Google Scholar]
- De Jongh, L.J. Magnetic Properties of Layered Transition Metal Compounds; Kluwer Academic Press: Dordrecht, The Netherlands, 1990. [Google Scholar]
- McGuire, M.A.; Dixit, H.; Cooper, V.R.; Sales, B.C. Coupling of crystal structure and magnetism in the layered, ferromagnetic insulator CrI3. Chem. Mater. 2015, 27, 612–620. [Google Scholar] [CrossRef]
- McGuire, M.A. Crystal and Magnetic Structures in Layered, Transition Metal Dihalides and Trihalides. Crystals 2017, 7, 121. [Google Scholar] [CrossRef]
- Huang, B.; Clark, G.; Navarro-Moratalla, E.; Klein, D.R.; Cheng, R.; Seyler, K.L.; Zhong, D.; Schmidgall, E.; McGuire, M.A.; Cobden, D.H.; et al. Layer-dependent ferromagnetism in a van der Waals crystal down to the monolayer limit. Nature 2017, 546, 270–273. [Google Scholar] [CrossRef] [PubMed]
- Kulish, V.V.; Huang, W. Single-layer metal halides MX2 (X = Cl, Br, I): Stability and tunable magnetism from first principles and Monte Carlo simulations. J. Mater. Chem. C 2017, 5, 8734–8741. [Google Scholar] [CrossRef]
- Mastrogiuseppe, D.; Sandler, N.; Ulloa, S.E. RKKY interaction and intervalley processes in p-doped transition-metal dichalcogenides. Phys. Rev. B 2014, 90, 161403. [Google Scholar] [CrossRef]
- Ávalos-Ovando, O.; Mastrogiuseppe, D.; Ulloa, S.E. Noncollinear exchange interaction in transition metal dichalcogenide edges. Phys. Rev. B 2016, 93, 161404. [Google Scholar] [CrossRef]
- Ávalos-Ovando, O.; Mastrogiuseppe, D.; Ulloa, S.E. Symmetries and hybridization in the indirect interaction between magnetic moments in MoS2 nanoflakes. Phys. Rev. B 2016, 94, 245429. [Google Scholar] [CrossRef]
- Ávalos-Ovando, O.; Mastrogiuseppe, D.; Ulloa, S.E. Effective dimensionality of the indirect interaction on the edges of MoS2 triangular flakes. J. Phys. Condens. Matter 2017, in press. [Google Scholar] [CrossRef]
- Mastrogiuseppe, D.; Sandler, N.; Ulloa, S.E. Hybridization and anisotropy in the exchange interaction in three-dimensional Dirac semimetals. Phys. Rev. B 2016, 93, 094433. [Google Scholar] [CrossRef]
- Campbell, V.E.; Tonelli, M.; Cimatti, I.; Moussy, J.B.; Tortech, L.; Dappe, Y.J.; Rivière, E.; Guillot, R.; Delprat, S.; Mattana, R.; et al. Engineering the magnetic coupling and anisotropy at the molecule–magnetic surface interface in molecular spintronic devices. Nat. Commun. 2016, 7, 13646. [Google Scholar] [CrossRef] [PubMed]
- Cao, J.; Yang, G.H.; Jiang, Y. Topological textures and their bifurcation processes in 2D ferromagnetic thin films. Phys. E Low-Dimens. Syst. Nanostruct. 2016, 84, 37–45. [Google Scholar] [CrossRef]
- Hoffmann, A.; Schultheiß, H. Mesoscale magnetism. Curr. Opin. Solid State Mater. Sci. 2015, 19, 253–263. [Google Scholar] [CrossRef]
