Abstract
Electrolysis of Na and K salts of the anion dicyano(phthalocyaninato)cobalt(III) (Co(Pc)(CN)2) in ethanol yields one-dimensional partially oxidized salts of A[Co(Pc)(CN)2]2.4(EtOH) (A = Na and K). The cationic component is the supramolecular cation [A(EtOH)4]+, which forms hydrogen bonds with the CN ligands of the Co(Pc)(CN)2 units. The crystal shows metallic conductivity, in contrast to the thermally activated conductivity observed in the isomorphous tetraphenylphosphonium (TPP) salt of TPP[Co(Pc)(CN)2]2. Since the π-π interactions in these isomorphous crystals are nearly the same, the distinctive behavior of the Na and K salts may be attributed to the difference in the degree of charge disproportionation in these crystals.
1. Introduction
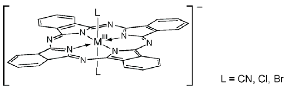
It is well known that planar phthalocyanine (Pc) complexes give one-dimensional (1-D) partially oxidized salts of [M(Pc)]Xy (M = Ni, Cu, Co, H2, etc., X = I3, BF4, PF6, etc., 0 < y < 1) in which the Pc complexes stack by metal-over-metal type overlaps when (electro)chemically oxidized [1]. Most of these salts show metallic conductivity, while some have been reported to maintain metallic behavior down to a very low temperature despite their 1-D electronic system [2]. However, we have demonstrated that axially ligated Pc complexes can give conductors with some variation of π-π stacking structures owing to the slipped stacking of the Pc units [1]. The starting Pc complexes are anionic [MIII(Pc)L2]− (Scheme 1) when the axial ligand (L) is a CN−, Br−, or Cl− anion with a trivalent central metal. Given that oxidizing the Pc π-ligand yields conductors, these are cation-deficient salts of (cation)x[MIII(Pc)L2] with 0 < x < 1. The π-π stacking structure depends on the cationic species, and conductors with a 1-D electronic system are obtained when the cations are tetraphenylphosphonium (TPP) [3] or phenyltrimethylammonium (PTMA) [4]. When the peri-xanthenoxanthene (PXX) cation radical is utilized as a cationic component, conductors with a variety of π-π stacking structures and electronic systems, viz., a ladder-type system [5], anisotropic two-dimensional (2-D) system [6], and a nearly isotropic 2-D system [7], are obtained.
Scheme 1.
Molecular structure of [M(Pc)L2]−.
Scheme 1.
Molecular structure of [M(Pc)L2]−.

Another interesting feature of the axially ligated Pc system is its ability to form π-d systems in which conduction π-electrons interact with localized d-centered magnetic moments by introducing a magnetic central metal ion. When FeIII (low-spin d5; S = 1/2) is introduced, giant negative magnetoresistance appears through π-d interactions [8,9]. In general, π-π interactions in axially ligated Pc conductors are relatively weak, resulting in charge disproportionation due to electron correlation [10]. In the Fe system, short-range antiferromagnetic interactions operate between the d-spins, and the π-d interactions enhance the localization of the π-electron charge carriers. In this case, external magnetic fields break the short-range magnetic order, which is thought to delocalize the π-electron charge carriers. At present, however, it remains unclear how the degree of charge disproportionation of the π-electrons and the magnitude of the antiferromagnetic interactions between the d-spins correlate to the appearance of negative magnetoresistance.
Since electron correlation effects are related to the degree of π-π interactions, they are believed to change with the variation of the π-π stacking structure. In fact, in the nonmagnetic CoIII (low-spin d6; S = 0) system, thermally activated conduction below room temperature in the 1-D conductor of TPP[Co(Pc)(CN)2]2 changes to metallic behavior down to 100 K in the ladder-type conductor of [PXX][Co(Pc)(CN)2]. The metallic behavior extends down to 70 K in the anisotropic 2-D conductor of [PXX][Co(Pc)(CN)2]2. Consequently, localization of the π-electron charge carriers due to charge disproportionation is suppressed down to lower temperatures when the dimensionality of the π-electron system is increased. On the other hand, charge conduction in the nearly isotropic 2-D system of [PXX][Co(Pc)(CN)2]2.CH3CN is thermally activated in the whole temperature range below room temperature owing to the weaker π-π interaction as compared to other systems. However, metallic behavior persists down to 5 K under pressure, indicating that this type of π-π stacking structure is advantageous in stabilizing metallic conduction by enhancing the π-π interactions. With the exception of the anisotropic 2-D system, the Fe analogs were successfully fabricated, and all of them were found to show giant negative magnetoresistance [4,11,12]. However, they were not suitable for a systematic study on the role of electron correlation effects in their magneto-transport properties, since their structural, electronic, and magnetic features were all different.
