Optical Characterization of AlAsSb Digital Alloy and Random Alloy on GaSb
Abstract
:1. Introduction
2. Experiments
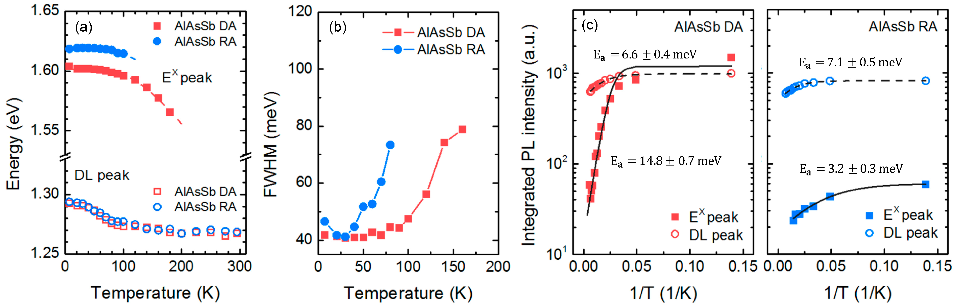
3. Results and Discussion
4. Conclusions
Acknowledgments
Author Contributions
Conflicts of Interest
References
- Dutta, P.S.; Bhat, H.L.; Kumar, V. The physics and technology of gallium antimonide: An emerging optoelectronic material. J. Appl. Phys. 1997, 81, 5821–5870. [Google Scholar] [CrossRef]
- Kroemer, H. The 6.1 Å family (InAs, GaSb, AlSb) and its heterostructures: A selective review. Phys. E Low-Dimens. Syst. Nanostruct. 2004, 20, 196–203. [Google Scholar] [CrossRef]
- Soibel, A.; Hill, C.J.; Keo, S.A.; Hoglund, L.; Rosenberg, R.; Kowalczyk, R.; Khoshakhlagh, A.; Fisher, A.; Ting, D.Z.Y.; Gunapala, S.D. Room temperature performance of mid-wavelength infrared InAsSb nBn detectors. Appl. Phys. Lett. 2014, 105, 23512. [Google Scholar] [CrossRef]
- Krier, A. Mid-Infrared Semiconductor Optoelectronics; Springer Series in Optical Sciences; Springer: London, UK, 2012; ISBN 9781849965613. [Google Scholar]
- Zhao, Z.; Laghumavarapu, R.B.; Simmonds, P.J.; Ji, H.; Liang, B.; Huffaker, D.L. Photoluminescence study of the effect of strain compensation on InAs/AlAsSb quantum dots. J. Cryst. Growth 2015, 425, 312–315. [Google Scholar] [CrossRef]
- Xie, J.; Ng, J.S.; Tan, C.H. An InGaAs/AlAsSb Avalanche Photodiode With a Small Temperature Coefficient of Breakdown. IEEE Photonics J. 2013, 5, 6800706. [Google Scholar] [CrossRef]
- Wilk, A.; Genty, F.; Fraisse, B.; Boissier, G.; Grech, P.; El Gazouli, M.; Christol, P.; Oswald, J.; Simecek, T.; Hulicius, E.; et al. MBE growth of InAs/InAsSb/AlAsSb structures for mid-infrared lasers. J. Cryst. Growth 2001, 223, 341–348. [Google Scholar] [CrossRef]
- Revin, D.G.; Wilson, L.R.; Zibik, E.A.; Green, R.P.; Cockburn, J.W.; Steer, M.J.; Airey, R.J.; Hopkinson, M. InGaAs/AlAsSb quantum cascade lasers. Appl. Phys. Lett. 2004, 85, 3992–3994. [Google Scholar] [CrossRef]
- Xie, S.; Tan, C.H. AlAsSb Avalanche Photodiodes With a Sub-mV/K Temperature Coefficient of Breakdown Voltage. IEEE J. Quantum Electron. 2011, 47, 1391–1395. [Google Scholar] [CrossRef]
- Woodson, M.E.; Ren, M.; Maddox, S.J.; Chen, Y.; Bank, S.R.; Campbell, J.C. Low-noise AlInAsSb avalanche photodiode. Appl. Phys. Lett. 2016, 108, 81102. [Google Scholar] [CrossRef]
- Stringfellow, G.B. Miscibility gaps in quaternary III/V alloys. J. Cryst. Growth 1982, 58, 194–202. [Google Scholar] [CrossRef]
- Wang, C.A. Progress and continuing challenges in GaSb-based III–V alloys and heterostructures grown by organometallic vapor-phase epitaxy. J. Cryst. Growth 2004, 272, 664–681. [Google Scholar] [CrossRef]
- Zhang, Y.H. Accurate control of As and Sb incorporation ratio during solid-source molecular-beam epitaxy. J. Cryst. Growth 1995, 150, 838–843. [Google Scholar] [CrossRef]
- Maddox, S.J.; March, S.D.; Bank, S.R. Broadly Tunable AlInAsSb Digital Alloys Grown on GaSb. Cryst. Growth Des. 2016, 16, 3582–3586. [Google Scholar] [CrossRef]
- Kaspi, R.; Donati, G.P. Digital alloy growth in mixed As/Sb heterostructures. J. Cryst. Growth 2003, 251, 515–520. [Google Scholar] [CrossRef]
- Kaspi, R.; Ongstad, A.; Dente, G.C.; Chavez, J.; Tilton, M.L.; Gianardi, D. High power and high brightness from an optically pumped InAs/InGaSb type-II midinfrared laser with low confinement. Appl. Phys. Lett. 2002, 81, 406–408. [Google Scholar] [CrossRef]
- Mourad, C.; Gianardi, D.; Malloy, K.J.; Kaspi, R. 2 μm GaInAsSb/AlGaAsSb midinfrared laser grown digitally on GaSb by modulated-molecular beam epitaxy. J. Appl. Phys. 2000, 88, 5543–5546. [Google Scholar] [CrossRef]