- Zhang, J.-Z.; Liu, H.P.; Cao, W.; Gao, K.-L. Testing spatial noncommutativity via magnetic hyperfine structure induced by fractional angular momentum of Rydberg system. EPL Europhys. Lett. 2012, 98, 40002. [Google Scholar] [CrossRef]
- Zhang, J.-Z. Testing Spatial Noncommutativity via Rydberg Atoms. Phys. Rev. Lett. 2004, 93, 043002. [Google Scholar] [CrossRef] [PubMed]
- Li, A.; Pan, J.; Yang, Z.; Zhou, L.; Xiong, X.; Ouyang, F. Charge and strain induced magnetism in monolayer MoS2 with S vacancy. J. Magn. Magn. Mater. 2018, 451, 520–525. [Google Scholar] [CrossRef]
- Zhu, S.; Yang, C.; Li, F.; Li, T.; Zhang, M.; Cao, W. Improved photocatalytic Bi2WO6/BiOCl heterojunctions: One-step synthesis via an ionic-liquid assisted ultrasonic method and first-principles calculations. Mol. Catal. 2017, 435, 33–48. [Google Scholar] [CrossRef]
- Slobodskyy, A.H.; Dugaev, V.K.; Vieira, M. Ferromagnetic ordering in diluted magnetic semiconductors. Condens. Matter Phys. 2002, 5, 531–540. [Google Scholar] [CrossRef]
- Liu, X.; Wang, C.-Z.; Lin, H.-Q.; Ho, K.-M. Magnetic moment enhancement for Mn7 cluster on graphene. J. Phys. Chem. C 2014, 118, 19123–19128. [Google Scholar] [CrossRef]
- Xie, M.D.; Tan, C.G.; Zhou, P.; Lin, J.G.; Sun, L.Z. Ferrimagnetic half-metallic properties of Cr/Fe δ doped MoS2 monolayer. RSC Adv. 2017, 7, 20116–20122. [Google Scholar] [CrossRef]
- Shu, H.; Luo, P.; Liang, P.; Cao, D.; Chen, X. Layer-dependent dopant stability and magnetic exchange coupling of iron-doped MoS2 nanosheets. ACS Appl. Mater. Interfaces 2015, 7, 7534–7541. [Google Scholar] [CrossRef] [PubMed]
- Pan, H.; Yi, J.B.; Shen, L.; Wu, R.Q.; Yang, J.H.; Lin, J.Y.; Feng, Y.P.; Ding, J.; Van, L.H.; Yin, J.H. Room-Temperature Ferromagnetism in Carbon-Doped ZnO. Phys. Rev. Lett. 2007, 99, 127201. [Google Scholar] [CrossRef] [PubMed]
- Peng, H.; Xiang, H.J.; Wei, S.-H.; Li, S.-S.; Xia, J.-B.; Li, J. Origin and Enhancement of Hole-Induced Ferromagnetism in First-Row d0 Semiconductor. Phys. Rev. Lett. 2009, 102, 017201. [Google Scholar] [CrossRef] [PubMed]
- Wang, J.; Li, G.; Li, L. Synthesis strategies about 2D materials. In Two-Dimensional Materials—Synthesis, Characterization and Potential Applications; Nayak, P.K., Ed.; InTechOpen: Vienna, Austria, 2016; pp. 1–20. ISBN 978-953-51-2555-6. [Google Scholar]
- Lin, Z.; McCreary, A.; Briggs, N.; Subramanian, S.; Zhang, K.; Sun, Y.; Li, X.; Borys, N.J.; Yuan, H.; Fullerton-Shirey, S.K.; et al. 2D materials advances: From large scale synthesis and controlled heterostructures to improved characterization techniques, defects and applications. 2D Mater. 2016, 3, 042001. [Google Scholar] [CrossRef]
- Tedstone, A.A.; Lewis, D.J.; O’Brien, P. Synthesis, Properties, and Applications of Transition Metal-Doped Layered Transition Metal Dichalcogenides. Chem. Mater. 2016, 28, 1965–1974. [Google Scholar] [CrossRef]