An ideal system to elucidate the role of electron correlation effects would be a set of conductors in which the π-π stacking structure is the same but the magnitudes of electron correlation are different. However, this is no more than a theoretical possibility, since there are clearly no guidelines for designing such crystals. If such crystals could be designed, characterization of their physical properties would shed light on electron correlation effects. We recently discovered, albeit accidentally, that a supramolecular cation composed of ethanol molecules and alkaline metal ions could give the 1-D conductors Na[Co(Pc)(CN)2]2.4EtOH and K[Co(Pc)(CN)2]2.4EtOH which are isomorphous with the TPP salt. Their lattice parameters were comparable to those of the TPP salt, and they exhibited a degree of π-π interaction that was nearly the same as that in the TPP salt. Interestingly, the alkaline metal salts showed metallic transport down to relatively low temperatures, which is indicative of depressed charge disproportionation. In this paper, we describe the structural features of the alkaline metal salts, and discuss the reasons why their charge disproportionation was depressed compared with that of the TPP salt.
2. Results and Discussion
2.1. Crystal Structures
The crystal structure K[Co(Pc)(CN)2]2.4(EtOH) is shown in Figure 1 along with that of TPP[Co(Pc)(CN)2]2. The cell parameters of Na[Co(Pc)(CN)2]2.4(EtOH), K[Co(Pc)(CN)2]2.4(EtOH), and TPP[Co(Pc)(CN)2]2 are tabulated in Table 1. It can be seen that they are completely isomorphous with each other, since they have the same space group and similar cell parameters.
Naturally, arrangement of the Pc units is almost the same as that in the TPP salt: They form a slipped-stacked 1-D chain along the c axis. The HOMO-HOMO overlap integral values of the π-ligand in this chain (see Table 1) are nearly one-half the values for ordinary face-to-face stacked 1-D conductors, which is a distinct feature of these slipped-stacked Pc conductors. In general, contraction of the lattice, which has the same effect as applied pressure, induces contraction of the interplanar distance, resulting in increased overlap integrals. However, in the case of slipped stacking of the Pc units, since contraction of the lattice induces a concomitant change in the slipping distance, the relationship between the lattice volume and overlap integral is not straightforward. In this 1-D system, the π-π interaction increases in the order Na salt < K salt < TPP salt, showing that lattice contraction does not increase the π-π interaction. This trend is consistent with the observed temperature dependence of thermoelectric power (vide infra).
Table 1.
Comparison of the lattice parameters of Na[Co(Pc)(CN)2]2.4(EtOH), K[Co(Pc)(CN)2]2.4(EtOH), and TPP[Co(Pc)(CN)2]2.
| Na[Co(Pc)(CN)2]2.4(EtOH) | K[Co(Pc)(CN)2]2.4(EtOH) | TPP[Co(Pc)(CN)2]2 | |
|---|---|---|---|
| space group | P42/n | P42/n | P42/n |
| a/Å | 21.163(4) | 21.370(2) | 21.676(8) |
| c/Å | 7.414(1) | 7.461(1) | 7.474(4) |
| V/Å3 | 3320(1) | 3407.2(6) | 3511(3) |
| temperature/K | 273 | 298 | 296 |
| overlap integral | 7.4 × 10−3 | 7.9 × 10−3 | 8.5 × 10−3 |
Figure 1.
Projections along the c axis of (a) K[Co(Pc)(CN)2]2.4(EtOH) and (b) TPP[Co(Pc)(CN)2]2. Black broken lines indicate K...O(EtOH) coordination bonds and blue dotted lines in (a) indicate OH(EtOH)...N(CN ligand) hydrogen bonds. Red symbols in (b) indicate symmetry elements of 42 axes and
axes in P42/n.
axes in P42/n.
Figure 1.
