Synthesis, Structure, and Properties of the Complex Zintl Phase Eu9Zn4.5As9: A Candidate Topological Insulator and Thermoelectric Material
Abstract
1. Introduction
2. Materials and Methods
2.1. Synthesis
2.2. Structural Characterization
2.3. Electronic Structure Calculations
2.4. Elemental Analysis
2.5. Magnetic Property Measurements
3. Results and Discussion
3.1. Synthesis
3.2. Crystal Structure and Bonding
3.3. Electronic Structure


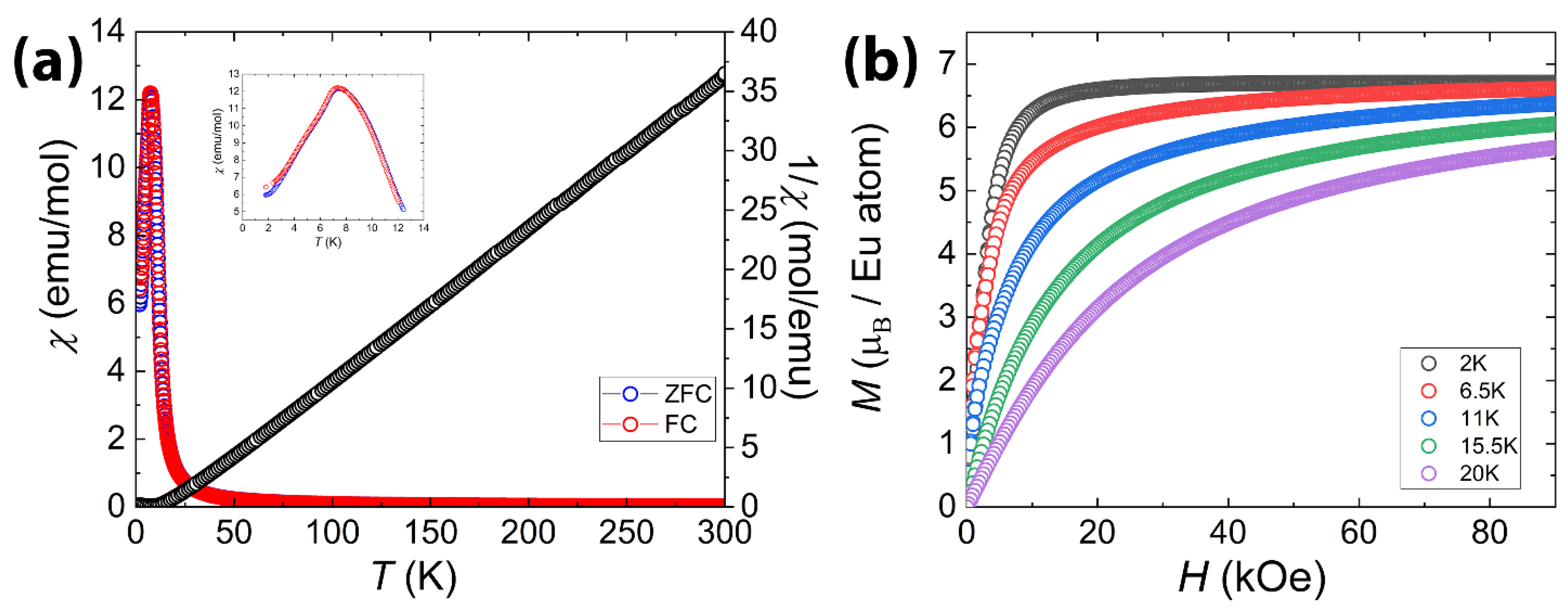
3.4. Magnetic Properties

4. Conclusions
Author Contributions
Funding
Data Availability Statement
Acknowledgments
Conflicts of Interest
References
- Nesper, R. The Zintl-Klemm concept—A historical survey. Z. Anorg. Allg. Chem. 2014, 640, 2639–2648. [Google Scholar] [CrossRef]
- Kauzlarich, S.M. Zintl phases: From curiosities to impactful materials. Chem. Mater. 2023, 35, 7355–7362. [Google Scholar] [CrossRef] [PubMed]
- Ovchinnikov, A.; Bobev, S. Zintl phases with group 15 elements and the transition metals: A brief overview of pnictides with diverse and complex structures. J. Solid State Chem. 2019, 270, 346–359. [Google Scholar] [CrossRef]
- Liu, K.-F.; Xia, S.-Q. Recent progresses on thermoelectric Zintl phases: Structures, materials and optimization. J. Solid State Chem. 2019, 270, 252–264. [Google Scholar] [CrossRef]
- Kauzlarich, S.M.; Zevalkink, A.; Toberer, E.; Snyder, G.J. Zintl phases: Recent developments in thermoelectrics and future outlook. In Thermoelectric Materials and Devices; Elsevier: Amsterdam, The Netherlands, 2016. [Google Scholar]
- Kauzlarich, S.M.; Devlin, K.P.; Perez, C.J. Zintl phases for thermoelectric applications. In Thermoelectric Energy Conversion; Elsevier: Amsterdam, The Netherlands, 2021; pp. 157–182. [Google Scholar]
- Islam, M.M.; Kauzlarich, S.M. The Potential of Arsenic-Based Zintl Phases as Thermoelectric Materials: Structure & Thermoelectric Properties. Z. Anorg. Allg. Chem. 2023, 649, e202300149. [Google Scholar]
- Luo, D.B.; Wang, Y.X.; Yan, Y.L.; Yang, G.; Yang, J.M. The high thermopower of the Zintl compound Sr5Sn2As6 over a wide temperature range: First-principles calculations. J. Mater. Chem. 2014, 2, 15159–15167. [Google Scholar] [CrossRef]
- Yan, Y.L.; Wang, Y.X.; Zhang, G.B. Electronic structure and thermoelectric performance of Zintl compound Ca5Ga2As6. J. Mater. Chem. 2012, 22, 20284–20290. [Google Scholar] [CrossRef]
- Devlin, K.P.; Kazem, N.; Zaikina, J.V.; Cooley, J.A.; Badger, J.R.; Fettinger, J.C.; Taufour, V.; Kauzlarich, S.M. Eu11Zn4Sn2As12: A ferromagnetic Zintl semiconductor with a layered structure featuring extended Zn4As6 Sheets and ethane-like Sn2As6 units. Chem. Mater. 2018, 30, 7067–7076. [Google Scholar] [CrossRef]
