Abstract
Quasi-two-dimensional organic conductor λ-BETS2FeCl4 (BETS = bis(ethylenedithio)tetraselenafulvalene) transforms from a paramagnetic metal (PM) to an antiferromagnetic insulator (AFI) at a transition temperature, TMI, of 8.3 K under zero magnetic field. To understand the mechanism of this PM-AFI phase transition, we studied the thermodynamic properties of λ-BETS2FeCl4. We observed, below TMI, a six-level Schottky hump in its specific heat and a broad shoulder in its magnetic susceptibility. Just below the transition temperature TMI, about 80% of 3d spin degree of freedom is sustained. These temperature dependences clarify that π and 3d spins do not cooperatively form the AF order at TMI. In λ-BETS2FexGa1−xCl4 system, the increasing Fe 3d spin density enhances the internal magnetic field caused by π spin antiferromagnetic (AF) ordering, although the 3d spin itself maintains large entropy against the AF ordering. It was confirmed that the Fe 3d spin provided favorable conditions for this mysterious PM-AFI phase transition in the π electron system. We propose that this phase transition originates from the magnetic anisotropy introduced by the π-d interaction, which suppressed the low dimensional fluctuation in the π spin system.
1. Introduction
Several researchers have studied λ and κ-type organic conductors to discuss the relationship between magnetic ordering and superconductivity [1,2,3]. The quasi-two-dimensional organic superconductor λ-BETS2FeCl4 has a layered structure in which conductive layers composed of BETS molecules, and insulating layers composed of FeCl4 molecules with high-spin state of Fe (sd = 5/2) are arranged alternately [1]. It exhibits the magnetic field-induced superconductivity above 17 T [4], and a novel metal-insulator (MI) transition accompanied by antiferromagnetic (AF) ordering at TMI = 8.3 K under zero magnetic field [5,6]. In contrast, the isostructural nonmagnetic conductor λ-BETS2GaCl4 does not exhibit an MI transition, although it does exhibit a superconducting (SC) transition [7,8]. In the λ-BETS2FexGa1−xCl4 alloys, the PM-AFI transition is suppressed as x decreases, and then the ground state changes to a SC phase for x ≤ 0.35 from the AFI phase. It is remarkable that two successive phase transitions PM-SC-AFI take place for 0.35 ≤ x ≤ 0.5 with decreasing temperature [9]. These facts led researchers to believe that the notable magnetic and electronic properties of λ-BETS2FeCl4 were derived from the magnetic Fe ions present in the salt. In the earlier studies, it was concluded that the Fe 3d spin dominantly contributed to the formation of AF ordering, thus bringing AF ordering as well as MI transition to the π electron system [1].
In these materials, Negishi et al. reported thermal anomaly below TMI [10]. However, its origin is still unknown. In order to thermodynamically investigate how the AF ordering, which was thought to be a combination of 3d spin and π spin, is formed, we measured the specific heats of λ-BETS2MCl4 (M = Fe, Ga) and these mixed crystal systems down to 0.2 K.
We measured the specific heat by the thermal relaxation method. The sample holder made of the Stycast 1266 was located in the mixing chamber of a dilution refrigerator. A vacuum inside the holder was produced using charcoal. Since heat-contact of a thermal bath with a 3He-4He mixture in the mixing chamber was suppressed, the specific heat measurement in a wide temperature range from 0.2 to 12 K could be possible. We attached several single crystals (total sample weight: 0.120 mg) to a bolometer with Apiezon N grease. The magnetic susceptibility measurements were carried out under an external magnetic field H of 0.1 T with a superconducting quantum interference device (SQUID) magnetometer (Magnetic Property Measurement System). The evaluations of Fe contents in a mixed crystal λ-BETS2FexGa1−xCl4 were carried out using electron probe microanalysis (EPMA).
2. Results and Discussion
2.1. Large 3d Spin Degrees of Freedom
We measured the specific heat of λ-BETS2FeCl4 and nonmagnetic λ-BETS2GaCl4 by the thermal relaxation method. The specific heat of FeCl4 and GaCl4salts are indicated by open and closed circles in Figure 1, respectively. The specific heat of FeCl4 salt shows a sharp peak at the MI transition temperature (TMI ~ 8.3 K) and has a larger value than that of GaCl4 salt at the entire temperature region. In order to study the excess components of the FeCl4 salt in detail, we first estimated its lattice and electronic specific heat. We assumed that the specific heat of isostructural GaCl4 salt was equivalent to the lattice specific heat of FeCl4 salt.