Projections along the c axis of (a) K[Co(Pc)(CN)2]2.4(EtOH) and (b) TPP[Co(Pc)(CN)2]2. Black broken lines indicate K...O(EtOH) coordination bonds and blue dotted lines in (a) indicate OH(EtOH)...N(CN ligand) hydrogen bonds. Red symbols in (b) indicate symmetry elements of 42 axes and
axes in P42/n.
axes in P42/n.
The subtle difference in the structure arises from the difference in the cationic unit. The center of the TPP cation is located at the special
position. In Na[Co(Pc)(CN)2]2.4EtOH and K[Co(Pc)(CN)2]2.4EtOH, this position is occupied by Na and K, respectively. Four EtOH molecules coordinate to the alkaline metal ion so as to satisfy this symmetry element. The Na...O and K...O distances are 2.315 Å and 2.633 Å, respectively, which are shorter than the sum of the ionic radius (Na+; 0.95 Å, K+; 1.33 Å) and van der Waals radius of oxygen (1.52 Å). A distinct feature of these supramolecular cationic units is the formation of hydrogen bonds with the axial CN ligand of the Pc unit. The OH...N hydrogen-bond distance is 2.889 Å in the Na salt and 2.858 Å in the K salt, which are substantially shorter than the O...N van der Waals contact (3.07 Å [13]). These hydrogen bonds tightly bind the Pc units and the cationic units in the ab plane, which is expected to lead to anisotropic thermal contraction of the lattice.
position. In Na[Co(Pc)(CN)2]2.4EtOH and K[Co(Pc)(CN)2]2.4EtOH, this position is occupied by Na and K, respectively. Four EtOH molecules coordinate to the alkaline metal ion so as to satisfy this symmetry element. The Na...O and K...O distances are 2.315 Å and 2.633 Å, respectively, which are shorter than the sum of the ionic radius (Na+; 0.95 Å, K+; 1.33 Å) and van der Waals radius of oxygen (1.52 Å). A distinct feature of these supramolecular cationic units is the formation of hydrogen bonds with the axial CN ligand of the Pc unit. The OH...N hydrogen-bond distance is 2.889 Å in the Na salt and 2.858 Å in the K salt, which are substantially shorter than the O...N van der Waals contact (3.07 Å [13]). These hydrogen bonds tightly bind the Pc units and the cationic units in the ab plane, which is expected to lead to anisotropic thermal contraction of the lattice.
Figure 2.
Temperature dependence of the lattice parameters of (a) TPP[Co(Pc)(CN)2]2; (b) K[Co(Pc)(CN)2]2.4(EtOH) and (c) Na[Co(Pc)(CN)2]2.4(EtOH).
Figure 2.
Temperature dependence of the lattice parameters of (a) TPP[Co(Pc)(CN)2]2; (b) K[Co(Pc)(CN)2]2.4(EtOH) and (c) Na[Co(Pc)(CN)2]2.4(EtOH).

Figure 3.
Hydrogen-bonding chain in K[Co(Pc)(CN)2]2.4(EtOH). The red broken line indicates the zigzag chain composed of [Co(Pc)(CN)2]...K(EtOH)4...[Co(Pc)(CN)2] units.
Figure 3.
Hydrogen-bonding chain in K[Co(Pc)(CN)2]2.4(EtOH). The red broken line indicates the zigzag chain composed of [Co(Pc)(CN)2]...K(EtOH)4...[Co(Pc)(CN)2] units.

We studied the anisotropic thermal response of the lattice by looking at the temperature dependence of the lattice parameters. Our results are shown in Figure 2. In contrast to the isotropic lattice contraction of TPP[Co(Pc)(CN)2]2, the thermal contraction was much smaller along the a axis than along the c axis in both the Na and K salts. However, in both salts, the thermal contraction along the a axis was still appreciable, despite the hydrogen-bonding network in the ab plane. If the hydrogen bonds were exactly parallel to the ab plane, the thermal contraction along this plane would have been rather small. However, in the present alkaline metal salts, the hydrogen bonds are not completely parallel to the ab plane. As shown in Figure 3, the hydrogen-bonding network consists of zigzag chains composed of OH...N hydrogen bonds and Na/K...O coordination bonds. In general, these bonds are expected to deform more easily than they can contract. Therefore, although the hydrogen-bonding network is in the ab plane, it cannot suppress the thermal contraction in that plane because of the zigzag connections. Of further interest is the larger thermal contraction along the c axis in the Na and K salts as compared to the TPP salt. This is considered to be due to the dense packing of the cationic units along this direction in the TPP salt, as shown by the space-filling drawing in Figure 4.