- Ogunbunmi, M.O.; Baranets, S.; Childs, A.B.; Bobev, S. The Zintl phases AIn2As2 (A=Ca, Sr, Ba): New topological insulators and thermoelectric material candidates. Dalton Trans. 2021, 50, 9173–9184. [Google Scholar] [CrossRef]
- Li, H.; Gao, W.; Chen, Z.; Chu, W.; Nie, Y.; Ma, S.; Han, Y.; Wu, M.; Li, T.; Niu, Q. Magnetic properties of the layered magnetic topological insulator EuSn2As2. Phys. Rev. B 2021, 104, 054435. [Google Scholar] [CrossRef]
- Xu, Y.; Song, Z.; Wang, Z.; Weng, H.; Dai, X. Higher-order topology of the axion insulator EuIn2As2. Phys. Rev. Lett. 2019, 122, 256402. [Google Scholar] [CrossRef]
- Zhou, Z.; Wang, Z.; Chen, X.; Lu, J.-Y.; Zhang, J.; Luo, X.; Cao, G.-H.; Dong, S.; Wang, Z.-C. Unusual magnetic and transport properties in the Zintl phase Eu11Zn6As12. Phys. Rev. Mater. 2024, 8, 114421. [Google Scholar] [CrossRef]
- Cao, W.; Yang, H.; Li, Y.; Pei, C.; Wang, Q.; Zhao, Y.; Li, C.; Zhang, M.; Zhu, S.; Wu, J. Pressure-induced superconductivity in the Zintl topological insulator SrIn2As2. Phys. Rev. B 2023, 108, 224510. [Google Scholar] [CrossRef]
- Rotter, M.; Pangerl, M.; Tegel, M.; Johrendt, D. Superconductivity and crystal structures of (Ba1−xKx)Fe2As2 (x = 0–1). Angew. Chem. Int. Ed. 2008, 47, 7949–7952. [Google Scholar] [CrossRef] [PubMed]
- Balguri, S.; Mahendru, M.B.; Delgado, E.O.G.; Fruhling, K.; Yao, X.; Graf, D.E.; Rodriguez-Rivera, J.A.; Aczel, A.A.; Hicken, T.J.; Luetkens, H. Two types of colossal magnetoresistance with distinct mechanisms in Eu5In2As6. Phys. Rev. B 2025, 111, 115114. [Google Scholar] [CrossRef]
- Brechtel, E.; Cordier, G.; Schafer, H. Darstellung und kristallstruktur von Ca9Mn4Bi9 und Ca9Zn4Bi9/preparation and crystal structure of Ca9Mn4Bi9 and Ca9Zn4Bi9. Z. Naturforsch. B 1979, 34, 1229–1233. [Google Scholar] [CrossRef]
- Brechtel, E.; Cordier, G.; Schäfer, H. Neue Verbindungen mit der Ca9Mn4Bi9-Struktur: Zur Kenntnis von Ca9Cd4Bi9, Sr9Cd4Bi9 und Ca9Zn4Sb9/New Compounds with the Ca9Mn4Bi9 Structure: Ca9Cd4Bi9, Sr9Cd4Bi9, and Ca9Zn4Sb9. Z. Naturforsch. B 1981, 36, 1099–1104. [Google Scholar] [CrossRef]
- Bobev, S.; Thompson, J.D.; Sarrao, J.L.; Olmstead, M.M.; Hope, H.; Kauzlarich, S.M. Probing the Limits of the Zintl Concept: Structure and bonding in rare-earth and alkaline-earth zinc-antimonides Yb9Zn4+xSb9 and Ca9Zn4.5Sb9. Inorg. Chem. 2004, 43, 5044–5052. [Google Scholar] [CrossRef]
- Chen, C.; Xue, W.; Li, X.; Lan, Y.; Zhang, Z.; Wang, X.; Zhang, F.; Yao, H.; Li, S.; Sui, J. Enhanced Thermoelectric Performance of Zintl Phase Ca9Zn4+xSb9 by Beneficial Disorder on the Selective Cationic Site. ACS Appl. Mater. Interfaces 2019, 11, 37741–37747. [Google Scholar] [CrossRef]
