Phase Transformation and Hydrogen Storage Properties of an La7.0Mg75.5Ni17.5 Hydrogen Storage Alloy
Abstract
:1. Introduction
2. Experimental Section
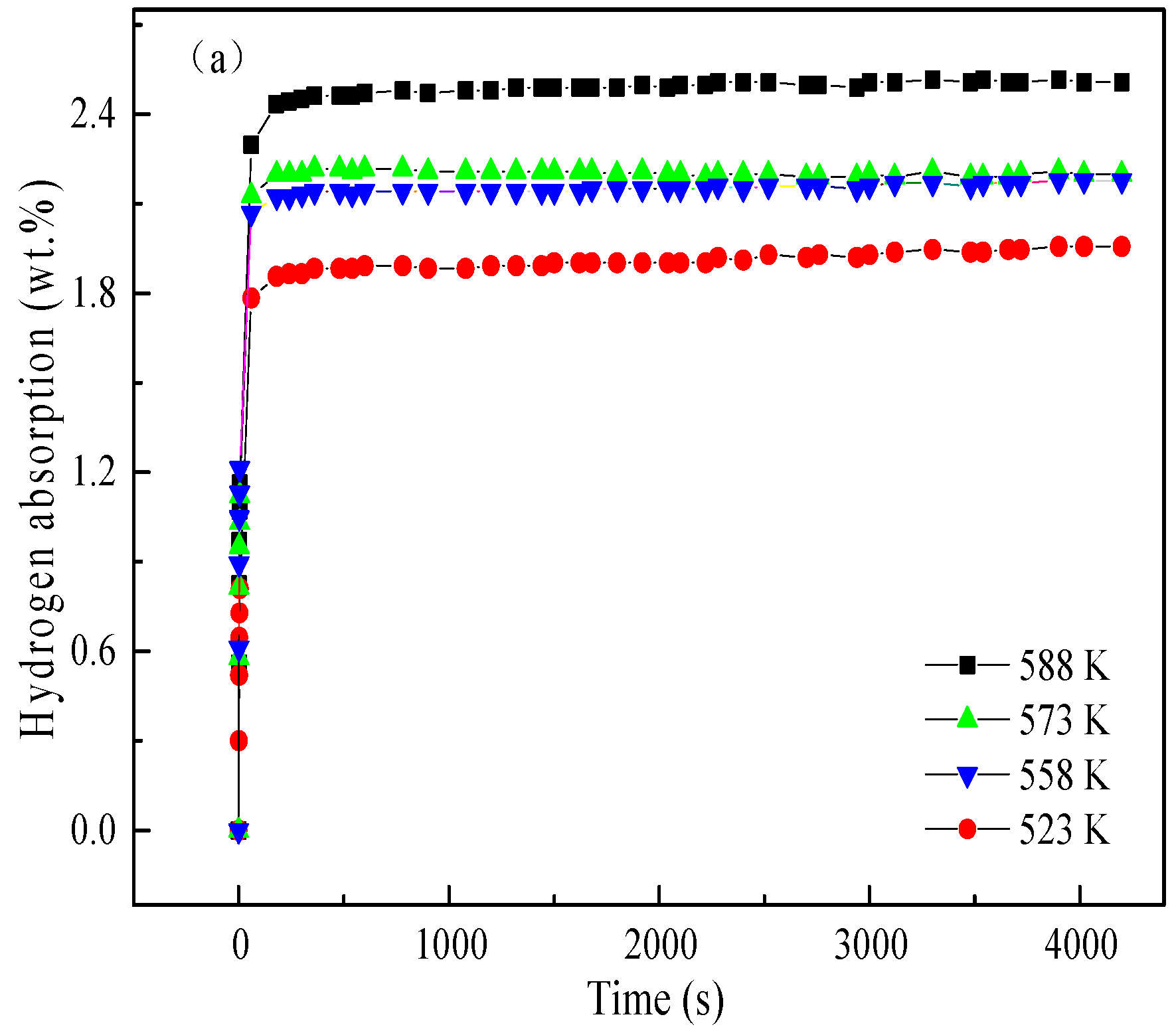
3. Results and Discussion
4. Conclusions
Acknowledgments
Author Contributions
Conflicts of Interest
References
- Liu, T.; Shen, H.L.; Liu, Y.; Xie, L. Scaled-up synthesis of nanostructured Mg-based compounds and their hydrogen storage properties. J. Power Sources 2013, 227, 86–93. [Google Scholar] [CrossRef]
- Liu, Y.F.; Yang, Y.X.; Gao, M.X.; Pan, H.G. Tailoring Thermodynamics and Kinetics for Hydrogen Storage in Complex Hydrides towards Applications. Chem. Rec. 2016, 16, 189–204. [Google Scholar] [CrossRef]
- Ma, X.J.; Xie, X.B.; Liu, P.; Xu, L.; Liu, T. Synergic catalytic effect of Ti hydride and Nb nanoparticles for improving hydrogenation and dehydrogenation kinetics of Mg-based nanocomposite. Prog. Nat. Sci-Mater. 2017, 27, 99–104. [Google Scholar] [CrossRef]
- Zhu, X.L.; Pei, L.C.; Zhao, Z.Y. The catalysis mechanism of La hydrides on hydrogen storage properties of MgH2 in MgH2 + x wt.% LaH3 (x = 0, 10, 20, and 30) composites. J. Alloys Compd. 2013, 557, 64–69. [Google Scholar] [CrossRef]
- Hu, L.; Han, M.; Li, J.H. Phase structure and hydrogen absorption property of LaMg2Cu. Mater. Sci. Eng. B. 2010, 166, 209–212. [Google Scholar] [CrossRef]
- Hu, L.; Han, S.M.; Yang, C. Phase Structure and Hydrogen Storage Property of LaMg2Cu1 − xNix (x = 0~0.90) Alloys. Chin. J. Inorg. Chem. 2010, 26, 1044–1048. [Google Scholar] [CrossRef]
- Abdellatief, M.; Campostrini, R.; Leoni, M. Effects of SnO2 on hydrogen desorption of MgH2. Int. J. Hydrog. Energy 2013, 38, 4664–4669. [Google Scholar] [CrossRef]
- Pei, P.; Song, X.P.; Liu, J. Study on the hydrogen desorption mechanism of a Mg-V composite prepared by SPS. Int. J. Hydrog. Energy 2012, 37, 984–989. [Google Scholar] [CrossRef]
- Ares, J.R.; Leardini, F.; Díaz-Chao, P. Hydrogen desorption in nanocrystalline MgH2 thin films at room temperature. J. Alloys Compd. 2010, 495, 650–654. [Google Scholar] [CrossRef]
- Wang, H.; Zhang, J.; Liu, J.W. Improving hydrogen storage properties of MgH2 by addition of alkali hydroxides. Int. J. Hydrog. Energy 2013, 38, 10932–10938. [Google Scholar] [CrossRef]
