Transport Properties of One-Dimensional van der Waals Heterostructures Based on Molybdenum Dichalcogenides
Abstract
1. Introduction
2. Methods
3. The Geometry of the Structures
- MoS2(24,24) + hBN(27,27) + CNT(24,24)CNT(24,24)@ hBN(27,27)@MoS2(24,24);
- MoSe2(24,24) + hBN(27,27) + CNT(24,24)CNT(24,24)@ hBN(27,27)@MoSe2(24,24);
- MoTe2(24,24) + hBN(27,27) + CNT(24,24) CNT(24,24)@ hBN(27,27)@MoTe2(24,24).
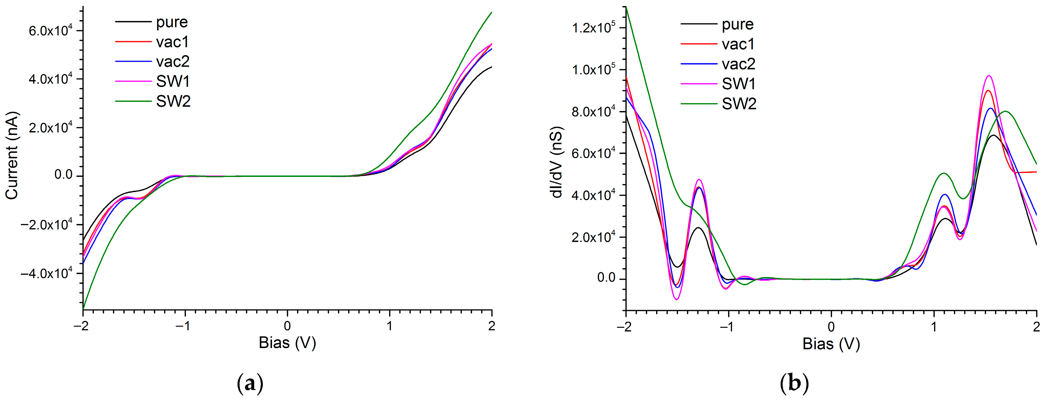
4. Results and Discussion
5. Conclusions
Author Contributions
Funding
Data Availability Statement
Conflicts of Interest
References
- Novoselov, K.S.; Geim, A.K.; Morozov, S.V.; Jiang, D.; Zhang, Y.; Dubonos, S.V.; Grigorieva, I.V.; Firsov, A.A. Electric field effect in atomically thin carbon films. Science 2004, 306, 666–669. [Google Scholar] [CrossRef] [PubMed]
- Farjadian, F.; Abbaspour, S.; Sadatlu, M.A.A.; Mirkiani, S.; Ghasemi, A.; Hoseini-Ghahfarokhi, M.; Mozaffari, N.; Karimi, M.; Hamblin, M.R. Recent Developments in Graphene and Graphene Oxide: Properties, Synthesis, and Modifications: A Review. Chemistryselect 2020, 5, 10200–10219. [Google Scholar] [CrossRef]
- Mogera, U.; Kulkarni, G.U. A new twist in graphene research: Twisted graphene. Carbon 2020, 156, 470–487. [Google Scholar] [CrossRef]
- Fiore, S.; Klinkert, C.; Ducry, F.; Backman, J.; Luisier, M. Influence of the hBN Dielectric Layers on the Quantum Transport Properties of MoS2 Transistors. Materials 2022, 15, 1062. [Google Scholar] [CrossRef] [PubMed]
- Delgado, N.; Salas, O.; Garcés, E.; Magaña, L.F. Ab-Initio Calculation of the Electrical Conductivity, Optical Absorption, and Reflectivity of the 2D Materials SnC and NbC. Crystals 2023, 13, 682. [Google Scholar] [CrossRef]
- Vandenberghe, W.G.; Osanloo, M.R. Two-Dimensional Dielectrics for Future Electronics: Hexagonal Boron Nitride, Oxyhalides, Transition-Metal Nitride Halides, and Beyond. ACS Appl. Electron. Mater. 2023, 5, 623–631. [Google Scholar] [CrossRef]
- Sergeyev, D.; Ashikov, N.; Zhanturina, N. Electric Transport Properties of a Model NanojunctionGraphene–Fullerene C60–Graphene. Int. J. Nanosci. 2021, 20, 2150007. [Google Scholar] [CrossRef]
- Geim, A.K.; Grigorieva, I.V. Van der Waals heterostructures. Nature 2013, 499, 419–425. [Google Scholar] [CrossRef] [PubMed]
- Luo, H.; Wang, B.; Wang, E.; Wang, X.; Sun, Y.; Liu, K. High-Responsivity Photovoltaic Photodetectors Based on MoTe2/MoSe2 van der Waals Heterojunctions. Crystals 2019, 9, 315. [Google Scholar] [CrossRef]
- Molaei, M.J.; Younas, M.; Rezakazemi, M. Van der Waals heterostructures in ultrathin 2D solar cells: State-of-the-art review. Mater. Sci. Eng. B 2022, 285, 115936. [Google Scholar] [CrossRef]
