Softening of Hard Magnetic Behavior and the Maximum Coercive Field in Zr2RhTl as Revealed by Effective Field Theory
Abstract
1. Introduction
2. Materials and Methods
2.1. Model and EFT Formulations
2.2. Hamiltonian
2.3. Magnetizations
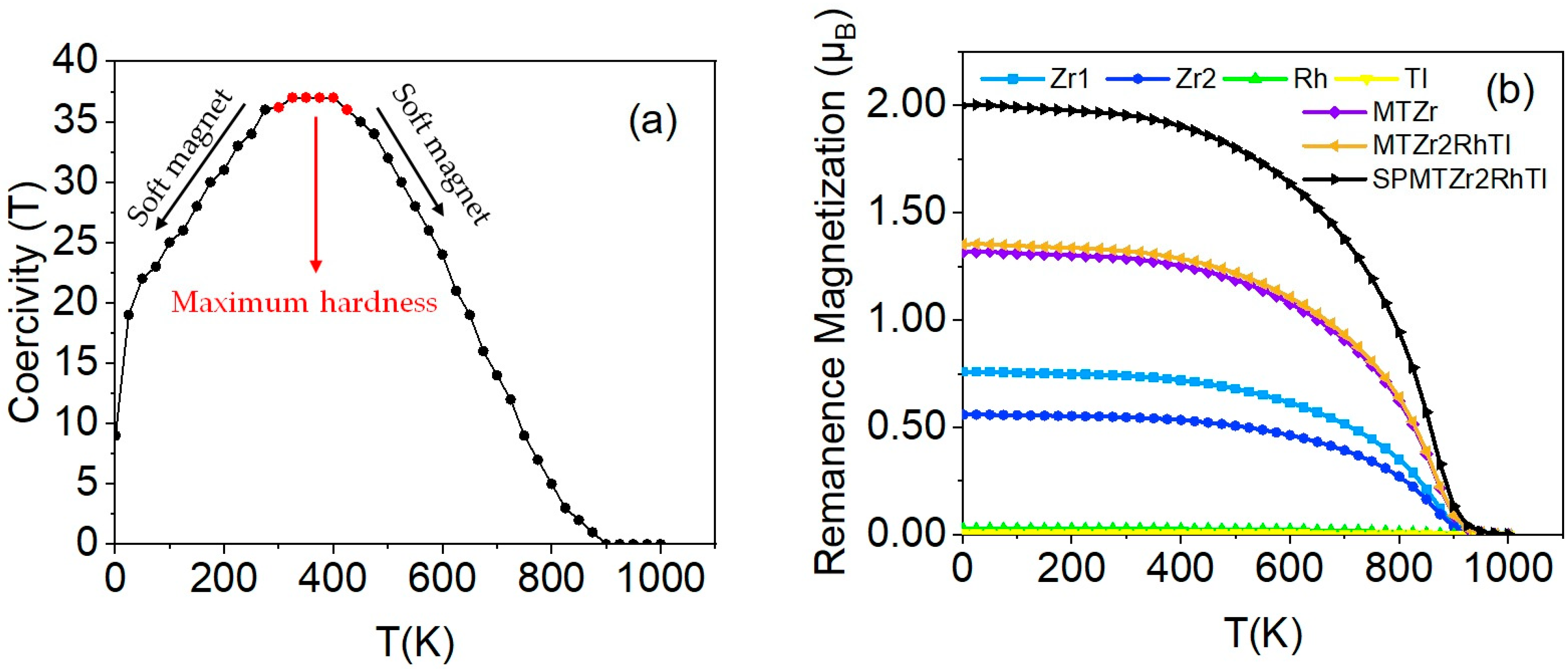
3. Results
Numerical Results
4. Conclusions
Supplementary Materials
Author Contributions
Funding
Data Availability Statement
Acknowledgments
Conflicts of Interest
References
- Zhang, X.; Xu, H.; Lai, B.; Lu, Q.; Lu, X.; Chen, Y.; Niu, W.; Gu, C.; Liu, W.; Wang, X.; et al. Direct observation of high spin polarization in Co2FeAl thin films. Sci. Rep. 2018, 8, 8074. [Google Scholar] [CrossRef]
- Kundu, A.; Ghosh, S.; Banerjee, R.; Ghosh, S.; Sanyal, B. New quaternary half-metallic ferromagnets with large Curie temperatures. Sci. Rep. 2017, 7, 1803. [Google Scholar] [CrossRef] [PubMed]
- Xiao, D.; Yao, Y.; Feng, W.; Wen, J.; Zhu, W.; Chen, X.-Q.; Stocks, G.M.; Zhang, Z. Half-Heusler compounds as a new class of three-dimensional topological insulators. Phys. Rev. Lett. 2010, 105, 096404. [Google Scholar] [CrossRef]
- De Groot, R.A.; Mueller, F.M.; van Engen, P.G.; Buschow, K.H.J. New class of materials: Half-metallic ferromagnets. Phys. Rev. Lett. 1983, 50, 2024. [Google Scholar] [CrossRef]
- Felser, C.; Fecher, G.H.; Balke, B. Spintronics: A challenge for materials science and solid-state chemistry. Angew. Chem. Int. Ed. 2007, 46, 668–699. [Google Scholar] [CrossRef]
- Nguyen, Q.T.; Ho, T.H.; Tien, T.B.; Kawazoe, Y.; Bui, V.Q. Data-driven design of high-curie temperature full-heusler alloys for spintronic applications. Mater. Today Phys. 2024, 47, 101541. [Google Scholar] [CrossRef]
- Inomata, K.; Ikeda, N.; Tezuka, N.; Goto, R.; Sugimoto, S.; Wojcik, M.; Jedryka, E. Highly spin-polarized materials and devices for spintronics. Sci. Technol. Adv. Mater. 2008, 9, 014101. [Google Scholar] [CrossRef]
- Skaftouros, S.; Özdoğan, K.; Şaşıoğlu, E.; Galanakis, I. Generalized Slater-Pauling rule for the inverse Heusler compounds. Phys. Rev. B Condens. Matter Mater. Phys. 2013, 87, 024420. [Google Scholar] [CrossRef]
- Li, C.-M.; Hu, Q.M.; Yang, R.; Johansson, B.; Vitos, L. Magnetic ordering and physical stability of X2Mn1+xSn1−x (X = Ru, Os, Co, Rh, Ni, Pd, Cu, and Ag) Heusler alloys from a first-principles study. Phys. Rev. B Condens. Matter Mater. Phys. 2013, 88, 014109. [Google Scholar] [CrossRef]
- Sutou, Y.; Imano, Y.; Koeda, N.; Omori, T.; Kainuma, R.; Ishida, K.; Oikawa, K. Magnetic and martensitic transformations of NiMnX (X = In, Sn, Sb) ferromagnetic shape memory alloys. Appl. Phys. Lett. 2004, 85, 4358–4360. [Google Scholar] [CrossRef]
- Priolkar, K.R.; Lobo, D.N.; Bhobe, P.A.; Emura, S.; Nigam, A.K. Role of Ni-Mn hybridization in magnetism of martensitic state of Ni-Mn-In shape memory alloys. arXiv 2011, arXiv:1104.0297. [Google Scholar] [CrossRef]
- Khan, M.; Jung, J.; Stoyko, S.S.; Mar, A.; Quetz, A.; Samanta, T.; Dubenko, I.; Ali, N.; Stadler, S.; Chow, K.H. The role of Ni-Mn hybridization on the martensitic phase transitions in Mn-rich Heusler alloys. Appl. Phys. Lett. 2012, 100, 172403. [Google Scholar] [CrossRef]
