Site Identity and Importance in Cosubstituted Bixbyite In2O3
Abstract
:1. Introduction
2. Results
2.1. Solid Solution Characterization
2.2. Mg0.1In1.8Sn0.1O3 Structural Refinement
2.3. ZnxIn2−2xSnxO3 Formation Energy Computations
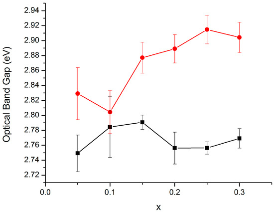
2.4. MgxIn2−2xSnxO3 Conductivity and Band Gap Measurements
3. Discussion
4. Materials and Methods
4.1. MgxIn2-2xSnxO3 Sample Preparation
4.2. MgxIn2−2xSnxO3 Sample Characterization
4.3. ZnxIn2-2xSnxO3 Computational Procedure
5. Conclusions
Supplementary Materials
Acknowledgments
Author Contributions
Conflicts of Interest
References
- Minami, T. Transparent conducting oxide semiconductors for transparent electrodes. Semicond. Sci. Technol. 2005, 20, S35–S44. [Google Scholar] [CrossRef]
- Granqvist, C.G. Transparent conductors as solar energy materials: A panoramic review. Sol. Energy Mater. Sol. Cells 2007, 91, 1529–1598. [Google Scholar] [CrossRef]
- Ginley, D.S.; Perkins, J.D. Transparent Conductors. In Handbook of Transparent Conductors; Ginley, D.S., Ed.; Springer: Boston, MA, USA, 2011; pp. 1–25. [Google Scholar]
- Frank, G.; Kostlin, H. Electrical-properties and defect model of tin-doped indium oxide layers. Appl. Phys. A 1982, 27, 197–206. [Google Scholar] [CrossRef]
- Bizo, L.; Choisnet, J.; Retoux, R.; Raveau, B. The great potential of coupled substitutions in In2O3 for the generation of bixbyite-type transparent conducting oxides, In2−2xMxSnxO3. Solid State Commun. 2005, 136, 163–168. [Google Scholar] [CrossRef]
- Hoel, C.A.; Mason, T.O.; Gaillard, J.-F.; Poeppelmeier, K.R. Transparent conducting oxides in the ZnO-In2O3-SnO2 system. Chem. Mater. 2010, 22, 3569–3579. [Google Scholar] [CrossRef]
- Harvey, S.P.; Mason, T.O.; Buchholz, D.B.; Chang, R.P.H.; Korber, C.; Klein, A. Carrier generation and inherent off-stoichiometry in Zn, Sn codoped indium oxide (ZITO) bulk and thin-film specimens. J. Am. Ceram. Soc. 2008, 91, 467–472. [Google Scholar] [CrossRef]
- Nomura, K.; Ujihira, Y.; Tanaka, S.; Matsumoto, K. Characterization and estimation of ito (indium-tin-oxide) by mossbauer spectrometry. Hyperfine Interact. 1988, 42, 1207–1210. [Google Scholar] [CrossRef]
- Nadaud, N.; Lequeux, N.; Nanot, M.; Jové, J.; Roisnel, T. Structural studies of tin-doped indium oxide (ITO) and In4Sn3O12. J. Solid State Chem. 1998, 135, 140–148. [Google Scholar] [CrossRef]
- Mryasov, O.N.; Freeman, A.J. Electronic band structure of indium tin oxide and criteria for transparent conducting behavior. Phys. Rev. B 2001, 64, 233111. [Google Scholar] [CrossRef]
- Palmer, G.B.; Poeppelmeier, K.R.; Mason, T.O. Conductivity and transparency of ZnO/SnO2-cosubstituted In2O3. Chem. Mater. 1997, 9, 3121–3126. [Google Scholar] [CrossRef]
- Lu, Y.-B.; Yang, T.L.; Ling, Z.C.; Cong, W.-Y.; Zhang, P.; Li, Y.H.; Xin, Y.Q. How does the multiple constituent affect the carrier generation and charge transport in multicomponent tcos of In-Zn-Sn oxide. J. Mater. Chem. C 2015, 3, 7727–7737. [Google Scholar] [CrossRef]
- Rickert, K.; Sedefoglu, N.; Malo, S.; Caignaert, V.; Kavak, H.; Poeppelmeier, K.R. Structural, electrical, and optical properties of the tetragonal, fluorite-related Zn0.456In1.084Ge0.460O3. Chem. Mater. 2015, 27, 5072–5079. [Google Scholar] [CrossRef]
- Proffit, D.E.; Buchholz, D.B.; Chang, R.P.H.; Bedzyk, M.J.; Mason, T.O.; Ma, Q. X-ray absorption spectroscopy study of the local structures of crystalline Zn-In-Sn oxide thin films. J. Appl. Phys. 2009, 106, 113524. [Google Scholar] [CrossRef]