- Li, X.; Yuan, P.; He, M.; Li, L.; Du, J.; Xiong, W.; Xia, C.; Kou, L. Optoelectronic properties and applications of two-dimensional layered semiconductor van der Waals heterostructures: Perspective from theory. J. Phys. Condens. Matter 2023, 35, 043001. [Google Scholar] [CrossRef] [PubMed]
- Xu, H.; Xue, Y.; Liu, Z.; Tang, Q.; Wang, T.; Gao, X.; Qi, Y.; Chen, Y.P.; Ma, C.; Jiang, Y. Van der Waals Heterostructures for Photoelectric, Memory, and Neural Network Applications. Small Sci. 2024, 4, 300213. [Google Scholar] [CrossRef] [PubMed]
- Li, X.X.; Sha, X.Z.; Zhang, T.Y.; Wang, H.W.; Han, Z.V. The Emerging Nano-Opto-Electromechanical Systems Based on van der Waals Heterostructures. Adv. Funct. Mater. 2025; early access. [Google Scholar] [CrossRef]
- Petrov, A.V.; Ivanov-Schitz, A.K.; Murin, I.V. Enhanced Oxygen Mobility in Undoped ZrO2-CeO2 Heterostructure. Phys. Status Solidi A 2023, 220, 2200494. [Google Scholar] [CrossRef]
- Davletshin, A.R.; Ustiuzhanina, S.V.; Kistanov, A.A.; Saadatmand, D.; Dmitriev, S.V.; Zhou, K.; Korznikova, E.A. Electronic structure of graphene- and BN-supported phosphorene. Phys. B Condens. Matter 2018, 534, 63–67. [Google Scholar] [CrossRef]
- Li, X.H.; Wang, B.J.; Ke, S.H. Blue phosphorene/MoSi2N4 van der Waals type-II heterostructure: Highly efficient bifunctional materials for photocatalytics and photovoltaics. Chin. Phys. B 2023, 32, 027104. [Google Scholar] [CrossRef]
- Sergeyev, D. Single electron transistor based on endohedralmetallofullerenes Me@C60 (Me = Li, Na, K). J. Nano- Electron. Phys. 2020, 12, 03017. [Google Scholar] [CrossRef] [PubMed]
- Darsey, J.A. Artificial Intelligence Modeling of Materials’ Bulk Chemical and Physical Properties. Crystals 2024, 14, 866. [Google Scholar] [CrossRef]
- Park, H.K.; Kim, Y.; Park, J.M.; Ameyama, K.; Kim, H.S. Efficient design of harmonic structure using an integrated hetero-deformation induced hardening model and machine learning algorithm. Acta Mater. 2023, 244, 118583. [Google Scholar] [CrossRef]
- Zheng, Y.; Kumamoto, A.; Hisama, K.; Otsuka, K.; Wickerson, G.; Sato, Y.; Liu, M.; Inoue, T.; Chiashi, S.; Tang, D.-M.; et al. One-dimensional van der Waals heterostructures: Growth mechanism and handedness correlation revealed by nondestructive TEM. Proc. Natl. Acad. Sci. USA 2021, 118, e2107295118. [Google Scholar] [CrossRef] [PubMed]
- Fei, R.; Li, W.; Li, J.; Yang, L. Giant piezoelectricity of monolayer group IV monochalcogenides: SnSe, SnS, GeSe, and GeS. Appl. Phys. Lett. 2015, 107, 173104. [Google Scholar] [CrossRef]
- Artyukhov, V.I.; Gupta, S.; Kutana, A.; Yakobson, B.I. Flexoelectricity and charge separation in carbon nanotubes. Nano Lett. 2020, 20, 3240–3246. [Google Scholar] [CrossRef] [PubMed]