- Ohno, S.; Aydemir, U.; Amsler, M.; Pöhls, J.H.; Chanakian, S.; Zevalkink, A.; White, M.A.; Bux, S.K.; Wolverton, C.; Snyder, G.J. Achieving zT > 1 in inexpensive zintl phase Ca9Zn4+xSb9 by phase boundary mapping. Adv. Funct. Mater. 2017, 27, 1606361. [Google Scholar] [CrossRef]
- Seo, N.; Lee, J.; Lee, Y.; Choi, M.-H.; Pi, J.H.; Lee, K.H.; Ok, K.M.; You, T.-S. Synergistic effect of cation substitution and p-type anion doping to improve thermoelectric properties in Zintl phases. Energy Mater. 2025, 5, 500123. [Google Scholar] [CrossRef]
- Smiadak, D.M.; Baranets, S.; Rylko, M.; Marshall, M.; Calderón-Cueva, M.; Bobev, S.; Zevalkink, A. Single crystal growth and characterization of new Zintl phase Ca9Zn3.1In0.9Sb9. J. Solid State Chem. 2021, 296, 121947. [Google Scholar] [CrossRef]
- Lee, J.; Kim, M.; Pi, J.H.; Choi, M.-H.; Ok, K.M.; Lee, K.H.; You, T.-S. Insights into the Crystal Structure and Thermoelectric Properties of the Zintl Phase Ca9Cd3+x–yMx+ySb9 (M=Cu, Zn) System. Chem. Mater. 2024, 37, 368–377. [Google Scholar] [CrossRef]
- Xia, S.-Q.; Bobev, S. Interplay Between Size and Electronic Effects in Determining the Homogeneity Range of the A9Zn4+xPn9 and A9Cd4+xPn9 Phases (0 ≤ x ≤ 0.5), A=Ca, Sr, Yb, Eu; Pn=Sb, Bi. J. Am. Chem. Soc. 2007, 129, 10011–10018. [Google Scholar] [CrossRef]
- Xia, S.-Q.; Bobev, S. New manganese-bearing antimonides and bismuthides with complex structures. Synthesis, structural characterization, and electronic properties of Yb9Mn4+xPn9 (Pn=Sb or Bi). Chem. Mater. 2010, 22, 840–850. [Google Scholar] [CrossRef]
- Kazem, N.; Hurtado, A.; Klobes, B.; Hermann, R.l.P.; Kauzlarich, S.M. Eu9Cd4–xCM2+x–y□ySb9: Ca9Mn4Bi9-Type Structure Stuffed with Coinage Metals (Cu, Ag, and Au) and the Challenges with Classical Valence Theory in Describing These Possible Zintl Phases. Inorg. Chem. 2015, 54, 850–859. [Google Scholar] [CrossRef]
- Bux, S.K.; Zevalkink, A.; Janka, O.; Uhl, D.; Kauzlarich, S.; Snyder, J.G.; Fleurial, J.-P. Glass-like lattice thermal conductivity and high thermoelectric efficiency in Yb9Mn4.2Sb9. J. Mater. Chem. 2014, 2, 215–220. [Google Scholar] [CrossRef]
- Liu, X.-C.; Liu, K.-F.; Wang, Q.-Q.; Wang, Y.-M.; Pan, M.-Y.; Xia, S.-Q. Exploring New Zintl Phases in the 9-4-9 Family via Al Substitution. Synthesis, Structure, and Physical Properties of Ae9Mn4−xAlxSb9 (Ae=Ca, Yb, Eu). Inorg. Chem. 2020, 59, 3709–3717. [Google Scholar] [CrossRef]
- Kim, S.-J.; Salvador, J.; Bilc, D.; Mahanti, S.; Kanatzidis, M.G. Yb9Zn4Bi9: Extension of the Zintl concept to the mixed-valent spectator cations. J. Am. Chem. Soc. 2001, 123, 12704–12705. [Google Scholar] [CrossRef]
- Liu, X.-C.; Wu, Z.; Xia, S.-Q.; Tao, X.-T.; Bobev, S. Structural variability versus structural flexibility. A case study of Eu9Cd4+xSb9 and Ca9Mn4+xSb9 (x ≈ 1/2). Inorg. Chem. 2015, 54, 947–955. [Google Scholar] [CrossRef]