Figure 4.
Molecular stacking around the
axis in (a) K[Co(Pc)(CN)2]2.4(EtOH) and (b) TPP[Co(Pc)(CN)2]2 with space filling drawing.
axis in (a) K[Co(Pc)(CN)2]2.4(EtOH) and (b) TPP[Co(Pc)(CN)2]2 with space filling drawing.
Figure 4.
Molecular stacking around the
axis in (a) K[Co(Pc)(CN)2]2.4(EtOH) and (b) TPP[Co(Pc)(CN)2]2 with space filling drawing.
axis in (a) K[Co(Pc)(CN)2]2.4(EtOH) and (b) TPP[Co(Pc)(CN)2]2 with space filling drawing.
2.2. Physical Properties
The temperature dependence of the resistivity for the three partially oxidized salts is shown in Figure 5. The TPP salt exhibits a thermally activated type temperature dependence over the whole temperature range, although its band structure is metallic. In general, the band width in axially substituted Pc conductors is quite narrow. This induces a relatively large inter-site Coulomb repulsion, resulting in charge disproportionation. The disproportionation has been confirmed by two discernible 59Co signals at low temperature in nuclear quadrupole resonance (NQR) measurements [10]. By contrast, the K and Na salts showed a metallic temperature dependence above 70 K and 30 K, respectively. This is rather strange, given that the three salts are isomorphous and the temperature range of the metallic behavior is not proportional to the strength of the π-π interaction, as evaluated from the HOMO-HOMO overlap integral. Therefore, the strength of the π-π interaction was re-examined by thermoelectric power measurements.
Figure 6 shows the temperature dependence of the thermoelectric power. Except in the low temperature region with large noise levels, the thermoelectric power of the three 1-D salts exhibited an approximately linear relationship with temperature. The slope, which is inversely proportional to the Fermi energy, increased in the order TPP < K < Na. The band width, which corresponds to the strength of the π-π interaction, can be determined from this slope using a one-electron tight-binding approximation [14]. The estimates obtained were 0.35 ± 0.05, 0.42 ± 0.02, and 0.44 ± 0.02 eV for the Na, K, and TPP salts, respectively. These are in fairly good agreement with the overlap integral values in Table 1.
Figure 5.
Temperature dependence of the electrical resistivity along the c axis in (a) TPP[Co(Pc)(CN)2]2; (b) K[Co(Pc)(CN)2]2.4(EtOH), and (c) Na[Co(Pc)(CN)2]2.4(EtOH).
Figure 5.
Temperature dependence of the electrical resistivity along the c axis in (a) TPP[Co(Pc)(CN)2]2; (b) K[Co(Pc)(CN)2]2.4(EtOH), and (c) Na[Co(Pc)(CN)2]2.4(EtOH).

Figure 6.
Temperature dependence of the thermoelectric power along the c axis in (a) TPP[Co(Pc)(CN)2]2, (b) K[Co(Pc)(CN)2]2.4(EtOH), and (c) Na[Co(Pc)(CN)2]2.4(EtOH).
Figure 6.
Temperature dependence of the thermoelectric power along the c axis in (a) TPP[Co(Pc)(CN)2]2, (b) K[Co(Pc)(CN)2]2.4(EtOH), and (c) Na[Co(Pc)(CN)2]2.4(EtOH).

Although both band widths estimated from the thermoelectric power and overlap integral values indicate that the order of the strength of the π-π interaction is Na < K < TPP, the width of the temperature region of metallic behavior has the reverse order: Na > K > TPP. The thermally activated behavior of the TPP salt despite its metallic band structure is considered to reflect charge disproportionation due to electron correlation. However, the appearance of clear metallic temperature dependence in the Na and K salts with narrower band widths than the TPP salt suggests that the charge disproportionation is depressed in the Na and K salts. It should be noted that the electronic structure of the central Co ion is hardly altered by the small difference in the crystal structure, since it is subjected to the strong ligand field produced by the Pc and CN ligands. Therefore, the difference in transport behavior can be attributed to any one of the following three features of hydrogen bonds in alkaline metal salts: (i) Lattice contraction: The cell volume, in particular, the area of the ab plane, is smaller in the K and Na salts than in the TPP salt. (ii) Anisotropic thermal lattice contraction: Thermal lattice contraction along the c axis is more pronounced in the Na and K salts. (iii) Electronic interaction through hydrogen bonds: Hydrogen bonds are thought to induce modulation of electron density at the axial ligand and the central metal, consequently affecting the π-electron distribution and π-π interaction. We will now discuss each of these factors in turn.