- Lu, A.Y.; Zhu, H.; Xiao, J.; Chuu, C.P.; Han, Y.M.; Chiu, M.H.; Cheng, C.C.; Yang, C.W.; Wei, K.H.; Yang, Y.; et al. Janus monolayers of transition metal dichalcogenides. Nat. Nanotech. 2017, 12, 744–749. [Google Scholar] [CrossRef] [PubMed]
- Lee, C.; Rathi, S.; Khan, M.A.; Lim, D.; Kim, Y.; Yun, S.J.; Youn, D.H.; Watanabe, K.; Taniguchi, T.; Kim, G.H. Comparison of trapped charges and hysteresis behavior in hBN encapsulated single MoS2 flake based field effect transistors on SiO2 and hBN substrates. Nanotechnology 2018, 29, 335202. [Google Scholar] [CrossRef] [PubMed]
- Illarionov, Y.Y.; Knobloch, T.; Jech, M.; Lanza, M.; Akinwande, D.; Vexler, M.I.; Mueller, T.; Lemme, M.C.; Fiori, G.; Schwierz, F.; et al. Insulators for 2D nanoelectronics: The gap to bridge. Nat. Commun. 2020, 11, 3385. [Google Scholar] [CrossRef] [PubMed]
- Illarionov, Y.; Banshchikov, A.G.; Polyushkin, D.K.; Wachter, S.; Knobloch, T.; Thesberg, M.; Mennel, L.; Paur, M.; Stöger-Pollach, M.; Steiger-Thirsfeld, A.; et al. Ultrathin calcium fluoride insulators for two-dimensional field-effect transistors. Nat. Electron. 2019, 2, 230–235. [Google Scholar] [CrossRef]
- She, A.X.; Zhao, Y.C.; Ni, J.; Dai, Z.H. The influence of lattice anharmonicity on the thermal transport properties of two-dimensional MgF2. J. Phys. D Appl. Phys. 2025, 58, 045305. [Google Scholar] [CrossRef]
- Chattopadhyay, S.; Mahapatra, P.L.; Mattur, M.N.; Pramanik, A.; Gupta, S.; Pieshkov, T.S.; Saju, S.; Costin, G.; Vajtai, R.; Tiwary, C.S.; et al. Unlocking the Potential: Atomically Thin 2D Fluoritene from Exfoliated Fluorite Ore and Its Electrochemical Activity. Nano Lett. 2024, 24, 7284–7292. [Google Scholar] [CrossRef] [PubMed]
- Li, Z.X.; Ren, Q.P.; Chang, Y.X.; Ding, D.S.; Ma, L.L.; Xu, Y.S.; Zhang, S.Q.; Zhang, X.H. 1D to 2D Growth of NaF Crystals in Photothermo-Refractive Glasses. Cryst. Growth Des. 2024, 24, 7981–7989. [Google Scholar] [CrossRef]
- Shunkeyev, K.; Tilep, A.; Sagimbayeva, S.; Ubaev, Z.; Lushchik, A. The Effect of Instability of KCl:Na Single Crystals. Crystals 2023, 13, 364. [Google Scholar] [CrossRef]
- Maestre, C.; Li, Y.D.; Garnier, V.; Steyer, P.; Roux, S.; Plaud, A.; Loiseau, A.; Barjon, J.; Ren, L.; Robert, C.; et al. From the synthesis of hBN crystals to their use as nanosheets in van der Waals heterostructures. 2D Mater. 2022, 9, 035008. [Google Scholar] [CrossRef]
- Gong, Y.; Xu, Z.-Q.; Li, D.; Zhang, J.; Aharonovich, I.; Zhang, Y. Two-Dimensional Hexagonal Boron Nitride for Building Next-Generation Energy-Efficient Devices. ACS Energy Lett. 2021, 6, 985–996. [Google Scholar] [CrossRef]
- Robertson, J. High dielectric constant oxides. Eur. Phys. 2004, 28, 265–291. [Google Scholar] [CrossRef]