- Darriet, B.; Pezat, M.; Hbika, A. Application of magnesium rich rare-earth alloys to hydrogen storage. Int. J. Hydrog. Energy 1980, 5, 173–178. [Google Scholar] [CrossRef]
- Zou, J.X.; Zeng, X.Q.; Ying, Y.J. Study on the hydrogen storage properties of core-shell structured Mg-RE (RE = Nd, Gd, Er) nano-composites synthesized through arc plasma method. Int. J. Hydrog. Energy 2013, 19, 2337–2346. [Google Scholar] [CrossRef]
- Atias-Adrian, I.C.; Deorsola, F.A.; Ortigoza-Villalba, G.A. Development of nanostructured Mg2Ni alloys for hydrogen storage applications. Int. J. Hydrog. Energy 2011, 36, 7897–7910. [Google Scholar] [CrossRef]
- Li, X.; Yang, T.; Zhang, Y.H. Kinetic properties of La2Mg17−x wt.% Ni (x = 0–200) hydrogen storage alloys prepared by ball milling. Int. J. Hydrog. Energy 2014, 39, 13557–13563. [Google Scholar] [CrossRef]
- Balcerzak, M.; Nowak, M.; Jurczyk, M. Hydrogenation and electrochemical studies of La–Mg–Ni alloys. Int. J. Hydrog. Energy 2017, 42, 1436–1443. [Google Scholar] [CrossRef]
- Lin, H.J.; Ouyang, L.Z.; Wang, H. Phase transition and hydrogen storage properties of melt-spun Mg3LaNi0.1 alloy. Int. J. Hydrog. Energy 2012, 37, 1145–1150. [Google Scholar] [CrossRef]
- Renaudin, G.; Guenee, L.; Yvon, K. LaMg2NiH7, a novel quaternary metal hydride containing tetrahedral [NiH4]4− complexes and hydride anions. J. Alloys Compd. 2003, 350, 145–150. [Google Scholar] [CrossRef]
- Rodewald, U.C.; Chevalier, B.; Pöttgen, R. Rare earth-transition metal-magnesium compounds—An overview. J Solid State Chem. 2007, 180, 1720–1736. [Google Scholar] [CrossRef]
- Negri, S.D.; Giovannini, M.; Saccone, A. Constitutional properties of the La–Cu–Mg system at 400 °C. J. Alloys Compd. 2006, 427, 134–141. [Google Scholar] [CrossRef]
- Chio, M.D.; Ziggiotti, A.; Baricco, M. Effect of microstructure on hydrogen absorption in LaMg2Ni. Intermetallics 2008, 16, 102–106. [Google Scholar] [CrossRef]
- Teresiak, A.; Uhlemann, M.; Thomas, J. Influence of Co and Pd on the formation of nanostructured LaMg2Ni and its hydrogen reactivity. J. Alloys Compd. 2014, 582, 647–658. [Google Scholar] [CrossRef]
- Pei, L.C.; Han, S.M.; Zhu, X.L. Effect of La hydride Compound on Hydriding Process of Mg2Ni Phase in LaMg2Ni Alloy. Chin. J. Inorg. Chem. 2012, 28, 1489–1494. [Google Scholar]