- Hoel, C.A.; Gaillard, J.F.; Poeppelmeier, K.R. Probing the local structure of crystalline ZITO: In2-2xSnxZnxO3 (x ≤ 0.4). J. Solid State Chem. 2010, 183, 761–768. [Google Scholar] [CrossRef]
- Hoel, C.A.; Gallardo Amores, J.M.; Moran, E.; Angel Alario-Franco, M.; Gaillard, J.-F.; Poeppelmeier, K.R. High-pressure synthesis and local structure of corundum-type In2−2xMxSnxO3 (x ≤ 0.7). JACS 2010, 132, 16479–16487. [Google Scholar]
- Hoel, C.A.; Xie, S.; Benmore, C.; Malliakas, C.D.; Gaillard, J.-F.; Poeppelmeier, K.R. Evidence for tetrahedral zinc in amorphous In2-2xZnxSnxO3 (a-ZITO). Z. Anorg. Allg. Chem. 2011, 637, 885–894. [Google Scholar] [CrossRef]
- Hoel, C.A.; Buchholz, D.B.; Chang, R.P.H.; Poeppelmeier, K.R. Pulsed-laser deposition of heteroepitaxial corundum-type zito: Cor-In2-2xZnxSnxO3. Thin Solid Films 2012, 520, 2938–2942. [Google Scholar] [CrossRef]
- Proffit, D.E.; Philippe, T.; Emery, J.D.; Ma, Q.; Buchholz, B.D.; Voorhees, P.W.; Bedzyk, M.J.; Chang, R.P.H.; Mason, T.O. Thermal stability of amorphous Zn-In-Sn-O films. J. Electroceram. 2015, 34, 167–174. [Google Scholar] [CrossRef]
- Ni, J.; Wang, L.; Yang, Y.; Yan, H.; Jin, S.; Marks, T.J.; Ireland, J.R.; Kannewurf, C.R. Charge transport and optical properties of mocvd-derived highly transparent and conductive Mg- and Sn-doped In2O3 thin films. Inorg. Chem. 2005, 44, 6071–6076. [Google Scholar] [CrossRef] [PubMed]
- Vegard, L. The constitution of the mixed crystals and the filling of space of the atoms. Z. Phys. 1921, 5, 17–26. [Google Scholar] [CrossRef]
- Shannon, R.D. Revised effective ionic-radii and systematic studies of interatomic distances in halides and chalcogenides. Acta Crystallogr. Sect. A Found. Crystallogr. 1976, 32, 751–767. [Google Scholar] [CrossRef]
- Denton, A.R.; Ashcroft, N.W. Vegard law. Phys. Rev. A 1991, 43, 3161–3164. [Google Scholar] [CrossRef] [PubMed]
- Haas, P.; Tran, F.; Blaha, P. Calculation of the lattice constant of solids with semilocal functionals. Phys. Rev. B 2009, 79, 085104. [Google Scholar] [CrossRef]
- Sæterli, R.; Flage-Larsen, E.; Friis, J.; Løvvik, O.M.; Pacaud, J.; Marthinsen, K.; Holmestad, R. Experimental and theoretical study of electron density and structure factors in CoSb3. Ultramicroscopy 2011, 111, 847–853. [Google Scholar] [CrossRef] [PubMed]
- Hamilton, W.C. Significance tests on crystallographic r factor. Acta Crystallogr. 1965, 18, 502–510. [Google Scholar] [CrossRef]
- Sunde, T.O.L.; Lindgren, M.; Mason, T.O.; Einarsrud, M.A.; Grande, T. Solid solubility of rare earth elements (Nd, Eu, Tb) in In2-xSnxO3—Effect on electrical conductivity and optical properties. Dalton Trans. 2014, 43, 9620–9632. [Google Scholar] [CrossRef] [PubMed]
- Burstein, E. Anomalous optical absorption limit in InSb. Phys. Rev. 1954, 93, 632–633. [Google Scholar] [CrossRef]
- Moss, T.S. The interpretation of the properties of indium antimonide. Proc. Phys. Soc. Lond. Sect. B 1954, 67, 775–782. [Google Scholar] [CrossRef]
- Bizo, L.; Choisnet, J.; Raveau, B. Coupled substitutions in In2O3: New transparent conductors In2−2xM2x/3Sbx/3O3 (M = Cu, Zn). Mater. Res. Bull. 2006, 41, 2232–2237. [Google Scholar] [CrossRef]
- Larson, A.C.; Von Dreele, R.B. General structure analysis system (GSAS); Report LAUR; Los Alamos National Laboratory: Los Alamos, NM, USA; pp. 86–748.