- Zhang, J.; Liu, Q.; Liu, K.-F.; Tan, W.-J.; Liu, X.-C.; Xia, S.-Q. Sr9Mg4.45(1)Bi9 and Sr9Mg4.42(1)Sb9: Mg-containing Zintl phases with low thermal conductivity. Inorg. Chem. 2021, 60, 4026–4033. [Google Scholar] [CrossRef] [PubMed]
- Baranets, S.; Balvanz, A.; Darone, G.M.; Bobev, S. On the effects of aliovalent substitutions in thermoelectric Zintl pnictides. varied polyanionic dimensionality and complex structural transformations—The case of Sr3ZnP3 vs Sr3AlxZn1−xP3. Chem. Mater. 2022, 34, 4172–4185. [Google Scholar] [CrossRef]
- Ishtiyak, M.; Watts, S.R.; Thipe, B.; Womack, F.; Adams, P.; Bai, X.; Young, D.P.; Bobev, S.; Baranets, S. Advancing Heteroanionicity in Zintl Phases: Crystal Structures, Thermoelectric and Magnetic Properties of Two Quaternary Semiconducting Arsenide Oxides, Eu8Zn2As6O and Eu14Zn5As12O. Inorg. Chem. 2024, 63, 20226–20239. [Google Scholar] [CrossRef] [PubMed]
- SAINT, version 2.03; BrukerAXS Inc.: Madison, WI, USA, 2014.
- SADABS, version 2.03; BrukerAXS Inc.: Madison, WI, USA, 2014.
- Sheldrick, G.M. SHELXT–Integrated space-group and crystal-structure determination. Acta Crystallogr. A 2015, 71, 3–8. [Google Scholar] [CrossRef]
- Sheldrick, G.M. Crystal structure refinement with SHELXL. Acta Crystallogr. C 2015, 71, 3–8. [Google Scholar] [CrossRef]
- Dolomanov, O.V.; Bourhis, L.J.; Gildea, R.J.; Howard, J.A.; Puschmann, H. OLEX2: A complete structure solution, refinement and analysis program. J. Appl. Crystallogr. 2009, 42, 339–341. [Google Scholar] [CrossRef]
- Gelato, L.; Parthé, E. STRUCTURE TIDY—A computer program to standardize crystal structure data. J. Appl. Crystallogr. 1987, 20, 139–143. [Google Scholar] [CrossRef]
- Kresse, G.; Furthmüller, J. Efficient iterative schemes for ab initio total-energy calculations using a plane-wave basis set. Phys. Rev. B 1996, 54, 11169. [Google Scholar] [CrossRef]
- Perdew, J.P.; Ruzsinszky, A.; Csonka, G.I.; Vydrov, O.A.; Scuseria, G.E.; Constantin, L.A.; Zhou, X.; Burke, K. Generalized gradient approximation for solids and their surfaces. arXiv 2007, arXiv:0707.2088. [Google Scholar] [CrossRef]
- Blöchl, P.E. Projector augmented-wave method. Phys. Rev. B 1994, 50, 17953. [Google Scholar] [CrossRef]
- Wang, V.; Xu, N.; Liu, J.-C.; Tang, G.; Geng, W.-T. VASPKIT: A user-friendly interface facilitating high-throughput computing and analysis using VASP code. Comput. Phys. Commun. 2021, 267, 108033. [Google Scholar] [CrossRef]
- Campbell, B.J.; Stokes, H.T.; Tanner, D.E.; Hatch, D.M. ISODISPLACE: A web-based tool for exploring structural distortions. Appl. Crystallogr. 2006, 39, 607–614. [Google Scholar] [CrossRef]
- Stokes, H.T.; Hatch, D.M.; Campbell, B.J. ISOTROPY Software Suite. Available online: https://iso.byu.edu/ (accessed on 5 January 2026).