- Li, W.; Zhou, J.; Cai, S.H.; Yu, Z.H.; Zhang, J.L.; Fang, N.; Li, T.; Wu, Y.; Chen, T.; Xie, X.; et al. Uniform and ultrathin high-κ gate dielectrics for two-dimensional electronic devices. Nat. Electron. 2019, 2, 563–571. [Google Scholar] [CrossRef]
- Illarionov, Y.; Waltl, M.; Rzepa, G.; Knobloch, T.; Kim, J.S.; Akinwande, D.; Grasser, T. Highly-stable black phosphorus field-effect transistors with low density of oxide traps. npj 2D Mater. Appl. 2017, 1, 23. [Google Scholar] [CrossRef]
- Xiang, R.; Inoue, T.; Zheng, Y.J.; Kumamoto, A.; Qian, Y.; Sato, Y.; Liu, M.; Tang, D.; Gokhale, D.; Guo, J.; et al. One-dimensional van der Waals heterostructures. Science 2020, 367, 537–542. [Google Scholar] [CrossRef] [PubMed]
- Baithi, M.; Duong, D.L. Doped, Two-Dimensional, Semiconducting Transition Metal Dichalcogenides in Low-Concentration Regime. Crystals 2024, 14, 832. [Google Scholar] [CrossRef]
- Moon, B.H. Metal-insulator transition in two-dimensional transition metal dichalcogenides. Emergent Mater. 2021, 4, 989–998. [Google Scholar] [CrossRef]
- Rasulov, V.R.; Rasulov, R.Y.; Nasirov, M.K.; Muminov, I.A.; Mamatova, M.M. Theory of size quantization in monolayers of transition metal dichalcogenides. Phys. Scr. 2024, 99, 105987. [Google Scholar] [CrossRef]
- Kim, Y.; Kim, J. Near-field optical imaging and spectroscopy of 2D-TMDs. Nanophotonics 2021, 10, 3397–3415. [Google Scholar] [CrossRef]
- Ding, D.D.; Qu, Z.Z.; Han, X.Y.; Han, C.R.; Zhuang, Q.; Yu, X.L.; Niu, R.R.; Wang, Z.Y.; Li, Z.X.; Gan, Z.Z.; et al. Multivalley Superconductivity in Monolayer Transition Metal Dichalcogenides. Nano Lett. 2022, 22, 7919–7926. [Google Scholar] [CrossRef] [PubMed]
- Heil, C.; Ponce, S.; Lambert, H.; Schlipf, M.; Margine, E.R.; Giustino, F. Origin of Superconductivity and Latent Charge Density Wave in NbS2. Phys. Rev. Lett. 2017, 119, 087003. [Google Scholar] [CrossRef] [PubMed]
- Tsuppayakorn-aek, P.; Pluengphon, P.; Phansuke, P.; Inceesungvorn, B.; Busayaporn, W.; Kaewtubtim, P.; Bovornratanaraks, T. Effect of substitution on the superconducting phase of transition metal dichalcogenideNb(SexS1-x)2 van der Waals layered structure. Sci. Rep. 2021, 11, 15215. [Google Scholar] [CrossRef] [PubMed]
- Sergeyev, D.M. Modeling of the transport properties of SNS contacts for strong electron-phonon interactions. Russ. Phys. J. 2016, 59, 456–465. [Google Scholar] [CrossRef]
- Sergeyev, D.; Shunkeyev, K.; Solovjov, A.L. On a model of a Josephson junction with a single quantum channel featuring a “deformed” Andreev reflection coefficient. Low Temp. Phys. 2024, 50, 976–981. [Google Scholar] [CrossRef]
- Chen, M.D.; Li, L.; Xu, M.Z.; Li, W.W.; Zheng, L.; Wang, X.W. Quasi-One-Dimensional van der Waals Transition Metal Trichalcogenides. Research 2023, 6, 0066. [Google Scholar] [CrossRef] [PubMed]