Figure 1.
Temperature dependencies of the specific heat of λ-BETS2FeCl4 (○) and λ-BETS2GaCl4 (●). Reproduced with permission from JPSJ [11].
Figure 1.
Temperature dependencies of the specific heat of λ-BETS2FeCl4 (○) and λ-BETS2GaCl4 (●). Reproduced with permission from JPSJ [11].

The electronic specific heats of these two salts were clearly different since the GaCl4 salt exhibited superconductivity at 5.5 K, while the FeCl4 salt underwent an MI transition at 8.3 K. Around 5.5 K, the GaCl4 salt exhibited superconductivity of the BCS type and showed the specific heat jump 1.43 γT J/mol·K [12]. Considering the difference in these electronic specific heats, we obtained the excess specific heats ΔC (shown in Figure 2) by subtracting the lattice and electronic specific heats in the PM phase, and subtracting the lattice contribution in the AFI phase, respectively.
Figure 2.
Excess specific heat ΔC of λ-BETS2FeCl4 by subtracting the lattice and the electric specific heat estimated for λ-BETS2GaCl4. The solid curve shows the calculated specific heat based on the paramagnetic 3d spin (Fe3+sd= 5/2) system under the internal magnetic field Hπd = 4.0 T. The inset shows the energy levels of sd = 5/2 caused by Zeeman splitting. Reproduced with permission from JPSJ [11].
Figure 2.
Excess specific heat ΔC of λ-BETS2FeCl4 by subtracting the lattice and the electric specific heat estimated for λ-BETS2GaCl4. The solid curve shows the calculated specific heat based on the paramagnetic 3d spin (Fe3+sd= 5/2) system under the internal magnetic field Hπd = 4.0 T. The inset shows the energy levels of sd = 5/2 caused by Zeeman splitting. Reproduced with permission from JPSJ [11].

The open circles in Figure 2 show the excess specific heat ΔC obtained by subtraction of the lattice and electronic specific heat estimated for the GaCl4 salt from the total specific heat of the FeCl4 salt. A sharp peak was observed at 8.3 K. It should be noted that a broad hump that appears to be a Schottky-type anomaly was found in a lower temperature side of the sharp peak. If the π and 3d spins cooperatively align antiferromagnetically below TMI, as was expected for the present system, the larger peak of the specific heat would only exist at TMI, followed by a rapid reduction without the formation of the hump. This behavior is completely different from that of ΔC in Figure 2. We can speculate that the Schottky-type specific heat is derived from the paramagnetic 3d spin under the internal magnetic field induced by the π-d interaction.
Since the Schottky-type anomaly occurs for 3d or π spin systems only under the influence of a magnetic field, we calculated the temperature dependence of the specific heat of the 3d spin sd = 5/2 and π spin sπ = 1/2 systems for paramagnetic states and obtained the best fit for the excess specific heat ΔC in the case of the Fe3+ 3d spin. The energies at sd = 5/2 were split into six levels by the Zeeman splitting under an internal magnetic field Hπd ascribed to the π-d interactions, as shown in the inset of Figure 2. On the basis of the results of the energy splitting, we estimated the internal magnetic field Hπd from the π spin to the 3d spin as 4.0 T, while the internal magnetic field Hdπ caused by the 3d spin to the π electron was estimated as Hdπ = 33 T from the experimental results of the field-induced superconductivity [4,13]. We consider that this disagreement is mainly due to the different origins (sπ and sd) of Hπd and Hdπ.
The integration of ΔC/T was performed to estimate the entropy S, which derives information about the degrees of freedom, as shown in Figure 3. The resulting entropy was close to a value of Rln6 (Rln6 = 14.9 J/mol·K), i.e., the spin degrees of freedom for the 3d spin (Rln(2sd + 1), sd = 5/2). These experimental results suggest that the 3d spin degrees of freedom give a large contribution to the sharp peak as well as the Schottky-type hump. It should be noted that about 80% of the 3d spin degrees of freedom is sustained just below TMI.