- Zhang, K.; Feng, S.; Wang, J.; Azcatl, A.; Lu, N.; Addou, R.; Wang, N.; Zhou, C.; Lerach, J.; Bojan, V.; et al. Manganese Doping of Monolayer MoS2: The Substrate Is Critical. Nano Lett. 2015, 15, 6586–6591. [Google Scholar] [CrossRef] [PubMed]
- Qin, J.K.; Shao, W.Z.; Xu, C.Y.; Li, Y.; Ren, D.D.; Song, X.G.; Zhen, L. Chemical Vapor Deposition Growth of Degenerate p-Type Mo-Doped ReS2 Films and Their Homojunction. ACS Appl. Mater. Interfaces 2017, 9, 15583–15591. [Google Scholar] [CrossRef] [PubMed]
- Azcatl, A.; Qin, X.; Prakash, A.; Zhang, C.; Cheng, L.; Wang, Q.; Lu, N.; Kim, M.J.; Kim, J.; Cho, K.; et al. Covalent nitrogen doping and compressive strain in MoS2 by remote N2 plasma exposure. Nano Lett. 2016, 16, 5437–5443. [Google Scholar] [CrossRef] [PubMed]
- Wang, Y.; Tseng, L.-T.; Murmu, P.P.; Bao, N.; Kennedy, J.; Ionesc, M.; Ding, J.; Suzuki, K.; Li, S.; Yi, J. Defects engineering induced room temperature ferromagnetism in transition metal doped MoS2. Mater. Des. 2017, 121, 77–84. [Google Scholar] [CrossRef]
- Li, F.; Yang, C.; Li, Q.; Cao, W.; Li, T. The pH-controlled morphology transition of BiVO4 photocatalysts from microparticles to hollow microspheres. Mater. Lett. 2015, 145, 52–55. [Google Scholar] [CrossRef]
- Zhu, S.; Yang, X.; Li, T.; Li, F.; Cao, W. Phase and morphology controllable synthesis of superhydrophobic Sb2O3 via a solvothermal method. J. Alloys Compd. 2017, 721, 149–156. [Google Scholar] [CrossRef]
- Yang, C.; Yang, X.; Li, F.; Li, T.; Cao, W. Controlled synthesis of hierarchical flower-like Sb2WO6 microspheres: Photocatalytic and superhydrophobic property. J. Ind. Eng. Chem. 2016, 39, 93–100. [Google Scholar] [CrossRef]
- Meng, W.; Bai, L.; Li, T.; Cao, W. Comparison of synthetic routes for large-scale synthesis of spherical BiVO4 with photocatalytic and superhydrophobic properties. Chem. Lett. 2018, 47, 148–151. [Google Scholar] [CrossRef]
- Yang, C.; Li, F.; Zhang, M.; Li, T.; Cao, W. Preparation and first-principles study for electronic structures of BiOI/BiOCl composites with highly improved photocatalytic and adsorption performances. J. Mol. Catal. A Chem. 2016, 423, 1–11. [Google Scholar] [CrossRef]
- Zhu, S.; Li, Q.; Li, F.; Cao, W.; Li, T. One-pot synthesis of Ag+ doped BiVO4 microspheres with enhanced photocatalytic activity via a facile hydrothermal method. J. Phys. Chem. Solids 2016, 92, 11–18. [Google Scholar] [CrossRef]
- Zhu, S.; Li, Q.; Huttula, M.; Li, T.; Cao, W. One-pot hydrothermal synthesis of BiVO4 microspheres with mixed crystal phase and Sm3+-doped BiVO4 for enhanced photocatalytic activity. J. Mater. Sci. 2017, 52, 1679–1693. [Google Scholar] [CrossRef]
- Savjani, N.; Lewis, E.A.; Bissett, M.A.; Brent, J.R.; Dryfe, R.A.W.; Haigh, S.J.; O’Brien, P. Synthesis of Lateral Size-Controlled Monolayer 1H-MoS2@Oleylamine as Supercapacitor Electrodes. Chem. Mater. 2016, 28, 657–664. [Google Scholar] [CrossRef]