- Chin, H.T.; Hofmann, M.; Huang, S.Y.; Yao, S.F.; Lee, J.J.; Chen, C.C.; Ting, C.C.; Hsieh, Y.P. Ultra-thin 2D transition metal monochalcogenide crystals by planarized reactions. npj 2D Mater. Appl. 2021, 5, 28. [Google Scholar] [CrossRef]
- Xiang, R.; Maruyama, S.; Li, Y. Building blocks for one-dimensional van der Waals heterostructures. Natl. Sci. Open 2022, 1, 20220016. [Google Scholar] [CrossRef]
- Ratnikov, P.; Silin, A. Two-dimensional graphene electronics: Current status and prospects. Phys.-Usp. 2018, 61, 1139–1174. [Google Scholar] [CrossRef]
- Shah, S.J.; Chen, J.Y.; Xie, X.; Oyang, X.; Ouyang, F.P.; Liu, Z.W. Progress and prospects of Moiré superlattices in twisted TMD heterostructures. Nano Res. 2024, 17, 10134–10161. [Google Scholar] [CrossRef]
- Chuang, M.H.; Chen, C.A.; Liu, P.Y.; Zhang, X.Q.; Yeh, N.Y.; Shih, H.J.; Lee, Y.H. Scalable Moire Lattice with Oriented TMD Monolayers. Nanoscale Res. Lett. 2022, 17, 34. [Google Scholar] [CrossRef] [PubMed]
- Sergeyev, D.; Duisenova, A.; Solovjov, A.; Ismayilova, N. Electron transport in a stressed moiré bigraphene structure. Results Phys. 2023, 54, 107140. [Google Scholar] [CrossRef]
- Yankowitz, M.; Larentis, S.; Kim, K.; Xue, J.M.; McKenzie, D.; Huang, S.Q. Intrinsic Disorder in Graphene on Transition Metal DichalcogenideHeterostructures. Nano Lett. 2015, 15, 1925–1929. [Google Scholar] [CrossRef] [PubMed]
- Lee, H.Y.; Wang, Z.Y.; Chen, G.C.; Holtzman, L.N.; Yan, X.Z.; Amontree, J.; Zangiabadi, A.; Watanabe, K.; Taniguchi, T.; Barmak, K.; et al. In situ via Contact to hBN-Encapsulated Air-Sensitive Atomically Thin Semiconductors. ACS Nano 2024, 18, 17111–17118. [Google Scholar] [CrossRef] [PubMed]
- Lan, H.Y.; Tripathi, R.; Appenzeller, J.; Chen, Z.H. Near-Ideal Subthreshold Swing in Scaled 2D Transistors: The Critical Role of Monolayer hBN Passivation. IEEE Electr. Device Lett. 2024, 45, 1337–1340. [Google Scholar] [CrossRef]
- Kim, M.; Lee, Y.; Kumar, S.; Kang, D.; Lee, S.; Nguyen, V.; Nguyen, V.H.; Nguyen, D.C.; Jaffery, S.H.A.; Jung, J.; et al. UV light controlled optoelectronic memory based on WSe2 and hBN encapsulated grapheneheterostructures. J. Alloy. Compd. 2023, 936, 168333. [Google Scholar] [CrossRef]
- Su, Z.; Zhao, Y.; Huang, Y.; Xu, C.; Yang, X.; Wang, B.; Xu, B.; Xu, S.; Bai, G. Light-driven soft actuator based on graphene and WSe2 nanosheets composite for multimodal motion and remote manipulation. Nano Res. 2023, 16, 1313–1319. [Google Scholar] [CrossRef]
- Li, C.; Xu, Z.Q.; Mendelson, N.; Kianinia, M.; Wan, Y.; Toth, M.; Aharonovich, I.; Bradac, C. Resonant energy transfer between hexagonal boron nitride quantum emitters and atomically layered transition metal dichalcogenides. 2D Mater. 2020, 7, 045015. [Google Scholar] [CrossRef]