- Baranets, S.; He, H.; Bobev, S. Niobium-bearing arsenides and germanides from elemental mixtures not involving niobium: A new twist to an old problem in solid-state synthesis. Acta Crystallogr. C 2018, 74, 623–627. [Google Scholar] [CrossRef] [PubMed]
- Klüfers, P.; Neumann, H.; Mewis, A.; SCHUSTER, H. AB2X2-Verbindungen im CaAl2Si2-Typ. VIII. Z. Krist. Mater. 1980, 149, 211–226. [Google Scholar] [CrossRef]
- Stoyko, S.S.; Khatun, M.; Mar, A. Ternary arsenides A2Zn2As3 (A=Sr, Eu) and their stuffed derivatives A2Ag2ZnAs3. Inorg. Chem. 2012, 51, 2621–2628. [Google Scholar] [CrossRef]
- Saparov, B.; Bobev, S. Undecaeuropium hexazinc dodecaarsenide. Acta Crystallogr. E 2010, 66, i24. [Google Scholar] [CrossRef]
- Suen, N.-T.; Wang, Y.; Bobev, S. Synthesis, crystal structures, and physical properties of the new Zintl phases A21Zn4Pn18 (A=Ca, Eu; Pn=As, Sb)—Versatile arrangements of [ZnPn4] tetrahedra. J. Solid State Chem. 2015, 227, 204–211. [Google Scholar] [CrossRef]
- Ishtiyak, M.; Watts, S.R.; Pokhvata, O.; Kandabadage, T.; Baranets, S. Complex Structural Disorder in Thermoelectric Zintl Phases Eu21M4As18 (M=Mn, Zn). Z. Anorg. Allg. Chem. 2025, 651, e202500070. [Google Scholar] [CrossRef]
- Baranets, S.; Darone, G.M.; Bobev, S. Synthesis and structure of Sr14Zn1+xAs11 and Eu14Zn1+xAs11 (x ≤ 0.5). New members of the family of pnictides isotypic with Ca14AlSb11, exhibiting a new type of structural disorder. J. Solid State Chem. 2019, 280, 120990. [Google Scholar] [CrossRef]
- Kong, D.; Karbasizadeh, S.; Narasimha, G.; Regmi, P.; Tao, C.; Mu, S.; Vasudevan, R.; Harrison, I.; Jin, R.; Gai, Z. Large bandgap observed on the surfaces of EuZn2As2 single crystals. Commun. Phys. 2025, 8, 287. [Google Scholar] [CrossRef]
- Wang, Z.-C.; Been, E.; Gaudet, J.; Alqasseri, G.M.A.; Fruhling, K.; Yao, X.; Stuhr, U.; Zhu, Q.; Ren, Z.; Cui, Y. Anisotropy of the magnetic and transport properties of EuZn2As2. Phys. Rev. B 2022, 105, 165122. [Google Scholar] [CrossRef]
- Blawat, J.; Marshall, M.; Singleton, J.; Feng, E.; Cao, H.; Xie, W.; Jin, R. Unusual electrical and magnetic properties in layered EuZn2As2. Adv. Quantum Technol. 2022, 5, 2200012. [Google Scholar] [CrossRef]
- Bukowski, Z.; Rybicki, D.; Babij, M.; Przewoźnik, J.; Gondek, Ł.; Żukrowski, J.; Kapusta, C. Canted antiferromagnetic order in EuZn2As2 single crystals. Sci. Rep. 2022, 12, 14718. [Google Scholar] [CrossRef]
- Regmi, P.; Blawat, J.; Jin, R. Large unconventional Hall effect observed in EuZn2As2. Phys. Rev. B 2025, 111, 014422. [Google Scholar] [CrossRef]
- Islam, M.M.; Wróblewska, M.; Shen, Z.; Toberer, E.S.; Taufour, V.; Kauzlarich, S.M. Magnetism and Thermoelectric Properties of the Zintl Semiconductor: Eu21Zn4As18. Chem. Mater. 2024, 36, 11499–11508. [Google Scholar] [CrossRef] [PubMed]
- Islam, M.M.; Zheng, J.; Pike, A.; Star, K.E.; Bux, S.K.; Hautier, G.; Kauzlarich, S.M. Diffuson-Driven Lattice Thermal Conductivity in Zintl Arsenides: Disrupting Mass-Thermal Conductivity Relation for High Thermoelectric Performance. J. Am. Chem. Soc. 2025, 147, 42883–42893. [Google Scholar] [CrossRef]
- Cordero, B.; Gómez, V.; Platero-Prats, A.E.; Revés, M.; Echeverría, J.; Cremades, E.; Barragán, F.; Alvarez, S. Covalent radii revisited. Dalton Trans. 2008, 21, 2832–2838. [Google Scholar] [CrossRef]