(i) One can determine the effect of the lattice volume or the area of the ab plane by constructing a partially oxidized salt with larger alkaline metal ions. For this purpose, crystal growth using Rb and Cs was attempted. On the basis of the ionic radius of each alkaline metal (K+ (1.33 Å), Rb+ (1.48 Å), Cs+ (1.69 Å)), the lattice parameter a of the Rb salt is expected to be 21.79 Å and that of the Cs salt, 22.39 Å, if the same crystal structure is maintained. Thus, the ab plane in the Rb or Cs salt is expected to be larger than that in the TPP salt. However, electrolysis of Rb[Co(Pc)(CN)2] and Cs[Co(Pc)(CN)2] prepared by cation exchange of the starting salt did not give partially oxidized salts with the targeted tetragonal lattice. When the radius of the alkaline metal ion expands in the tetragonal lattice in Figure 1, the
position will expand. In order to maintain an isomorphous structure, the Pc units around the 42 axis have to move apart at the same time, which is accompanied by the expansion of the void space in the crystal. Since there is a limit to this void expansion, the maximum ab plane area available, while maintaining the tetragonal lattice, can be attained by the TPP salt. Contraction of the ab plane area is expected to induce an increase in interaction between 1-D Pc chains. As for the π-π interactions, overlap integral values along any direction perpendicular to the c axis are negligibly small.
position will expand. In order to maintain an isomorphous structure, the Pc units around the 42 axis have to move apart at the same time, which is accompanied by the expansion of the void space in the crystal. Since there is a limit to this void expansion, the maximum ab plane area available, while maintaining the tetragonal lattice, can be attained by the TPP salt. Contraction of the ab plane area is expected to induce an increase in interaction between 1-D Pc chains. As for the π-π interactions, overlap integral values along any direction perpendicular to the c axis are negligibly small.(ii) Thermal contraction of the c axis is much pronounced in the Na and K salts as shown in Figure 4. In general, applying pressure along the 1-D direction in 1-D conductors results in increased band width, leading to increased conductivity. However, in the case of slipped-stacked chains of axially ligated Pc units, pressure induces not only the reduction of the inter-planar distance but also changes the slipping distance. Indeed, the overlap integral value of the Na salt is smaller than that of the TPP salt, which has a longer c axis. The variation in the overlap integral by temperature was examined for the K salt: The value at 133 K was calculated to be 8.9 × 10−3, which is about 10% higher than the value at 298 K. The value at 133 K is almost comparable to the value of the TPP salt at room temperature. Thus, it is difficult to determine the cause of metallic behavior in the Na and K salts, as manifested by the increasing band width with decreasing temperature.
(iii) One cannot discuss this factor without data on details of the electronic states of Co and the Pc ring through the hydrogen bonds. However, factors (i) and (ii) concerning structural features of direct π-π interactions are considered not to be the main cause reducing the correlation effect in the Na and K salts, which points to electronic effects due to the hydrogen bonds as the main cause. If hydrogen bonds can mediate π-π interaction between 1-D Pc chains indirectly, they might play a role in increasing the dimensionality of the π-π interaction. Such an increase in the dimensionality of the electronic system may lead to metallic conductivity, as mentioned in the Introduction. In addition, if hydrogen bonds can produce additional correlation effects between 1-D Pc chains, they might disrupt the development of charge order in the chain and suppress the localization of charge carriers.