Figure 3.
Temperature dependencies of spin entropy of λ-BETS2FeCl4 calculated from ΔC (○), calculated from specific heat of Schottky-type (solid curves). The dashed line shows the degrees of freedom for 3d spins. Reproduced with permission from JPSJ [11].
Figure 3.
Temperature dependencies of spin entropy of λ-BETS2FeCl4 calculated from ΔC (○), calculated from specific heat of Schottky-type (solid curves). The dashed line shows the degrees of freedom for 3d spins. Reproduced with permission from JPSJ [11].

At MI transition, π electron system transfers from the Pauli paramagnetic metal state having the entropy of π electron Sπ = γT to the antiferromagnetic insulator with Sπ = 0 because of the strong π-π exchange interaction Jππ/kB = 448 K, which is much larger than the metal-insulator transition temperature TMI [14]. The entropy difference ΔSπ in both phases corresponds to the γTMI = 0.014 × 8.3 = 0.17 J/mol·K by assuming that the electronic density of the states at Fermi level is the same with that of GaCl4 salt [12]. Its value is much smaller than the observed 3d contribution Rln6. From this result of entropy, we could not detect the large reductions of Rln2 ~ 5.7 J/mol·K accompanied with the AF ordering of π spin (sπ = 1/2). Combining the metal-insulator transition is a remarkable feature of this novel AF spin alignment.
2.2. Magnetic and Thermal Properties in AFI Phase
The magnetic susceptibility provides information about the direction and magnitude of the internal magnetic field Hπd. To clarify the origin of the splitting of the 3d spin state, we examined the magnetic susceptibility. Figure 4 illustrates the magnetic susceptibility observed under application of an external field H of 0.1 T along the c-axis. Above TMI, the magnetic susceptibility M/H shows Curie-Weiss-type behavior for sd = 5/2. At TMI, it shows a sharp step down, and subsequently, M/H reduces with decreasing temperature. We also find that M/H has a shoulder-shaped anomaly below TMI. This characteristic shoulder is observed in the curve at low temperatures, corresponding to the region where the Schottky-type specific heat anomaly is also observed. These findings suggest a common origin of the shoulder in the magnetic susceptibility curve and the Schottky-type specific heat.
Figure 4.
Magnetic susceptibility M/H of λ-BETS2FeCl4 under an external magnetic field parallel to the c-axis. The solid and dashed curves show the magnetic susceptibility calculated on the basis of the paramagnetic 3d spin model and Curie–Weiss law, respectively. Reproduced with permission from JPSJ [15].
Figure 4.
Magnetic susceptibility M/H of λ-BETS2FeCl4 under an external magnetic field parallel to the c-axis. The solid and dashed curves show the magnetic susceptibility calculated on the basis of the paramagnetic 3d spin model and Curie–Weiss law, respectively. Reproduced with permission from JPSJ [15].

This internal magnetic field Hπd is generated by the exchange interaction Jπd with the AF-ordered π spin system. The π-d interaction having the shortest contact was found to be the strongest coupling between several π-d couplings [14]. Assuming that this coupling dominates the internal magnetic field Hπd, we may ignore the other weak couplings and propose a possible spin structure in the AFI phase, as shown in Figure 5a. In this case, the internal magnetic field on the 3d spin induced by the nearest neighbor π spin is alternately oriented in the opposite direction. Since the alternating internal magnetic field begins to align the 3d spins as the temperature decreases, the magnetization of the 3d spin system will be canceled out, and so will gradually decrease in the AFI phase.
Figure 5.
(a) Schematic view of the π and 3d spin structure in the AFI phase. The open and closed arrows represent π spin sπ = 1/2 localized at the BETS dimer and Fe 3d spin sd = 5/2, respectively. After the AF ordering of π spin, the internal fields +Hπd and −Hπd are expected at the Fe sites. (b) Effective magnetic field Heff+ (Heff−) at the Fe A (B) site with the external field H parallel to the c-axis and the internal field +Hπd (−Hπd). The AF easy axis is confined to the b*c plane and makes an angle θ with respect to the c-axis [16].
Figure 5.