- Xue, W.; Chen, C.; Nan, P.; Long, Y.; Ge, B.; Zhang, Q.; Wang, Y. Decoupling electrical conductivity and Seebeck coefficient via isoelectronic alloying in the 9-4-9-type Ca9−yEuyZn4.7Sb9 (0 ≤ y ≤ 5.0) Zintl phase. J. Mater. Chem. 2026, 14, 4396–4403. [Google Scholar] [CrossRef]
- Kazem, N.; Zaikina, J.V.; Ohno, S.; Snyder, G.J.; Kauzlarich, S.M. Coinage-metal-stuffed Eu9Cd4Sb9: Metallic compounds with anomalous low thermal conductivities. Chem. Mater. 2015, 27, 7508–7519. [Google Scholar] [CrossRef]
- Wang, J.; Yox, P.; Voyles, J.; Kovnir, K. Synthesis, crystal structure, and properties of three La–Zn–P compounds with different dimensionalities of the Zn–P framework. Cryst. Growth Des. 2018, 18, 4076–4083. [Google Scholar] [CrossRef]
- Wilson, D.K.; Saparov, B.; Bobev, S. Synthesis, crystal structures and properties of the Zintl phases Sr2ZnP2, Sr2ZnAs2, A2ZnSb2 and A2ZnBi2 (A=Sr and Eu). Z. Anorg. Allg. Chem. 2011, 637, 2018–2025. [Google Scholar] [CrossRef]
- Gvozdetskyi, V.; Lee, S.J.; Owens-Baird, B.; Dolyniuk, J.-A.; Cox, T.; Wang, R.; Lin, Z.; Ho, K.-M.; Zaikina, J.V. Ternary Zinc Antimonides Unlocked Using Hydride Synthesis. Inorg. Chem. 2021, 60, 10686–10697. [Google Scholar] [CrossRef] [PubMed]
- Devlin, K.P.; Zhang, J.; Fettinger, J.C.; Choi, E.S.; Hauble, A.K.; Taufour, V.; Hermann, R.P.; Kauzlarich, S.M. Deconvoluting the Magnetic Structure of the Commensurately Modulated Quinary Zintl Phase Eu11−xSrxZn4Sn2As12. Inorg. Chem. 2021, 60, 5711–5723. [Google Scholar] [CrossRef] [PubMed]
- Ram, D.; Singh, J.; Banerjee, S.; Sundaresan, A.; Samal, D.; Kanchana, V.; Hossain, Z. Magnetotransport and electronic structure of EuAuSb: A candidate antiferromagnetic Dirac semimetal. Phys. Rev. B 2024, 109, 155152. [Google Scholar] [CrossRef]
- Li, B.-X.; Song, Z.; Fang, Z.; Wang, Z.; Weng, H. Manipulation of topological phase transitions and the mechanism of magnetic interactions in Eu-based Zintl-phase materials. Phys. Rev. B 2025, 111, 205127. [Google Scholar] [CrossRef]
- Mugiraneza, S.; Hallas, A.M. Tutorial: A beginner’s guide to interpreting magnetic susceptibility data with the Curie-Weiss law. Commun. Phys. 2022, 5, 95. [Google Scholar] [CrossRef]
- Kittel, C.; McEuen, P. Introduction to Solid State Physics; John Wiley & Sons: Hoboken, NJ, USA, 2018. [Google Scholar]
- Wu, D.; Na, S.; Li, Y.; Zhou, X.; Wu, W.; Song, Y.; Zheng, P.; Li, Z.; Luo, J. Single-crystal growth, structure and thermal transport properties of the metallic antiferromagnet Zintl-phase β-EuIn2As2. Phys. Chem. Chem. Phys. 2024, 26, 8695–8703. [Google Scholar] [CrossRef]
- Radzieowski, M.; Stegemann, F.; Klenner, S.; Zhang, Y.; Fokwa, B.P.; Janka, O. On the divalent character of the Eu atoms in the ternary zintl phases Eu5In2Pn6 and Eu3MAs3 (Pn=As–Bi; M=Al, Ga). Mater. Chem. Front. 2020, 4, 1231–1248. [Google Scholar] [CrossRef]
- Weippert, V.; Haffner, A.; Stamatopoulos, A.; Johrendt, D. Supertetrahedral layers based on GaAs or InAs. J. Am. Chem. Soc. 2019, 141, 11245–11252. [Google Scholar] [CrossRef]
- Goforth, A.M.; Klavins, P.; Fettinger, J.C.; Kauzlarich, S.M. Magnetic properties and negative colossal magnetoresistance of the rare earth zintl phase EuIn2As2. Inorg. Chem. 2008, 47, 11048–11056. [Google Scholar] [CrossRef]
- Gebre, M.S.; Jiang, Z.; Riedel, Z.W.; Pappas, E.A.; Zhou, H.; Schleife, A.; Shoemaker, D.P. Unique structure type and antiferromagnetic ordering in semiconducting Eu2InSnP3. Chem. Mater. 2025, 37, 6118–6126. [Google Scholar] [CrossRef]