- Bennett, B.R.; Ancona, M.G.; Boos, J.B.; Canedy, C.B.; Khan, S.A. Strained GaSb/AlAsSb quantum wells for p-channel field-effect transistors. J. Cryst. Growth 2008, 311, 47–53. [Google Scholar] [CrossRef]
- Bracker, A.S.; Yang, M.J.; Bennett, B.R.; Culbertson, J.C.; Moore, W.J. Surface reconstruction phase diagrams for InAs, AlSb, and GaSb. J. Cryst. Growth 2000, 220, 384–392. [Google Scholar] [CrossRef]
- O’Donnell, K.P.; Chen, X. Temperature dependence of semiconductor band gaps. Appl. Phys. Lett. 1991, 58, 2924–2926. [Google Scholar] [CrossRef]
- Sela, I.; Bolognesi, C.R.; Kroemer, H. Single-mode behavior of AlSb(1−x)Asx alloys. Phys. Rev. B 1992, 46, 16142–16143. [Google Scholar] [CrossRef]
- Kawamura, Y.; Gomyo, A.; Suzuki, T.; Higashino, T.; Inoue, N. Band-Gap Change in Ordered/Disordered GaAs1−ySby Layers Grown on (001) and (111)B InP Substrates. Jpn. J. Appl. Phys. 2002, 41, L447. [Google Scholar] [CrossRef]
- Kwon, O.; Lin, Y.; Boeckl, J.; Ringel, S.A. Growth and properties of digitally-alloyed AlGaInP by solid source molecular beam epitaxy. J. Electron. Mater. 2005, 34, 1301–1306. [Google Scholar] [CrossRef]
- As, D.J.; Schmilgus, F.; Wang, C.; Schöttker, B.; Schikora, D.; Lischka, K. The near band edge photoluminescence of cubic GaN epilayers. Appl. Phys. Lett. 1997, 70, 1311–1313. [Google Scholar] [CrossRef]
- Schmidt, T.; Lischka, K.; Zulehner, W. Excitation-power dependence of the near-band-edge photoluminescence of semiconductors. Phys. Rev. B 1992, 45, 8989–8994. [Google Scholar] [CrossRef]
- Lieten, R.R.; Bustillo, K.; Smets, T.; Simoen, E.; Ager, J.W.; Haller, E.E.; Locquet, J.P. Photoluminescence of bulk germanium. Phys. Rev. B 2012, 86, 35204. [Google Scholar] [CrossRef]
- Wang, G.; Liang, B.; Juang, B.C.; Das, A.; Debnath, M.C.; Huffaker, D.L.; Mazur, Y.I.; Ware, M.E.; Salamo, G.J. Comparative study of photoluminescence from In0.3Ga0.7As/GaAs surface and buried quantum dots. Nanotechnology 2016, 27, 465701. [Google Scholar] [CrossRef] [PubMed]
- Ma, Y.J.; Zhang, Y.G.; Gu, Y.; Xi, S.P.; Chen, X.Y.; Liang, B.; Juang, B.C.; Huffaker, D.L.; Du, B.; Shao, X.M.; et al. Behaviors of beryllium compensation doping in InGaAsP grown by gas source molecular beam epitaxy. AIP Adv. 2017, 7. [Google Scholar] [CrossRef]
- Baranowski, M.; Kudrawiec, R.; Syperek, M.; Misiewicz, J.; Sarmiento, T.; Harris, J.S. Time-resolved photoluminescence studies of annealed 1.3-μm GaInNAsSb quantum wells. Nanoscale Res. Lett. 2014, 9, 81. [Google Scholar] [CrossRef] [PubMed]






| Sample | |||
|---|---|---|---|
| AlAsSb DA | 1.602 eV | 4.89 | 38.1 ± 3.4 meV |
| AlAsSb RA | 1.619 eV | 3.00 | 32.3 ± 9.2 meV |
© 2017 by the authors. Licensee MDPI, Basel, Switzerland. This article is an open access article distributed under the terms and conditions of the Creative Commons Attribution (CC BY) license (http://creativecommons.org/licenses/by/4.0/).
Share and Cite
Juang, B.-C.; Liang, B.; Ren, D.; Prout, D.L.; Chatziioannou, A.F.; Huffaker, D.L. Optical Characterization of AlAsSb Digital Alloy and Random Alloy on GaSb. Crystals 2017, 7, 313. https://doi.org/10.3390/cryst7100313
Juang B-C, Liang B, Ren D, Prout DL, Chatziioannou AF, Huffaker DL. Optical Characterization of AlAsSb Digital Alloy and Random Alloy on GaSb. Crystals. 2017; 7(10):313. https://doi.org/10.3390/cryst7100313
Chicago/Turabian StyleJuang, Bor-Chau, Baolai Liang, Dingkun Ren, David L. Prout, Arion F. Chatziioannou, and Diana L. Huffaker. 2017. "Optical Characterization of AlAsSb Digital Alloy and Random Alloy on GaSb" Crystals 7, no. 10: 313. https://doi.org/10.3390/cryst7100313
APA StyleJuang, B.-C., Liang, B., Ren, D., Prout, D. L., Chatziioannou, A. F., & Huffaker, D. L. (2017). Optical Characterization of AlAsSb Digital Alloy and Random Alloy on GaSb. Crystals, 7(10), 313. https://doi.org/10.3390/cryst7100313