(a) Schematic view of the π and 3d spin structure in the AFI phase. The open and closed arrows represent π spin sπ = 1/2 localized at the BETS dimer and Fe 3d spin sd = 5/2, respectively. After the AF ordering of π spin, the internal fields +Hπd and −Hπd are expected at the Fe sites. (b) Effective magnetic field Heff+ (Heff−) at the Fe A (B) site with the external field H parallel to the c-axis and the internal field +Hπd (−Hπd). The AF easy axis is confined to the b*c plane and makes an angle θ with respect to the c-axis [16].

Next, we tried to reproduce the characteristic shoulder in the magnetic susceptibility on the basis of this spin model. Under the weak external field H = 0.1 T (<< spin-flop field HSF ~ 1 T [6]), the π spin system forms AF alignment along the easy axis and produces the internal magnetic fields +Hπd and −Hπd on the Fe 3d spin at sites A and B, respectively, where the effective magnetic field Heff± becomes Heff± = H ± Hπd, as shown in Figure 5b. We calculated the magnetizations Md+ and Md− at sites A and B, respectively, using the Brillouin function Bs(x) as
In this study, the external magnetic field is applied along the c-axis. According to the torque measurement by Sasaki et al. [16], the c-axis is tilted by about θ = 30° from the easy axis. Considering the tilt angle θ, the total magnetization component Md parallel to H can be obtained as
where the angles α between H and Heff+ and β between H and Heff− can be determined from θ, Hπd, and H (see Figure 6b). The calculated magnetic susceptibility Md/H can well reproduce the resulting data, as shown by the solid curve in Figure 4, using the following parameter values: H = 0.1 T, θ = 25°, and Hπd = 4 T. The strength of this internal field is in good agreement with the value estimated from the Schottky specific heat. In addition, Waerenborgh et al. observed sextet Fe Mössbauer signals generated by an internal magnetic field Hπd, which supports the paramagnetic model of the Fe 3d spin [17].
Figure 6.
(a) Temperature dependence of specific heat for mixed crystals λ-BETS2FexGa1−xCl4 (○) and λ-BETS2GaCl4 (●). (b) Excess specific heat ΔC of λ-BETS2FexGa1−xCl4 obtained by subtracting lattice and electric specific heats estimated for λ-BETS2GaCl4.
Figure 6.
(a) Temperature dependence of specific heat for mixed crystals λ-BETS2FexGa1−xCl4 (○) and λ-BETS2GaCl4 (●). (b) Excess specific heat ΔC of λ-BETS2FexGa1−xCl4 obtained by subtracting lattice and electric specific heats estimated for λ-BETS2GaCl4.

In the high-temperature metallic phase, the magnetic susceptibility follows the Curie-Weiss law with 3d spin sd = 5/2, as shown by the dashed curve in Figure 4. It is notable that over the entire temperature range studied, the Fe 3d spin paramagnetic states dominate the magnetic susceptibility and specific heat. Because we can expect that for the π spin system, the temperature-independent Pauli paramagnetic susceptibility χPauli is approximately 3 × 10−4 emu, which is three orders of magnitude smaller than that for Fe 3d predicted by the Curie-Weiss law, assuming that the electronic density of states at the Fermi level is the same as that for λ-BETS2GaCl4 [12].
At TMI, the paramagnetic metal PM-AFI transition causes a sharp step down. In the metallic region, the interaction working on the 3d spins is of the Ruderman-Kittel-Kasuya-Yoshida (RKKY) type via the conduction π electrons [18]. Across the MI transition, this spin network will be cut off by the localization of π electrons. Therefore, the magnetic susceptibility curve of 3d spin changes from following the Curie-Weiss law (dashed curve in Figure 4) to the present paramagnetic model (solid curve in Figure 4). The 3d spin dominates the step down at TMI and the slow reduction in the AFI phase.