- Zaluska, A.; Zaluski, L.; Ström-Olsen, J.O. Synergy of hydrogen sorption in ball-milled hydrides of Mg and Mg2Ni. J. Alloys Compd. 1999, 289, 197–206. [Google Scholar] [CrossRef]
- Li, Z.N.; Jiang, L.J.; Liu, X.P. Dehydriding properities of Mg-20%(RE-Ni)(RE = La, Y, Mm) composites. J. Chin. Rare Earth Soc. 2008, 26, 624–628. [Google Scholar]
- Zhang, H.G.; Lv, P.; Wang, Z.M. Effect of Mg content on structure, hydrogen storage properties and thermal stability of melt-spun Mgx(LaNi3)100−x alloys. Int. J. Hydrog. Energy 2014, 39, 9267–9275. [Google Scholar] [CrossRef]









| Phase | Cell Parameters (Å) | Atom Position | References | ||||||
|---|---|---|---|---|---|---|---|---|---|
| a | b | c | Atoms | x | y | z | Site | ||
| LaMg2Ni | 4.2266 | 10.3031 | 8.3601 | La | 0 | 0.4402 | 1/4 | 4c | [10] |
| Mg | 0 | 0.1543 | 0.0552 | 8f | |||||
| Ni | 0 | 0.7266 | 1/4 | 4c | |||||
| Elements (at.%) | La | Mg | Ni |
|---|---|---|---|
| A | 11.01 | 88.04 | 0.95 |
| B | 26.08 | 49.04 | 24.88 |
| C | 0.89 | 65.05 | 34.06 |
© 2017 by the authors. Licensee MDPI, Basel, Switzerland. This article is an open access article distributed under the terms and conditions of the Creative Commons Attribution (CC BY) license (http://creativecommons.org/licenses/by/4.0/).
Share and Cite
Hu, L.; Nan, R.-h.; Li, J.-p.; Gao, L.; Wang, Y.-j. Phase Transformation and Hydrogen Storage Properties of an La7.0Mg75.5Ni17.5 Hydrogen Storage Alloy. Crystals 2017, 7, 316. https://doi.org/10.3390/cryst7100316
Hu L, Nan R-h, Li J-p, Gao L, Wang Y-j. Phase Transformation and Hydrogen Storage Properties of an La7.0Mg75.5Ni17.5 Hydrogen Storage Alloy. Crystals. 2017; 7(10):316. https://doi.org/10.3390/cryst7100316
Chicago/Turabian StyleHu, Lin, Rui-hua Nan, Jian-ping Li, Ling Gao, and Yu-jing Wang. 2017. "Phase Transformation and Hydrogen Storage Properties of an La7.0Mg75.5Ni17.5 Hydrogen Storage Alloy" Crystals 7, no. 10: 316. https://doi.org/10.3390/cryst7100316
APA StyleHu, L., Nan, R.-h., Li, J.-p., Gao, L., & Wang, Y.-j. (2017). Phase Transformation and Hydrogen Storage Properties of an La7.0Mg75.5Ni17.5 Hydrogen Storage Alloy. Crystals, 7(10), 316. https://doi.org/10.3390/cryst7100316