- Day, R.; Yamakawa, K.; Cairns, L.P.; Singleton, J.; Cao, W.; Wu, C.; Allen, M.; Moore, J.; Analytis, J.G. Colossal magnetoresistance and anisotropic spin dynamics in the antiferromagnetic semiconductor Eu5Sn2As6. Phys. Rev. B 2025, 111, 054406. [Google Scholar] [CrossRef]
- Fender, S.; Thomas, S.; Ronning, F.; Bauer, E.; Thompson, J.; Rosa, P. Narrow-gap semiconducting behavior in antiferromagnetic Eu11InSb9. Phys. Rev. Mater. 2021, 5, 074603. [Google Scholar] [CrossRef]
- Wu, Y.; Li, T.; Chen, X.; Liu, Z.; Li, Y.; Shang, Z.; Zheng, X.; Tian, H.; Wang, Z.; Bi, Y. Surface Half-Metallicity and Electronic Structure Evolution in A-Type Antiferromagnet EuIn2P2. Nano Lett. 2025, 25, 10419–10426. [Google Scholar] [CrossRef]
- Souza, J.C.; Thomas, S.; Bauer, E.; Thompson, J.; Ronning, F.; Pagliuso, P.; Rosa, P. Microscopic probe of magnetic polarons in antiferromagnetic Eu5In2Sb6. Phys. Rev. B 2022, 105, 035135. [Google Scholar] [CrossRef]
- Ma, X.; Lu, J.; Whalen, J.B.; Latturner, S.E. Flux growth and magnetoresistance behavior of rare earth Zintl phase EuMgSn. Inorg. Chem. 2013, 52, 3342–3348. [Google Scholar] [CrossRef]
- Cook, M.S.; Peterson, E.A.; Kengle, C.S.; Kennedy, E.; Sheeran, J.; Girod, C.; Freitas, G.; Greer, S.M.; Abbamonte, P.; Pagliuso, P. Magnetic polaron formation in EuZn2P2. Phys. Rev. Mater. 2025, 9, 104403. [Google Scholar] [CrossRef]



| Compound | Space Group | References |
|---|---|---|
| Ca9Mn4+xBi9 | Pbam | [18] |
| Ca9Zn4+xSb9; (Ca,Yb)9(Zn,Cu)4+xSb9 | Pbam | [19,20,21,22,23] |
| Ca9(Zn,In)4+xSb9 | Amm2 a a a | [24] |
| Ca9(Cd,M)4+xSb9 (M = Zn, Al) | a | [25] |
| Ca9Zn4+xBi9 | Pbam | [18,26] |
| Ca9Cd4+xBi9 | Pbam | [19,26] |
| Ca9(Mn,Al)4+xSb9 | Pbam | [27] |
| Sr9Cd4+xSb9 | Pbam | [26] |
| Sr9Cd4+xBi9 | Pbam | [19,26] |
| Eu9Cd4+xBi9, Eu9(Cd,M)4+xBi9 (M = Cu, Ag, Au) | Pbam | [26,28] |
| Yb9Mn4+xSb9, Yb9(Mn,M)4+xSb9 (M = Zn, Al) | Pbam | [27,29,30] |
| Yb9Mn4+xBi9 | Pbam | [27] |
| Yb9Zn4+xSb9 | Pbam | [20] |
| Yb9Zn4+xBi9 | Pbam | [26,31] |
| Yb9Cd4+xBi9 | Pbam | [26] |
| Eu9(Mn,Al)4+xSb9 | Cmca b | [30] |
| Ca9Mn4+xSb9 | Pnma c | [32] |
| Ca9Zn4+xAs9 | Pnma c | [32] |
| Sr9Mg4+xSb9 | Pnma c | [33] |
| Sr9Mg4+xBi9 | Pnma c | [33] |
| Eu9Zn4+xAs9 | Pnma c | This work |
| Chemical Formula | Eu9Zn4.5As9 |
|---|---|
| fw/g mol−1 | 2336.08 |
| Space group | Pnma |
| a/(Å) | 12.1953(7) |
| b/(Å) | 4.3730(2) |
| c/(Å) | 42.674(2) |
| V (Å3) | 2275.8(2) |
| Z | 4 |
| ρcal./g cm−3 | 6.818 |
| μ (Ag Kα)/cm−1 | 221.19 |
| Collected/independent reflections/Refined parameters | 33102/4501/158 |
| R1 (I > 2σ(I)) a | 0.0191 |
| wR2 (I > 2σ(I)) a | 0.0348 |
| R1 (all data) a | 0.0217 |
| wR2 (all data) a | 0.0356 |
| Δρmax,min/e−·Å−3 | 1.95/−1.24 |
| CCDC code | 2523214 |
| Atoms | Site | x | y | z | Ueq a (Å2) |
|---|---|---|---|---|---|
| Eu1 b | 8d | 0.02077(3) | 0.17365(8) | 0.58230(2) | 0.00749(7) |
| Eu2 b | 8d | 0.36020(3) | 0.20624(17) | 0.00124(2) | 0.012(17) |
| Eu3 | 4c | 0.03523(2) | 1/4 | 0.67579(2) | 0.00733(5) |
| Eu4 | 4c | 0.04118(2) | 1/4 | 0.19032(2) | 0.00876(5) |
| Eu5 | 4c | 0.06394(2) | 1/4 | 0.04691(2) | 0.01449(6) |
| Eu6 | 4c | 0.23374(2) | 1/4 | 0.32735(2) | 0.00802(5) |
| Eu7 | 4c | 0.28181(2) | 1/4 | 0.42064(2) | 0.01059(5) |
| Eu8 | 4c | 0.30237(2) | 1/4 | 0.24745(2) | 0.00891(5) |
| Eu9 | 4c | 0.31121(2) | 1/4 | 0.62266(2) | 0.00575(5) |