2.3. Role of Fe 3d Spin in PM-AFI Transition
Figure 6a shows the specific heats of mixed crystals λ-BETS2FexGa1−xCl4 (0.4 < x ≤ 1) and λ-BETS2GaCl4. The specific heats of λ-BETS2FexGa1−xCl4 show sharp peaks at TMI or SC-AFI transition temperature TSCI and broad humps below these sharp peaks, while non-magnetic λ-BETS2GaCl4 does not exhibit these anomalies. Because the specific heat of λ-BETS2FexGa1−xCl4 in the metallic phase was close to that of λ-BETS2GaCl4 in the metallic phase, we assumed that the lattice and electronic specific heats of isostructural λ-BETS2GaCl4 were equivalent to those of λ-BETS2FexGa1−xCl4. We obtained the excess specific heats ΔC (shown in Figure 6b) by subtracting the estimated lattice and electronic specific heat in the metal phase, and subtracting the lattice contribution in the AFI phase, respectively. In Figure 6a, broad humps are found below sharp peaks for all mixed crystals. This large value for ΔC in the low-temperature AFI phase suggests that a majority of the spin degrees of freedom in this system were maintained even after transition to the AFI phase was achieved. These anomalies in the AFI ground state of the mixed crystals contrast the critical behavior that in π-d system κ-BETS2FeBr4, Fe 3d spin (sd = 5/2) takes place at AF transition at Neel temperature [19,20].
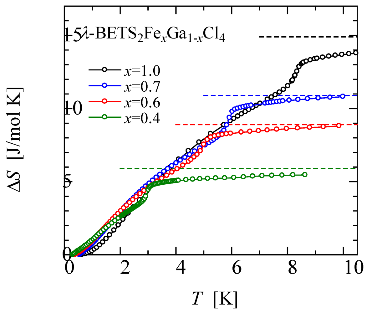
Figure 7 shows the excess entropies obtained by integrating ΔC/T over temperature. The resulting total entropies were close to the values of xR ln6 (dashed line in Figure 7) expected for the degrees of freedom of 3d high spins (sd = 5/2) per molecular formula. These experimental results suggest that the 3d spin degrees of freedom contributed substantially to the sharp peaks as well as the Schottky-type humps for all mixed crystals. During transition, π spin resulted in AF ordering and produced a strong internal magnetic field at the nearest neighboring Fe sites. At the transition temperature, an increase in the intensity of the internal magnetic field at the Fe sites caused a rapid reduction in 3d spin entropy, indicated by sharp peaks in the specific heats.
Figure 7.
Temperature dependencies of spin entropy of λ-BETS2FexGa1−xCl4 calculated from ΔC. The dashed lines show the degrees of freedom for 3d spins for values of xRln6.
Figure 7.
Temperature dependencies of spin entropy of λ-BETS2FexGa1−xCl4 calculated from ΔC. The dashed lines show the degrees of freedom for 3d spins for values of xRln6.

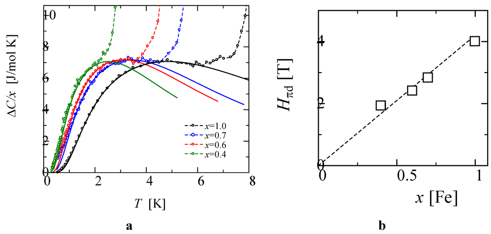
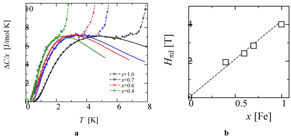
To discuss the origin of this transition, we investigated the dependence of excess specific heat on Fe content. Figure 8a indicates excess specific heats normalized by Fe content ΔC/x. The maximum of these broad humps gradually shifts to a lower temperature with decreasing x. The broad humps of all mixed crystals could be fitted to the calculated Schottky specific heats of sd = 5/2 (solid curves in Figure 8a).
Figure 8.
(a) Temperature dependencies of excess specific heat divided by Fe content ΔC/x. The solid curves show the 6-level Schottky specific heats, which are based on the paramagnetic 3d spin (s = 5/2) system under the internal magnetic field Hπd. The broad maximum of the Schottky specific heat shifts to lower temperature with decreasing Hπd. (b) Fe density dependence of Hπd.
Figure 8.
(a) Temperature dependencies of excess specific heat divided by Fe content ΔC/x. The solid curves show the 6-level Schottky specific heats, which are based on the paramagnetic 3d spin (s = 5/2) system under the internal magnetic field Hπd. The broad maximum of the Schottky specific heat shifts to lower temperature with decreasing Hπd. (b) Fe density dependence of Hπd.