Apart from the hydrogen bonds, carrier doping by deprotonation of ethanol is thought to be another potential cause of the depressed charge disproportionation. If some of the ethanol molecules were deprotonated, this would reduce the oxidation state of the Pc ligand from the original formal charge of (A+)[Co3+(Pc1.5−)(CN−)2]2.4(EtOH) to (A+)[Co3+(Pc(1.5−4x)−)(CN−)2]2.4[(EtOH)1−x(EtO−)x]. Since each Pc ligand is oxidized by 1/2e in the original formal charged state, the conduction band formed by the overlapped Pc π-HOMOs is 3/4-filled. This is considered to be conducive to charge disproportionation in the 1-D system. On the other hand, if the band filling deviates from 3/4, it is expected that charge disproportionation may not develop, owing to the incommensurateness of charge distribution.
At the present stage, it is not possible to identify the mechanism for the depression of charge disproportionation in the Na and K salts. This will require more detailed data on the electronic structure of these salts.
3. Experimental Section
3.1. Materials and Crystal Growth
K[Co(Pc)(CN)2] and Na[Co(Pc)(CN)2] were prepared following the method reported [15]. Electrolysis (0.5–0.8 μA for 2–3 weeks) of the solution containing A[Co(Pc)(CN)2] (25 mg) in ethanol (30 mL) yielded needle crystals of A[Co(Pc)(CN)2]2.4(EtOH) with A = Na and K.
Crude Rb[Co(Pc)(CN)2] and Cs[Co(Pc)(CN)2] were prepared by adding, respectively, large excess amounts of RbI and CsI to homogeneous solutions of K[Co(Pc)(CN)2] or Na[Co(Pc)(CN)2] in acetone, followed by evaporation of the solvent and washing of the solids with water. The solids were then dried and dissolved in acetone, and the saturated solution was stirred with benzo-15-crown-5-ether. After removing the precipitates, Rb[Co(Pc)(CN)2] and Cs[Co(Pc)(CN)2] were obtained by crystallization from the solution by prolonged standing and slow evaporation of the solvent. Their electrolysis by the above procedure gave dark purple crystals, but these were not A[Co(Pc)(CN)2]2.4(EtOH).
3.2. X-ray Structure Determination
Single-crystal diffraction data for A[Co(Pc)(CN)2]2.4(EtOH) were recorded on a Rigaku R-AXIS Rapid imaging plate diffractometer with graphite-monochromated Mo-Kα radiation. The structures were solved using a direct method (SIR-92 [16]) and refined with all data on F2 using the software CrystalStructure [17]. Full-matrix least-squares refinements were performed with anisotropic thermal parameters for non-hydrogen atoms and isotropic parameters for hydrogens. Measurements of the temperature dependence of the lattice parameters were made using temperature-regulated cold N2 gas flow equipment.
Crystal data for Na[Co(Pc)(CN)2]2.4(EtOH); T = 273 K; Formula, C76H56N20O4Co2Na; Formula weight, 1454.27, Crystal system, tetragonal; Space group, P42/n (#86); a = 21.163(4), c = 7.414(1) Å, V = 3320(1) Å3, Z = 2, Dcalc = 1.433 g cm−3, μ(Mo Kα) = 5.764 cm−1, 2θmax = 55.0°, 28214 reflections measured of which 3815 were unique, Rint = 0.140. R values: R1 (I > 2σ(I)) = 0.0511, Rw (I > 2σ(I)) = 0.0939, GOF = 1.110. CCDC number: 86931.
Crystal data for K[Co(Pc)(CN)2]2.4(EtOH); T = 298 K; Formula, C76H56N20O4Co2K; Formula weight, 1470.37, Crystal system, tetragonal; Space group, P42/n (#86); a = 21.370(2), c = 7.461(1) Å, V = 3407.2(6) Å3, Z = 2, Dcalc = 1.433 g cm−3, μ(Mo Kα) = 6.167 cm−1, 2θmax = 55.0°, 29709 reflections measured of which 3898 were unique, Rint = 0.064. R values: R1(I > 2σ(I)) = 0.0467, Rw(all data) = 0.1232, GOF = 1.013. CCDC number: 86930. Copies of the data can be obtained from the Cambridge Crystallographic Data Centre, 12 Union Road, Cambridge CB2 1EZ U.K. (Fax: +44-1223-336033; E-mail: deposit@ccdc.cam.ac.uk; website: http://www.ccdc.cam.uk/conts/retrieving.html).