- Li, X.D.; Wu, S.Q.; Zhou, S.; Zhu, Z.Z. Structural and electronic properties of germanene/MoS2 monolayer and silicene/MoS2 monolayer superlattices. Nanoscale Res. Lett. 2014, 9, 110. [Google Scholar] [CrossRef] [PubMed]
- Sergeyev, D.; Duisenova, A. Electron Transport in Model Quasi-Two-Dimensional van der Waals Nanodevices. Tech. Phys. Lett. 2021, 47, 375–378. [Google Scholar] [CrossRef]
- Nie, X.-R.; Zhang, M.; Zhu, H.; Chen, L.; Sun, Q.-Q.; Zhang, D.W. Thickness dependence of low-frequency noise in MoS2 field-effect transistors with enhanced back-gate control. IEEE Electron Dev. Lett. 2018, 39, 739–741. [Google Scholar] [CrossRef]
- Vu, Q.; Fan, S.; Lee, S.H.; Joo, M.-K.; Yu, W.J.; Lee, Y.H. Near-zero hysteresis and near-ideal subthreshold swing in h-BN encapsulated single-Layer MoS2 field-effect transistors. 2D Mater. 2018, 5, 031001. [Google Scholar] [CrossRef]
- Grasser, T. Bias Temperature Instability for Devices and Circuits; Springer Science & Business Media: Berlin, Germany, 2013. [Google Scholar]
- Algharagholy, L.A. Defects in Carbon Nanotubes and their Impact on the Electronic Transport Properties. J. Electron. Mater. 2019, 48, 2301–2306. [Google Scholar] [CrossRef]
- Sergeyev, D. Computer simulation of electrical characteristics of a graphene cluster with Stone-Wales Defects. J. Nano- Electron. Phys. 2018, 10, 03018. [Google Scholar] [CrossRef]
- Sergeyev, D.; Zhanturina, N. Computer simulation of electrical characteristics of singlewalled carbon nanotube (9,0) with Stone-Wales defect. J. Phys. Conf. Ser. 2018, 1015, 032124. [Google Scholar] [CrossRef]
- Kaur, M.; Sawhney, R.S.; Engles, D. Proliferating miller indices of C20 fullerene device under DFT-NEGF regime. J. Mol. Graph. Model. 2017, 71, 184–191. [Google Scholar] [CrossRef] [PubMed]
- Abadir, G.B.; Walus, K.; Pulfrey, D.L. Basis-set choice for DFT/NEGF simulations of carbon nanotubes. J. Comput. Electron. 2009, 8, 1–9. [Google Scholar] [CrossRef]
- Smidstrup, S.; Stradi, D.; Wellendorff, J.; Khomyakov, P.A.; Vej-Hansen, U.G.; Lee, M.-E.; Ghosh, T.; Jónsson, E.; Jónsson, H.; Stokbro, K. First-principles Green’s-function method for surface calculations: A pseudopotential localized basis set approach. Phys. Rev. B 2017, 96, 195309. [Google Scholar] [CrossRef]
- Brandbyge, M.; Mozos, J.L.; Ordejón, P.; Taylor, J.; Stokbro, K. Density-functional method for nonequilibrium electron transport. Phys. Rev. B 2002, 65, 165401. [Google Scholar] [CrossRef]
- Shohany, B.G.; Roknabadi, M.R.; Kompany, A. DFT-NEGF simulation of graphene-graphdiyne-graphene resonant tunneling transistor. Comp. Mater. Sci. 2018, 144, 280–284. [Google Scholar] [CrossRef]