As we approach the transition temperature, the experimental data deviate from the solid curves because of the formation of sharp peaks. The sharp peaks are attributed to the rapid enhancement of the internal magnetic field at the Fe sites accompanied with the development of spontaneous magnetization in the π spin system. When the π magnetization reaches saturation, ΔC follows the calculated Schottky curves under fixed internal magnetic fields Hπd. The intensity of Hπd estimated from the agreement between the ΔC data and the calculated curves were proportional to the x values, as shown in Figure 8b. However, these experimental results are very puzzling because the high density of paramagnetic Fe 3d spin increased the internal magnetic field Hπd, owing to the saturation magnetization of the AF ordered π spin and increased the PM-AFI transition temperature. These results clarify that the Fe 3d spin plays a crucial role in stabilizing AF ordering in the π spin system. Further analysis of the sharp peaks enables a measurement of the strong temperature dependence of the internal magnetic field in the vicinity of the transition temperature and gives information about a characteristic critical behavior of the spontaneous magnetization in the low-dimensional π spin system. The detailed studies of this critical behavior will be reported in our next paper.
Figure 9 shows a plot of ΔC/x versus the temperature normalized by each internal magnetic field kBT/gμBHπd. These normalized data fit to one of the curves obtained at the temperatures studied. The sharp peaks as well as the Schottky-type broad humps could be normalized in the high Fe-content region of x > 0.5, where the PM-AFI transition occurs [9]. In the low Fe-content region (0.3 < x < 0.5), the Schottky term could be reduced to the same universal curve; however, the sharp peak at the phase transition could not be normalized, because at peak temperatures, the SC-AFI transition occurred instead of the PM-AFI transition (see the inset of Figure 9). It should be noted that at the PM-AFI transition, the phase transition temperatures as well as the Schottky specific heats could be scaled by internal magnetic field Hπd. These scaling rules clarify that the internal magnetic field drove the PM-AFI transition.
Figure 9.
ΔC/x versus the temperature normalized by the internal magnetic field kBT/gμBHπd. The inset is T-x phase diagram of λ-BETS2FexGa1−xCl4 [9].
Figure 9.
ΔC/x versus the temperature normalized by the internal magnetic field kBT/gμBHπd. The inset is T-x phase diagram of λ-BETS2FexGa1−xCl4 [9].

We have a possible explanation for the role of Fe 3d spins in PM-AFI transitions and propose a mechanism for this peculiar phase transition, in which the fluctuation of the π spin system is suppressed by magnetic anisotropy introduced by Fe 3d spin via the π-d interaction. Magnetic susceptibility measurements suggested that the π spin system, which exhibits isotropic magnetic properties in ordinary organic conductors, has finite anisotropy in λ-BETS2FeCl4 [5]. A decrease in Fe content weakens the anisotropic magnetic properties, i.e., the spin-flop fields HSF in magnetization [21]. These results suggest that the magnetic anisotropy of the π spin system originates from the anisotropic crystal field surrounding the Fe 3d spin system through the π-d interaction; this Fe-induced anisotropy suppresses two-dimensional fluctuation in the present π spin system and increases the PM-AFI transition temperature.
We have studied the critical behavior of the PM-AFI transition for the λ-BETS2FeCl4 system, measuring the excess magnetic specific heat. We estimated the critical process of the spontaneous magnetization of π spin in the vicinity of the transition temperature. We could observe the low dimensional criticality of the magnetization of π spin. We considered that the magnetic anisotropy induced by π-d interactions transfer the π spin from the two-dimensional (2D) Heisenberg spin system to the 2D Ising one having the easy axis. Antiferromagnetic order cannot be established in 2D Heisenberg spin systems. In contrast, 2D Ising spin system exhibits long-range magnetic order. To find unambiguous evidence for 2D long-range ordering in the AFI phase, a more detailed study on the criticality of this phase transition is now in progress.