3.3. Measurements
Electrical resistivity was measured using a standard four-probe method with the current along the c axis. Contacts between the crystals and gold lead wires were made using gold paste. Temperature dependence was measured in the temperature range of 5–300 K using a closed cycle cryostat system. The sample room was kept under vacuum during the measurements. When bare crystals were used for the measurements, a gradual increase in resistivity was observed during evacuation of the sample room due to exclusion of the crystal solvent. In order to avoid such degradation of the crystals, they were covered by grease or mineral oil after attaching the probes. Thermoelectric power measurements were carried out using a modified method reported by Chaikin and Kwak [18] with the same instrumental setup.
The π-π overlap integral calculations were carried out using the extended Hückel method with the CAESER software suite [19], using the atomic parameters determined by X-ray structure analysis.
4. Conclusions
A[Co(Pc)(CN)2]2.4(EtOH) with A = Na and K is a one-dimensional conductor that is isomorphous with TPP[Co(Pc)(CN)2]2. However, the temperature dependence of the resistivity of both Na and K salts are strikingly different from that of the TPP salt. In the TPP salt, charge carriers are weakly localized due to charge disproportionation by inter-site Coulomb repulsion below room temperature, while clear metallic behavior appears in the Na and K salts above 30 and 70 K, respectively. A notable structural difference between the TPP salt and the Na or K salts is the presence of hydrogen bonds between the cationic unit and the Pc unit. Considering the structural features unique to Na and K salts, the electronic influence of hydrogen bonding or carrier doping by deprotonation could be the cause of the depressed charge disproportionation observed in the Na and K salts.
The mechanism for depressed charge disproportionation in Na and K salts remains unclear. However, application of this crystal design technique to conductors composed of Fe(Pc)(CN)2 is expected to reveal the role of charge disproportionation in the unique magneto-transport properties of the π-d system. Thus, the crystal growth of A[Fe(Pc)(CN)2]2.4(EtOH) with A = Na and K is currently in progress.
Acknowledgments
This work was supported in part by a Grant-in-Aid for Scientific Research on Innovative Area (Molecular Degrees of Freedom: No. 2009) from the Ministry of Education, Culture, Sports, Science and Technology, Japan.
References
- Inabe, T.; Tajima, H. Phthalocyanines–versatile components of molecular conductors. Chem. Rev. 2004, 104, 5503–5533. [Google Scholar] [CrossRef]
- Thompson, J.A.; Murata, K.; Miller, D.C.; Stanton, J.L.; Broderick, W.E.; Hoffman, B.M.; Ibers, J.A. Synthesis of high-purity phthalocyanines (pc): High intrinsic conductivities in the molecular conductors H2(pc)I and Ni(pc)I. Inorg. Chem. 1993, 32, 3546–3553. [Google Scholar]
- Hasegawa, H.; Naito, T.; Inabe, T.; Akutagawa, T.; Nakamura, T. A highly conducting partially oxidized salt of axially substituted phthalocyanine. Structure and physical properties of TPP[Co(Pc)(CN)2]2 {TPP = tetraphenylphosphonium, [Co(Pc)(CN)2] = dicyano(phthalocyaninato)cobalt(III)}. J. Mater. Chem. 1998, 8, 1567–1570. [Google Scholar] [CrossRef]
- Matsuda, M.; Naito, T.; Inabe, T.; Hanasaki, N.; Tajima, H. Structure and electrical and magnetic properties of (PTMA)x[M(Pc)(CN)2]. y(solvent) (PTMA = phenyltrimethylammonium and [M(Pc)(CN)2] = dicynano(phthalocyaninato)MIII with M = Co and Fe. Partial oxidation by partial solvent occupation of the cationic site. J. Mater. Chem. 2001, 11, 2493–2497. [Google Scholar] [CrossRef]