| Zn1 b | 4c | 0.0749(1) | 1/4 | 0.38646(3) | 0.0076(2) |
| Zn2 | 4c | 0.09963(5) | 1/4 | 0.86014(2) | 0.0069(1) |
| Zn3 b | 4c | 0.2755(1) | 1/4 | 0.17782(3) | 0.0069(2) |
| Zn4B c | 4c | 0.3015(1) | 1/4 | 0.49314(3) | 0.0132(2) |
| Zn4A c | 4c | 0.3646(1) | 1/4 | 0.50040(3) | 0.0132(2) |
| Zn5 b | 4c | 0.3303(1) | 1/4 | 0.07027(3) | 0.0073(2) |
| Zn6 | 4c | 0.44570(5) | 1/4 | 0.74422(2) | 0.0070(1) |
| As1A c | 4c | 0.04713(9) | 1/4 | 0.45177(2) | 0.0083(1) |
| As1B c | 4c | 0.08877(9) | 1/4 | 0.46353(3) | 0.0083(1) |
| As2 | 4c | 0.05186(4) | 1/4 | 0.27507(2) | 0.00597(9) |
| As3 | 4c | 0.12226(4) | 1/4 | 0.79615(2) | 0.00485(8) |
| As4 | 4c | 0.25374(4) | 1/4 | 0.55010(2) | 0.00599(9) |
| As5 | 4c | 0.28296(4) | 1/4 | 0.70105(2) | 0.00565(9) |
| As6 | 4c | 0.31521(4) | 1/4 | 0.87441(2) | 0.00710(9) |
| As7 | 4c | 0.37576(4) | 1/4 | 0.12899(2) | 0.00743(9) |
| As8 | 4c | 0.49340(4) | 1/4 | 0.37946(2) | 0.00564(9) |
| As9 | 4c | 0.61590(5) | 1/4 | 0.52913(2) | 0.0097(1) |
| Atom Pair | Distance (Å) | Atom Pair | Distance (Å) |
|---|---|---|---|
| Zn1–As1A | 2.808(2) | Zn4B–As1B | 2.886(2) |
| Zn1–As6 × 2 | 2.6154(7) | Zn4B–As4 | 2.500(1) |
| Zn1–As7 | 2.517(1) | Zn4B–As9 × 2 | 2.5879(8) |
| Zn2–As3 | 2.7444(7) | Zn5–As1A | 2.807(2) |
| Zn2–As6 | 2.6988(8) | Zn5–As4 × 2 | 2.5634(7) |
| Zn2–As8 × 2 | 2.5977(4) | Zn5–As7 | 2.566(1) |
| Zn3–As5 × 2 | 2.5043(6) | Zn6–As2 × 2 | 2.5525(4) |
| Zn3–As7 | 2.416(1) | Zn6–As3 | 2.7574(8) |
| Zn4A–As4 | 2.515(1) | Zn6–As5 | 2.7079(8) |
| Zn4A–As9 × 2 | 2.5348(7) |
Disclaimer/Publisher’s Note: The statements, opinions and data contained in all publications are solely those of the individual author(s) and contributor(s) and not of MDPI and/or the editor(s). MDPI and/or the editor(s) disclaim responsibility for any injury to people or property resulting from any ideas, methods, instructions or products referred to in the content. |
© 2026 by the authors. Licensee MDPI, Basel, Switzerland. This article is an open access article distributed under the terms and conditions of the Creative Commons Attribution (CC BY) license.
Share and Cite
Watts, S.R.; Pokhvata, O.; Kandabadage, T.; Thipe, B.; Bai, X.; Bobev, S.; Baranets, S. Synthesis, Structure, and Properties of the Complex Zintl Phase Eu9Zn4.5As9: A Candidate Topological Insulator and Thermoelectric Material. Crystals 2026, 16, 137. https://doi.org/10.3390/cryst16020137
Watts SR, Pokhvata O, Kandabadage T, Thipe B, Bai X, Bobev S, Baranets S. Synthesis, Structure, and Properties of the Complex Zintl Phase Eu9Zn4.5As9: A Candidate Topological Insulator and Thermoelectric Material. Crystals. 2026; 16(2):137. https://doi.org/10.3390/cryst16020137
Chicago/Turabian StyleWatts, Spencer R., Olha Pokhvata, Thimira Kandabadage, Bhushan Thipe, Xiaojian Bai, Svilen Bobev, and Sviatoslav Baranets. 2026. "Synthesis, Structure, and Properties of the Complex Zintl Phase Eu9Zn4.5As9: A Candidate Topological Insulator and Thermoelectric Material" Crystals 16, no. 2: 137. https://doi.org/10.3390/cryst16020137
APA StyleWatts, S. R., Pokhvata, O., Kandabadage, T., Thipe, B., Bai, X., Bobev, S., & Baranets, S. (2026). Synthesis, Structure, and Properties of the Complex Zintl Phase Eu9Zn4.5As9: A Candidate Topological Insulator and Thermoelectric Material. Crystals, 16(2), 137. https://doi.org/10.3390/cryst16020137