3. Conclusions
We have studied the thermodynamic properties of λ-BETS2FexGa1−xCl4 (0 ≤ x ≤ 1) to clarify the π and 3d spin states in the AFI ground state and the mechanism of phase transition from PM to AFI in this system. We observed, below TMI, a characteristic shoulder in the magnetic susceptibility where the Schottky anomaly is observed in the specific heat. The paramagnetic 3d spin state surrounded by an AF-ordered π spin well reproduces the observable magnetic susceptibility and specific heat in the AFI ground state of λ-BETS2FexGa1−xCl4. The 3d spin degrees of freedom in the AFI phase enable precise evaluation of the internal magnetic fields Hπd induced by the π spin ordering, where Hπd were proportional to the Fe content in λ-BETS2FexGa1−xCl4 system. We concluded that Fe 3d spin provides favorable conditions for the PM-AFI transition in a strongly-correlated π electron system. Based on these results, we proposed a new mechanism of PM-AFI transition.
Acknowledgments
We thank H. Kobayashi, A. Kobayashi, B. Zhou, R. Kato and M. Ogata for valuable discussions and comments. This work was partially supported by a Grant-In-Aid for Scientific Research from the Ministry of Education, Culture, Sports, Science and Technology of Japan (Nos. 22-10866, 15340123, and 21110520), and Research Fellowships from the Japan Society for the Promotion of Science for Young Scientists.
References
- Kobayashi, H.; Tomita, H.; Naito, T.; Kobayashi, A.; Sakai, F.; Watanabe, T.; Cassoux, P. New BETS conductors with magnetic anions. J. Am. Chem. Soc. 1996, 118, 368–377. [Google Scholar] [CrossRef]
- Akutsu, H.; Arai, E.; Kobayashi, H. Highly correlated organic conductor with magnetic anions exhibiting a π-d Coupled Metal-Insulator Transition, λ-(BETS)2FeBrxCl4−x. Am. Chem. Soc. 1997, 119, 12681–12682. [Google Scholar] [CrossRef]
- Kobayashi, H.; Cui, H.; Kobayashi, A. Organic metals and superconductors based on BETS. Chem. Rev. 2004, 104, 5265–5288. [Google Scholar] [CrossRef]
- Uji, S.; Shinagawa, H.; Terashima, T.; Yakabe, T.; Terai, Y.; Tokumoto, M.; Kobayashi, A.; Tanaka, H.; Kobayashi, H. Magnetic-field-induced superconductivity in a two-dimensional organic conductor. Nature 2001, 410, 908–910. [Google Scholar] [CrossRef]
- Tokumoto, M.; Naito, T.; Kobayashi, H.; Kobayashi, A.; Laulhin, V.; Brossard, V.N.; Cassoux, L.P. Magnetic anisotropy of organic conductor λ-(BETS)2FeCl4. Synth. Met. 1997, 86, 2161–2162. [Google Scholar] [CrossRef]
- Brossard, L.; Clerac, R.; Coulon, C.; Tokumoto, M.; Ziman, T.; Petrov, D.K.; Laukin, V.N.; Naughton, M.J.; Audouard, A.; Goze, F.; et al. Interplay between chains of S = 5/2 localised spins and two-dimensional sheets of organic donors in the synthetically built magnetic multilayer λ-(BETS)2FeCl4. Eur. Phys. J. B 1998, 1, 439–452. [Google Scholar]
- Kobayashi, A.; Udagawa, T.; Tomita, H.; Naito, T.; Kobayashi, H. New Organic Metals Based on BETS Compounds with MX4− Anions (BETS = bis(ethylenedithio)tetraselenafulvalene; M = Ga, Fe, In; X = Cl, Br). Chem. Lett. 1993, 22, 2179–2182. [Google Scholar]
- Kobayashi, H.; Udagawa, T.; Tomita, H.; Bun, K.; Naito, T.; Kobayashi, A. A new organic superconductor, λ-(BEDT-TSF)2GaCl4. Chem. Lett. 1993, 1559–1562. [Google Scholar]