- Sergeyev, D.; Zhanturina, N. Simulation of electrical characteristics of switching nanostructures Pt-TiO-Pt and Pt-NiO-Pt with memory. Radioengineering 2019, 28, 714–720. [Google Scholar] [CrossRef]
- Perdew, J.P.; Burke, K.; Ernzerhof, M. Generalized gradient approximation made simple. Phys. Rev. Lett. 1996, 77, 3865–3868. [Google Scholar] [CrossRef] [PubMed]
- Stone, A.J.; Wales, D.J. Theoretical studies of icosahedral C60 and some related species. Chem. Phys. Lett. 1986, 128, 501–503. [Google Scholar] [CrossRef]
- Podlivaev, A.I.; Openov, L.A. Dynamics of the Stone-Wales defect in graphene. Phys. Solid State 2015, 57, 820–824. [Google Scholar] [CrossRef]
- Kotakoski, J.; Meyer, J.C.; Kurasch, S.; Santos-Cottin, D.; Kaiser, U.; Krasheninnikov, A.V. Stone-Wales-type transformations in carbon nanostructures driven by electron irradiation. Phys. Rev. B 2011, 83, 245420. [Google Scholar] [CrossRef]
- Meyer, J.C.; Kisielowski, C.; Erni, R.; Rossell, M.D.; Crommie, M.F.; Zettl, A. Direct imaging of lattice atoms and topological defects in graphene membranes. Nano Lett. 2008, 8, 3582–3586. [Google Scholar] [CrossRef] [PubMed]
- Chen, L.; Li, J.; Li, D.; Wei, M.; Wang, X. Chemical functionalization of graphene by H adsorption on Stone-Thrower-Wales defects. Solid State Commun. 2012, 152, 1985–1989. [Google Scholar] [CrossRef]
- Openov, L.A.; Podlivaev, A.I. Interaction of the stone–wales defects in graphene. Phys. Solid State 2015, 57, 1477–1481. [Google Scholar] [CrossRef]
- Yu, G.L.; Wang, L.H. Excitons states and linear absorption spectra of carbon nanotubes with Stone-Wales defects. Phys. B 2023, 667, 415143. [Google Scholar] [CrossRef]
- Lin, Y.C.; Björkman, T.; Komsa, H.P.; Teng, P.-Y.; Yeh, C.-H.; Huang, F.-S.; Lin, K.H.; Jadczak, J.; Huang, Y.S.; Chiu, P.W.; et al. Three-fold rotational defects in two-dimensional transition metal dichalcogenides. Nat. Commun. 2015, 6, 6736. [Google Scholar] [CrossRef] [PubMed]
- de Graaf, S.; Kooi, B.J. Radiation damage and defect dynamics in 2D WS2: A low-voltage scanning transmission electron microscopy study. 2D Mater. 2022, 9, 015009. [Google Scholar] [CrossRef]
- Luo, Y.P.; Tien, L.G.; Tsai, C.H.; Lee, M.H.; Li, F.Y. Dependence of the electrical properties of defective single-walled carbon nanotubes on the vacancy density. Chin. Phys. 2011, 20, 087303. [Google Scholar] [CrossRef]
- Brcic, M.; Canadija, M.; Brnic, J. Influence of Waviness and Vacancy Defects on Carbon Nanotubes Properties. Procedia Eng. 2014, 100, 213–219. [Google Scholar] [CrossRef]
- Electronic Density of States of Carbon Nanotubes. Available online: http://lampz.tugraz.at/~hadley/ss1/bands/tbtable/cnt_files/cnts.html? (accessed on 12 March 2025).