- Wang, A.; Zhang, B.; Wang, X.; Yao, N.; Gao, Z.; Ma, Y.; Zhang, L.; Ma, H. Nano-structure, magnetic and optical properties of Co-doped ZnO films prepared by a wet chemical method. J. Phys. D Appl. Phys. 2008, 41, 215308. [Google Scholar] [CrossRef]
- Narkiewicz, U.; Sibera, D.; Kuryliszyn-Kudelska, I.; Kilanski, L.; Dobrowolski, W.; Romcevic, N. Synthesis by Wet Chemical Method and Characterization of Nanocrystalline ZnO Doped with Fe2O3. Act. Phys. Pol. A 2008, 113, 1695–1700. [Google Scholar] [CrossRef]
- Ramakrishna Matte, H.S.S.; Gomathi, A.; Manna, A.K.; Late, D.J.; Datta, R.; Pati, S.K.; Rao, C.N.R. MoS2 and WS2 analogues of graphene. Angew. Chem. Inter. Ed. 2010, 49, 4059–4062. [Google Scholar] [CrossRef] [PubMed]
- Jawid, A.; Nepal, D.; Park, K.; Jespersen, M.; Qualley, A.; Mirau, P.; Drummy, L.F.; Vaia, R.A. Mechanism for Liquid Phase Exfoliation of MoS2. Chem. Mater. 2016, 28, 337–348. [Google Scholar] [CrossRef]
- Zheng, Z.D.; Wang, X.C.; Mi, W.B. Tunable electronic structure in stained two dimensional van der Waals g-C2N/XSe2 (X = Mo, W) heterostructures. Phys. E Low-Dimens. Syst. Nanostruct. 2017, 94, 148–152. [Google Scholar] [CrossRef]
- Zong, X.; Yan, H.; Wu, G.; Ma, G.; Wen, F.; Wang, L.; Li, C. Enhancement of Photocatalytic H2 Evolution on CdS by Loading MoS2 as Cocatalyst under Visible Light Irradiation. J. Am. Chem. Soc. 2008, 130, 7176–7177. [Google Scholar] [CrossRef] [PubMed]







© 2018 by the authors. Licensee MDPI, Basel, Switzerland. This article is an open access article distributed under the terms and conditions of the Creative Commons Attribution (CC BY) license (http://creativecommons.org/licenses/by/4.0/).
Share and Cite
Shi, X.; Huang, Z.; Huttula, M.; Li, T.; Li, S.; Wang, X.; Luo, Y.; Zhang, M.; Cao, W. Introducing Magnetism into 2D Nonmagnetic Inorganic Layered Crystals: A Brief Review from First-Principles Aspects. Crystals 2018, 8, 24. https://doi.org/10.3390/cryst8010024
Shi X, Huang Z, Huttula M, Li T, Li S, Wang X, Luo Y, Zhang M, Cao W. Introducing Magnetism into 2D Nonmagnetic Inorganic Layered Crystals: A Brief Review from First-Principles Aspects. Crystals. 2018; 8(1):24. https://doi.org/10.3390/cryst8010024
Chicago/Turabian StyleShi, Xinying, Zhongjia Huang, Marko Huttula, Taohai Li, Suya Li, Xiao Wang, Youhua Luo, Meng Zhang, and Wei Cao. 2018. "Introducing Magnetism into 2D Nonmagnetic Inorganic Layered Crystals: A Brief Review from First-Principles Aspects" Crystals 8, no. 1: 24. https://doi.org/10.3390/cryst8010024
APA StyleShi, X., Huang, Z., Huttula, M., Li, T., Li, S., Wang, X., Luo, Y., Zhang, M., & Cao, W. (2018). Introducing Magnetism into 2D Nonmagnetic Inorganic Layered Crystals: A Brief Review from First-Principles Aspects. Crystals, 8(1), 24. https://doi.org/10.3390/cryst8010024