- Xuan, H.C.; Cao, Q.Q.; Zhang, C.L.; Ma, S.C.; Chen, S.Y.; Wang, D.H.; Du, Y.W. Large exchange bias field in the Ni–Mn–Sn Heusler alloys with high content of Mn. Appl. Phys. Lett. 2010, 96, 202502. [Google Scholar] [CrossRef]
- Khan, M.; Dubenko, I.; Stadler, S.; Jung, J.; Stoyko, S.S.; Mar, A.; Quetz, A.; Samanta, T.; Ali, N.; Chow, K.H. Enhancement of ferromagnetism by Cr doping in Ni-Mn-Cr-Sb Heusler alloys. Appl. Phys. Lett. 2013, 102, 112402. [Google Scholar] [CrossRef]
- Luo, H.; Liu, G.; Feng, Z.; Li, Y.; Ma, L.; Wu, G.; Zhu, X.; Jiang, C.; Xu, H. Effect of the main-group elements on the electronic structures and magnetic properties of Heusler alloys Mn2NiZ (Z = In, Sn, Sb). J. Magn. Magn. Mater. 2009, 321, 4063–4066. [Google Scholar] [CrossRef]
- Liu, G.D.; Dai, X.F.; Liu, H.Y.; Chen, J.L.; Li, Y.X.; Xiao, G.; Wu, G.H. Mn2COz (z = Al, Ga, In, Si, Ge, Sn, Sb) compounds: Structural, electronic, and magnetic properties. Phys. Rev. B—Condens. Matter Mater. Phys. 2008, 77, 014424. [Google Scholar] [CrossRef]
- Coey, J.M.D. Magnetism and Magnetic Materials; Cambridge University Press: Cambridge, UK, 2010; Chapter 9; pp. 8–9. [Google Scholar]
- Sagar, J.; Fleet, L.R.; Hirohata, A.; O’GRady, K. Activation volumes in Co2FeSi thin films. IEEE Trans. Magn. 2011, 47, 2440–2443. [Google Scholar] [CrossRef]
- El-Hilo, M.; O’grady, K.; Chantrell, R.W. Demagnetised states and activation volumes in thin-film media. J. Magn. Magn. Mater. 1993, 120, 244–246. [Google Scholar] [CrossRef]
- Wohlfarth, E.P. The coefficient of magnetic viscosity. J. Phys. F Met. Phys. 1984, 14, L155. [Google Scholar] [CrossRef]
- Gasi, T.; Nayak, A.K.; Nicklas, M.; Felser, C. Structural and magnetic properties of the Heusler compound Fe2MnGa. J. Appl. Phys. 2013, 113, 17E301. [Google Scholar] [CrossRef]
- Kaneyoshi, T. Differential operator technique in the Ising spin systems. Acta Phys. Pol. A 1993, 83, 703–738. [Google Scholar] [CrossRef]
- Kaneyoshi, T. Compensation point phenomena in a graphene-like Ising nanoparticle decorated with spin-3/2 atoms. J. Phys. Chem. Solids 2021, 150, 109880. [Google Scholar] [CrossRef]
- Kaneyoshi, T. Compensation point phenomena in nanoscale Ising particles with high critical temperature. Phase Transit. 2020, 93, 826–842. [Google Scholar] [CrossRef]
- Kaneyoshi, T. Decoration in a Graphene-like Ising nanoparticle for the possibility of high critical temperature. Chem. Phys. Lett. 2020, 745, 137224. [Google Scholar] [CrossRef]
- Kaneyoshi, T. Unique phenomena induced by an exchange interaction between two graphene-like Ising nanoparticles in an applied transverse field. Chem. Phys. Lett. 2019, 715, 72–76. [Google Scholar] [CrossRef]
- Kaneyoshi, T. Reduced magnetization curves of Ising nanoparticles with high critical temperature. Phase Transit. 2020, 93, 376–387. [Google Scholar] [CrossRef]