- Toby, B.H. ‘Expgui’, a graphical user interface for gsas. J. Appl. Crystallogr. 2001, 34, 210–213. [Google Scholar] [CrossRef]
- Smits, F.M. Measurement of sheet resistivities with the 4-point probe. Bell Syst. Tech. J. 1958, 37, 711–718. [Google Scholar] [CrossRef]
- McLachlan, D.S.; Blaszkiewicz, M.; Newnham, R.E. Electrical-resistivity of composites. J. Am. Ceram. Soc. 1990, 73, 2187–2203. [Google Scholar] [CrossRef]
- Kubelka, P.; Munk, Z. An article on optics of paint layers. Z. Tech. Phys. 1931, 12, 593–603. [Google Scholar]
- Wendlandt, W.W.; Hecht, H.G. Reflectance Spectroscopy; Interscience Publishers: New York, NY, USA, 1966. [Google Scholar]
- Tandon, S.P.; Gupta, J.P. Measurement of forbidden energy gap of semiconductors by diffuse refectance technique. Phys. Status Solidi 1970, 38, 363. [Google Scholar] [CrossRef]
- Kresse, G.; Hafner, J. Ab initio molecular-dynamics for liquid-metals. Phys. Rev. B 1993, 47, 558–561. [Google Scholar] [CrossRef]
- Kresse, G.; Hafner, J. Ab-initio molecular-dynamics simulation of the liquid metal amorphous-semiconductor transition in germanium. Phys. Rev. B 1994, 49, 14251–14269. [Google Scholar] [CrossRef]
- Kresse, G.; Furthmuller, J. Efficient iterative schemes for ab initio total-energy calculations using a plane-wave basis set. Phys. Rev. B 1996, 54, 11169–11186. [Google Scholar] [CrossRef]
- Kresse, G.; Furthmuller, J. Efficiency of ab-initio total energy calculations for metals and semiconductors using a plane-wave basis set. Comput. Mater. Sci. 1996, 6, 15–50. [Google Scholar] [CrossRef]
- Perdew, J.P.; Burke, K.; Ernzerhof, M. Generalized gradient approximation made simple. Phys. Rev. Lett. 1996, 77, 3865–3868. [Google Scholar] [CrossRef] [PubMed]




| Mg Location (%) | Sn Location (%) | Rwp | χ2 | ||||||
|---|---|---|---|---|---|---|---|---|---|
| b-site | d-site | b-site | d-site | Total | XRD | ND | XRD | ND | |
| 20 | 0 | 0 | 6.67 | 0.2209 | 0.2694 | 0.0423 | 24.32 | 0.0947 | 0.1442 |
| 0 | 6.67 | 20 | 0 | 0.2198 | 0.2680 | 0.0426 | 24.09 | 0.0917 | 0.1528 |
| 20 | 0 | 20 | 0 | 0.2208 | 0.2692 | 0.0433 | 24.30 | 0.0940 | 0.1420 |
| 0 | 6.67 | 0 | 6.67 | 0.2198 | 0.2679 | 0.0431 | 24.08 | 0.0913 | 0.1544 |
| 10 | 3.33 | 10 | 3.33 | 0.2199 | 0.2681 | 0.0420 | 24.09 | 0.0898 | 0.1482 |
| Material | M Location (%) | Sn Location (%) | Method | ||
|---|---|---|---|---|---|
| b-site | d-site | b-site | d-site | ||
| Cu0.275In1.45Sn0.275O3 | 14 | 14 | 55 | 0 | Rietveld Refinement—Neutron and X-ray [5] |
| Ni0.5InSn0.5O3 | 65 | 11 | 2 | 33 | Rietveld Refinement—Neutron and X-ray [5] |
| Zn0.1In1.8Sn0.1O3 | No ordering, randomly distributed | Extended X-ray Absorption Fine Structure [14] | |||
| Zn0.2In1.6Sn0.2O3 | No ordering, randomly distributed | Extended X-ray Absorption Fine Structure [14] | |||
| Zn0.25In1.5Sn0.25O3 | 18 | 11 | 50 | 0 | Rietveld Refinement—Neutron and X-ray [5] |
| Zn0.3In1.4Sn0.3O3 | No ordering, randomly distributed | Extended X-ray Absorption Fine Structure [14] | |||
| Zn0.4In1.2Sn0.4O3 | No ordering, randomly distributed | Extended X-ray Absorption Fine Structure [14] | |||
© 2017 by the authors. Licensee MDPI, Basel, Switzerland. This article is an open access article distributed under the terms and conditions of the Creative Commons Attribution (CC BY) license ( http://creativecommons.org/licenses/by/4.0/).
Share and Cite
Rickert, K.; Harris, J.; Sedefoglu, N.; Kavak, H.; Ellis, D.E.; Poeppelmeier, K.R. Site Identity and Importance in Cosubstituted Bixbyite In2O3. Crystals 2017, 7, 47. https://doi.org/10.3390/cryst7020047
Rickert K, Harris J, Sedefoglu N, Kavak H, Ellis DE, Poeppelmeier KR. Site Identity and Importance in Cosubstituted Bixbyite In2O3. Crystals. 2017; 7(2):47. https://doi.org/10.3390/cryst7020047
Chicago/Turabian StyleRickert, Karl, Jeremy Harris, Nazmi Sedefoglu, Hamide Kavak, Donald E. Ellis, and Kenneth R. Poeppelmeier. 2017. "Site Identity and Importance in Cosubstituted Bixbyite In2O3" Crystals 7, no. 2: 47. https://doi.org/10.3390/cryst7020047
APA StyleRickert, K., Harris, J., Sedefoglu, N., Kavak, H., Ellis, D. E., & Poeppelmeier, K. R. (2017). Site Identity and Importance in Cosubstituted Bixbyite In2O3. Crystals, 7(2), 47. https://doi.org/10.3390/cryst7020047