- Cui, H.; Kobayashi, H.; Kobayashi, A. Phase diagram and anomalous constant resistivity state of a magnetic organic superconducting alloy, λ-(BETS)2FexGa1−xCl4. J. Mater. Chem. 2007, 17, 45–48. [Google Scholar] [CrossRef]
- Negishi, E.; Uozaki, H.; Ishizaki, Y.; Tsuchiya, H.; Endo, S.; Abe, Y.; Matsui, H.; Toyota, N. Specific heat studies for λ-(BEDT-TSF)2FeCl4. Synth. Met. 2003, 133–134, 555–556. [Google Scholar]
- Akiba, H.; Nakano, S.; Nishio, Y.; Kajita, K.; Zhou, B.; Kobayashi, A.; Kobayashi, H. Mysterious paramagnetic states of Fe 3d spin in antiferromagnetic insulator of λ-BETS2FeCl4 system. J. Phys. Soc. Jpn. 2009, 78. [Google Scholar] [CrossRef]
- Ishizaki, Y.; Uozaki, H.; Tsuchiya, H.; Abe, Y.; Negishi, E.; Matsui, H.; Endo, S.; Toyota, N. Specific heat of organic superconductor λ-(BEDT-TSF)2GaCl4. Synth. Met. 2003, 133, 219–220. [Google Scholar] [CrossRef]
- Hiraki, K.; Mayaffre, H.; Horvatic, M.; Berthier, C.; Uji, S.; Yamaguchi, T.; Tanaka, H.; Kobayashi, A.; Kobayashi, H.; Takahashi, T. 77Se NMR evidence for the Jaccarino-Peter mechanism in the field induced superconductor, λ-(BETS)2FeCl4. J. Phys. Soc. Jpn. 2007, 76. [Google Scholar] [CrossRef]
- Mori, T.; Katsuhara, M. Estimation of πd-interactions in organic conductors including magnetic anions. J. Phys. Soc. Jpn. 2002, 71, 826–844. [Google Scholar]
- Akiba, H.; Nobori, K.; Shimada, K.; Nishio, Y.; Kajita, K.; Zhou, B.; Kobayashi, A.; Kobayashi, H. Magnetic and thermal properties of λ-(BETS)2FeCl4 system—Fe 3d spin in antiferromagnetic insulating phase. J. Phys. Soc. Jpn. 2001, 80. [Google Scholar] [CrossRef]
- Sasaki, T.; Uozaki, H.; Endo, S.; Toyota, N. Magnetic torque of λ-(BETS)2FeCl4. Synth. Met. 2001, 120, 759–760. [Google Scholar] [CrossRef]
- Waerenborgh, J.C.; Rabaca, S.; Almeida, M.; Lopes, E.B.; Kobayashi, A.; Zhou, B.; Brooks, J.S. Mössbauer spectroscopy and magnetic transition of λ-(BETS)2FeCl4. Phys. Rev. B 2009, 81. [Google Scholar] [CrossRef]
- Cepas, O.; McKenzie, R.H.; Merino, J. Magnetic-field-induced superconductivity in layered organic molecular crystals with localized magnetic moments. Phys. Rev. B 2002, 65. [Google Scholar] [CrossRef]
- Otsuka, T; Kobayashi, A.; Miyamoto, Y.; Kiuchi, J.; Nakamura, S.; Wada, N.; Fujiwara, E.; Fujiwara, H.; Kobayashi, H. Organic antiferromagnetic metals exhibiting superconducting transitions κ-(BETS)2FeX4 (X = Cl, Br): Drastic effect of halogen substitution on the successive phase transitions. J. Solid State Chem. 2001, 159, 407–412. [Google Scholar] [CrossRef]
- Kobayashi, H.; Tanaka, H.; Ojima, E.; Fujiwara, H.; Nakazawa, Y.; Otsuka, T.; Kobayashi, A.; Tokumoto, M.; Cassoux, P. Antiferromagnetism and superconductivity of BETS conductors with Fe3+ ions. Synth. Met. 2001, 120, 663–664. [Google Scholar] [CrossRef]
- Sato, A.; Ojima, E.; Akutsu, H.; Nakazawa, Y.; Kobayashi, H. Magnetic properties of λ-BETS2(FexGa1−x)Cl4 exhibiting a superconductor-to-insulator transition (0.35 < x < 0.5). Phys. Rev. B 2000, 61, 111–114. [Google Scholar]
© 2012 by the authors; licensee MDPI, Basel, Switzerland. This article is an open-access article distributed under the terms and conditions of the Creative Commons Attribution license (http://creativecommons.org/licenses/by/3.0/).