- Kaneyoshi, T. Shape dependences of magnetic properties in 2D Ising nano-particles. Phase Transit. 2013, 86, 404–418. [Google Scholar] [CrossRef]
- Keskin, M.; Şarlı, N. Superconducting phase diagram of the yttrium, barium, and YBa-core in YBa2Cu3O7–δ by an Ising model. J. Exp. Theor. Phys. 2018, 127, 516–524. [Google Scholar] [CrossRef]
- Şarlı, N.; Keskin, M. Effects of the copper and oxygen atoms of the CuO-plane on magnetic properties of the YBCO by using the effective-field theory. Chin. J. Phys. 2019, 59, 256–264. [Google Scholar] [CrossRef]
- Şarlı, N.; Keskin, M. Effect of the distance range between the YBa-core and CuO-shell on the superconducting properties in the YBCO by an Ising model. Chin. J. Phys. 2020, 63, 375–381. [Google Scholar] [CrossRef]
- Şarlı, N.; Ak, F.; Özdemir, E.G.; Saatçi, B.; Merdan, Z. Key role of central antimony in magnetization of Ni0.5Co1.5MnSb quaternary Heusler alloy revealed by comparison between theory and experiment. Phys. B Condens. Matter 2019, 560, 46–50. [Google Scholar] [CrossRef]
- Yıldız, G.D.; Yıldız, Y.G.; Şarlı, N. Spin induced quantum tunneling of the magnetization. In Spin; World Scientific Publishing Company: Singapore, 2021; p. 2150011. [Google Scholar]
- Yıldız, Y.G. Exchange bias effect revealed by irreversible structural transformation between the HCP and FCC structures of Cobalt nanoparticles. Phase Transit. 2020, 93, 429–437. [Google Scholar] [CrossRef]
- Yıldız, Y.G. Origin of the hardness in the monolayer nanographene. Phys. Lett. A 2019, 383, 2333–2338. [Google Scholar] [CrossRef]
- Yıldız, G.D. Intersection magnetization and temperature revealed by FCC-FCT phase transformation in the FePd binary alloy system. J. Supercond. Nov. Magn. 2020, 33, 2051–2058. [Google Scholar] [CrossRef]
- Ocak, H.Y.; Yıldız, G.D.; Yıldız, Y.G.; Saatçi, B.; Başar, R.; Sarıoğlu, G. Transverse field effects of Al concentration on magnetic properties of B2-FeAl nanoparticle. Acta Phys. Pol. A 2021, 139, 20–24. [Google Scholar] [CrossRef]
- Yıldız, Y.G.; Yıldız, G.D. Modeling of the magnetization and magnetocaloric effect in Ni2MnGa heusler alloy with the effective field theory. J. Low Temp. Phys. 2022, 207, 171–180. [Google Scholar] [CrossRef]
- Duran, A. Magnetic properties of Mn2RhSi Heusler alloy: Phase transition and hysteresis behavior at a very low temperature. J. Low Temp. Phys. 2021, 203, 127–142. [Google Scholar] [CrossRef]
- Malkoç, T. A transverse Ising model for the Fe50−xCr25+xV25 Heusler alloy. Chin. J. Phys. 2022, 80, 378–384. [Google Scholar] [CrossRef]
- Özdemir, E.G.; Doğruer, S.; Merdan, Z. Electronic, magnetic, half-Metallic, pressure-induced elastic and curie temperature predictions of Zr2RhTl Heusler alloy: DFT and EFT studies. Philos. Mag. 2024, 104, 115–135. [Google Scholar] [CrossRef]
- Kittel, C. Introduction to Solid State Physics, 7th ed.; John Wiley & Sons, Inc.: New York, NY, USA, 1996; pp. 333–378. [Google Scholar]
- Duan, J.; Kou, X. Effect of current density on the microstructure and magnetic properties of electrodeposited Co2FeSn Heusler alloy. J. Electrochem. Soc. 2013, 160, D471. [Google Scholar] [CrossRef]