- Takano, S.; Naito, T.; Inabe, T. Ladder-type phthalocyanine conductor, [PXX][Co(Pc)(CN)2] (PXX = peri-xanthenoxanthene, Co(Pc)(CN)2 = dicyano(phthalocyaninato)cobalt(III). Chem. Lett. 1998, 1249–1250. [Google Scholar]
- Asari, T.; Naito, T.; Inabe, T.; Matsuda, M.; Tajima, H. Novel phthalocyanine conductor containing two-dimensional Pc stacks, [PXX]2[Co(Pc)(CN)2] (PXX = peri-xanthenoxanthene, Co(Pc)(CN)2 = dicyano(phthalocyaninato)cobalt(III). Chem. Lett. 2004, 33, 128–129. [Google Scholar] [CrossRef]
- Asari, T.; Ishikawa, M.; Naito, T.; Matsuda, M.; Tajima, H.; Inabe, T. Nearly isotropic two-dimensional sheets in a partially oxidized Co(Pc)(CN)2 salt (Pc = phthalocyaninato). Chem. Lett. 2005, 34, 936–937. [Google Scholar] [CrossRef]
- Hanasaki, N.; Tajima, H.; Matsuda, M.; Naito, T.; Inabe, T. Giant negative magnetoresistance in a quasi-one-dimensional conductor TPP[FeIII(Pc)(CN)2]2: Interplay between local moments and one-dimensional conduction electrons. Phys. Rev. B 2000, 62, 5839–5842. [Google Scholar]
- Hanasaki, N.; Matsuda, M.; Tajima, H.; Ohmichi, E.; Osada, T.; Naito, T.; Inabe, T. Giant negative magnetoresistance reflecting molecular symmetry in dicyano(phthalocyaninato)iron compounds. J. Phys. Soc. Jpn. 2006, 75, 033702:2–033702:4. [Google Scholar]
- Hanasaki, N.; Masuda, K.; Kodama, K.; Matsuda, M.; Tajima, H.; Yamazaki, J.; Takigawa, M.; Yamaura, J.; Ohmichi, E.; Osada, T.; et al. Charge disproportionation in highly one-dimensional molecular conductor TPP[Co(Pc)(CN)2]2. J. Phys. Soc. Jpn. 2006, 75, 104713:1–104713:5. [Google Scholar]
- Matsuda, M.; Asari, T.; Naito, T.; Inabe, T.; Hanasaki, N.; Tajima, H. Structure and physical properties of low-dimensional molecular conductors, [PXX][CoIII(Pc)(CN)2] and [PXX][FeIII(Pc)(CN)2] (PXX = peri-xanthenoxanthene, Pc = phthalocyaninato). Bull. Chem. Soc. Jpn. 2003, 76, 1935–1940. [Google Scholar] [CrossRef]
- Ishikawa, M.; Asari, T.; Matsuda, M.; Tajima, H.; Hanasaki, N.; Naito, T.; Inabe, T. Giant magnetoresistance response by the π-d interaction in an axially ligatedphthalocyanine conductor with two-dimensional π-π stacking structure. J. Mater. Chem. 2010, 20, 4432–4438. [Google Scholar]
- Bondi, A. van der Waals Volumes and Radii. J. Phys. Chem. 1964, 68, 441–451. [Google Scholar] [CrossRef]
- Chaikin, P.M.; Kwak, J.F.; Jones, T.E.; Garito, A.F.; Heeger, A.J. Thermoelectric power of tetrathiofulvalinium tetracyanoquinodimethane. Phys. Rev. Lett. 1973, 31, 601–604. [Google Scholar]
- Metz, J.; Hanack, M. Synthesis, characterization, and conductivity of (m-Cyano)(phthalocyaninato)cobalt(III). J. Am. Chem. Soc. 1983, 105, 828–830. [Google Scholar] [CrossRef]
- Altomare, A.; Burla, M.C.; Camalli, M.; Cascarano, M.; Giacovazzo, C.; Guagliardi, A.; Polidori, G. SIR92—A program for automatic solution of crystal structures by direct methods. J. Appl. Cryst. 1994, 27, 435. [Google Scholar]
- Watkin, D.J.; Prout, C.K.; Carruthers, J.R.; Betteridge, P.W. CrystalStructure—Crystal Structure Analysis Software, version 3.5.1; Rigaku and Rigaku: The Woodlands, TX, USA, 1996. [Google Scholar]
- Chaikin, P.M.; Kwak, J.F. Apparatus for thermopower measurements on organic conductors. Rev. Sci. Instrum. 1975, 46, 218–220. [Google Scholar] [CrossRef]
- Ren, J.; Liang, W.; Whangbo, M.-H. Crystal and Electronic Structure Analysis Using CAESER; PrimeColor Software Inc.: Cary, NC, USA, 1998. [Google Scholar]
© 2012 by the authors; licensee MDPI, Basel, Switzerland. This article is an open-access article distributed under the terms and conditions of the Creative Commons Attribution license (http://creativecommons.org/licenses/by/3.0/).