- Sergeyev, D.; Duisenova, A.; Shunkeyev, K. Electronic and Optical Properties of One-Dimensional Van Der Waals Nanodevices Based on MoS2(n,n) and MoSe2(n,n) Nanotubes. Crystals 2024, 14, 1055. [Google Scholar] [CrossRef]
- Yun, W.S.; Han, S.W.; Hong, S.C.; Kim, I.G.; Lee, J.D. Thickness and strain effects on electronic structures of transition metal dichalcogenides: 2H-MX2 semiconductors (M = Mo, W; X = S, Se, Te). Phys. Rev. B 2012, 85, 033305. [Google Scholar] [CrossRef]
- Faizabadi, E.; Bagheri, A. Effects of vacancy percentage on the energy gap of zigzag single-wall carbon nanotubes. Phys. E Low-Dimens. Syst. Nanostructures 2009, 41, 1828–1831. [Google Scholar] [CrossRef]
- Neophytou, N.; Ahmed, S.; Klimeck, G. Influence of vacancies on metallic nanotube transport properties. Appl. Phys. Lett. 2007, 90, 182119. [Google Scholar] [CrossRef]
- Paulsson, M.; Frederiksen, T.; Ueba, H.; Lorente, N.; Brandbyge, M. Unified Description of Inelastic Propensity Rules for Electron Transport through Nanoscale Junctions. Phys. Rev. Lett. 2008, 100, 226604. [Google Scholar] [CrossRef] [PubMed]
- Sergeyev, D. Nanoswitch based on ring-opening of 1,3-cyclohexadiene molecule. Int. J. Nanoelectron. Mater. 2021, 14, 49–60. [Google Scholar]
- Sergeyev, D. One-dimensional Schottkynanodiode based on telescoping polyprismanes. Adv. Nano Res. 2021, 10, 339–347. [Google Scholar] [CrossRef]
- Sergeyev, D.; Duisenova, A. Electron transport in core-shell type fullerene nanojunction. Adv. Nano Res. 2022, 12, 25–35. [Google Scholar] [CrossRef]
- Sun, J.P.; Haddad, G.I.; Mazumder, P.; Schulman, J.N. Resonant tunneling diodes: Models and properties. Proc. IEEE 1997, 86, 641–661. [Google Scholar] [CrossRef]
- Guisinger, N.P.; Basu, R.; Greene, M.E.; Baluch, A.S.; Hersam, M.C. Observed suppression of room temperature negative differential resistance in organic monolayers on Si(100). Nanotechnology 2004, 15, S452–S458. [Google Scholar] [CrossRef]
- Rakshit, T.; Liang, G.C.; Ghosh, A.W.; Datta, S. Silicon-based Molecular Electronics. Nano Lett. 2004, 4, 1803–1807. [Google Scholar] [CrossRef]
- Sergeyev, D. Specific Features of Electron Transport in a Molecular Nanodevice Containing a Nitroamine Redox Center. Tech. Phys. 2020, 65, 573–577. [Google Scholar] [CrossRef]
- Dalidchik, F.I.; Balashov, E.M.; Kovalevskiy, S.A. Nature of Equidistant Negative Differential Resonances in Tunneling Spectra of Ultrasmall Nanoparticles. JETP Lett. 2018, 108, 471–475. [Google Scholar] [CrossRef]

















| NT | D1 (Å) | D2 (Å) |
|---|---|---|
| MoS2(24,24) | 40.3 | 46.79 |
| MoSe2(24,24) | 42.45 | 49.44 |
| MoTe2(24,24) | 42.8 | 50.33 |
| hBN(27,27) | 36.00 | – |
| CNT(24,24) | 31.23 | – |
Disclaimer/Publisher’s Note: The statements, opinions and data contained in all publications are solely those of the individual author(s) and contributor(s) and not of MDPI and/or the editor(s). MDPI and/or the editor(s) disclaim responsibility for any injury to people or property resulting from any ideas, methods, instructions or products referred to in the content. |
© 2025 by the authors. Licensee MDPI, Basel, Switzerland. This article is an open access article distributed under the terms and conditions of the Creative Commons Attribution (CC BY) license (https://creativecommons.org/licenses/by/4.0/).
Share and Cite
Sergeyev, D.; Shunkeyev, K. Transport Properties of One-Dimensional van der Waals Heterostructures Based on Molybdenum Dichalcogenides. Crystals 2025, 15, 656. https://doi.org/10.3390/cryst15070656
Sergeyev D, Shunkeyev K. Transport Properties of One-Dimensional van der Waals Heterostructures Based on Molybdenum Dichalcogenides. Crystals. 2025; 15(7):656. https://doi.org/10.3390/cryst15070656
Chicago/Turabian StyleSergeyev, Daulet, and Kuanyshbek Shunkeyev. 2025. "Transport Properties of One-Dimensional van der Waals Heterostructures Based on Molybdenum Dichalcogenides" Crystals 15, no. 7: 656. https://doi.org/10.3390/cryst15070656
APA StyleSergeyev, D., & Shunkeyev, K. (2025). Transport Properties of One-Dimensional van der Waals Heterostructures Based on Molybdenum Dichalcogenides. Crystals, 15(7), 656. https://doi.org/10.3390/cryst15070656