- Tian, L.; Xu, J.; Xiao, S. The influence of pH and bath composition on the properties of Ni–Co coatings synthesized by electrodeposition. Vacuum 2011, 86, 27–33. [Google Scholar] [CrossRef]
- Mizusaki, S.; Douzono, A.; Ohnishi, T.; Ozawa, T.; Samata, H.; Noro, Y.; Nagata, Y. Effect of Fe substitution on magnetic properties of antiferromagnetic Heusler alloy Ru2MnGe. J. Alloys Compd. 2012, 510, 141–146. [Google Scholar] [CrossRef]
- Vargas, B.R.R.; Stornelli, G.; Folgarait, P.; Ridolfi, M.R.; Miranda Pérez, A.F.; Di Schino, A. Recent Advances in Additive Manufacturing of Soft Magnetic Materials: A Review. Materials 2023, 16, 5610. [Google Scholar] [CrossRef] [PubMed]
- Sánchez Llamazares, J.L.; Flores-Zúñiga, H.; Ríos-Jara, D.; Sánchez-Valdes, C.F.; García-Fernández, T.; Ross, C.A.; García, C. Structural and magnetic characterization of the intermartensitic phase transition in NiMnSn Heusler alloy ribbons. J. Appl. Phys. 2013, 113, 17A948. [Google Scholar] [CrossRef]
- Alrahamneh, M.J.; Khalifeh, J.M.; Mousa, A.A. Ab-initio calculations of the structural, mechanical, electronic, magnetic and thermoelectric properties of Zr2RhX (X = Ga, In) Heusler alloys. Physica B 2020, 581, 411941. [Google Scholar] [CrossRef]
- Alrahamneh, M.J.; Mousa, A.A.; Khalifeh, J.M. First principles study of the structural, electronic, magnetic and thermoelectric properties of Zr2RhAl. Physica B 2019, 552, 227–235. [Google Scholar] [CrossRef]



Disclaimer/Publisher’s Note: The statements, opinions and data contained in all publications are solely those of the individual author(s) and contributor(s) and not of MDPI and/or the editor(s). MDPI and/or the editor(s) disclaim responsibility for any injury to people or property resulting from any ideas, methods, instructions or products referred to in the content. |
© 2026 by the authors. Licensee MDPI, Basel, Switzerland. This article is an open access article distributed under the terms and conditions of the Creative Commons Attribution (CC BY) license.
Share and Cite
Doğruer, S.; Merdan, Z.; Yıldız, Y.G. Softening of Hard Magnetic Behavior and the Maximum Coercive Field in Zr2RhTl as Revealed by Effective Field Theory. Crystals 2026, 16, 144. https://doi.org/10.3390/cryst16020144
Doğruer S, Merdan Z, Yıldız YG. Softening of Hard Magnetic Behavior and the Maximum Coercive Field in Zr2RhTl as Revealed by Effective Field Theory. Crystals. 2026; 16(2):144. https://doi.org/10.3390/cryst16020144
Chicago/Turabian StyleDoğruer, Semih, Ziya Merdan, and Yasin Göktürk Yıldız. 2026. "Softening of Hard Magnetic Behavior and the Maximum Coercive Field in Zr2RhTl as Revealed by Effective Field Theory" Crystals 16, no. 2: 144. https://doi.org/10.3390/cryst16020144
APA StyleDoğruer, S., Merdan, Z., & Yıldız, Y. G. (2026). Softening of Hard Magnetic Behavior and the Maximum Coercive Field in Zr2RhTl as Revealed by Effective Field Theory. Crystals, 16(2), 144. https://doi.org/10.3390/cryst16020144

