Experimental Evaluation of GAGG:Ce Crystalline Scintillator Properties Under X-Ray Radiation
Abstract
1. Introduction
2. Materials and Methods
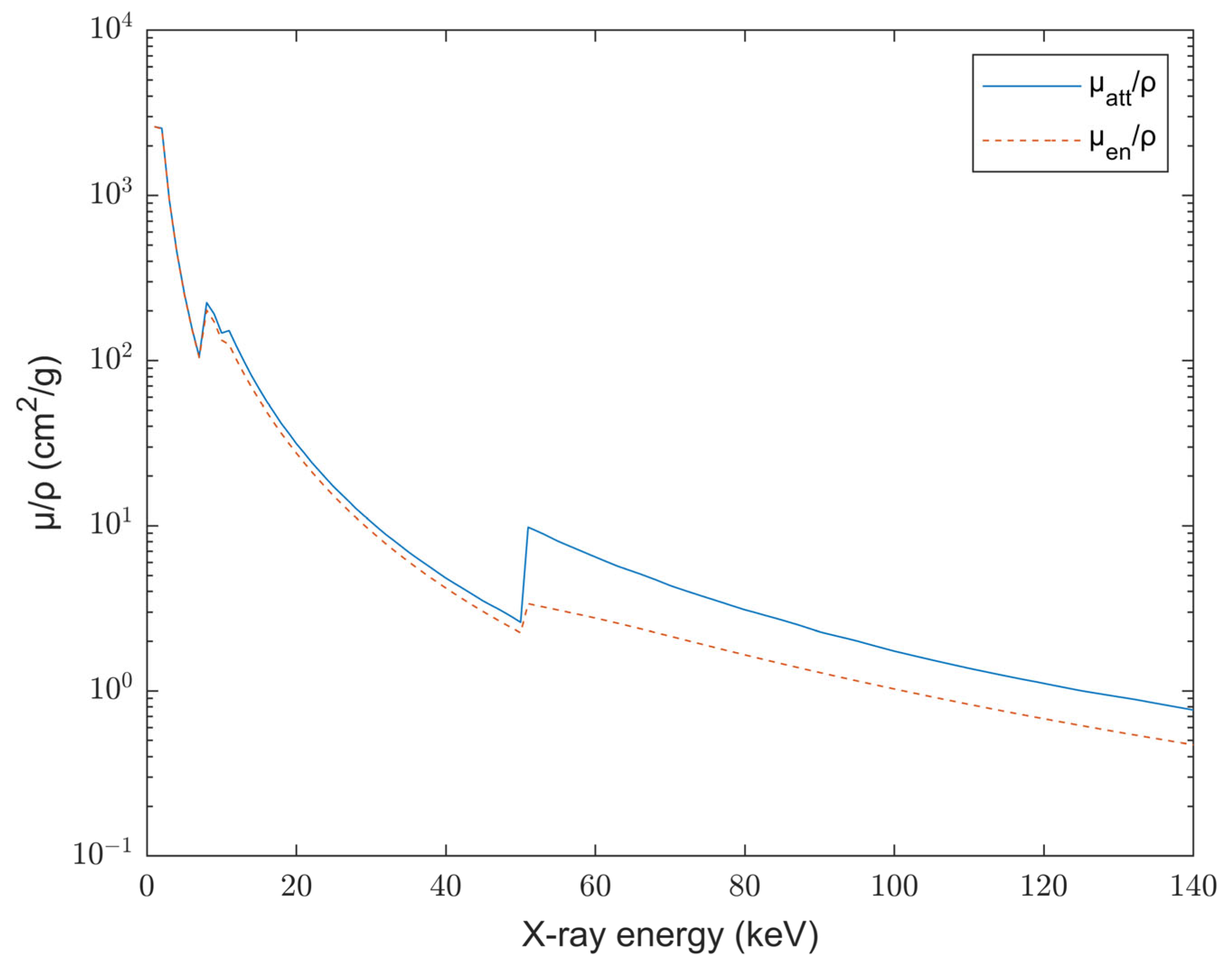
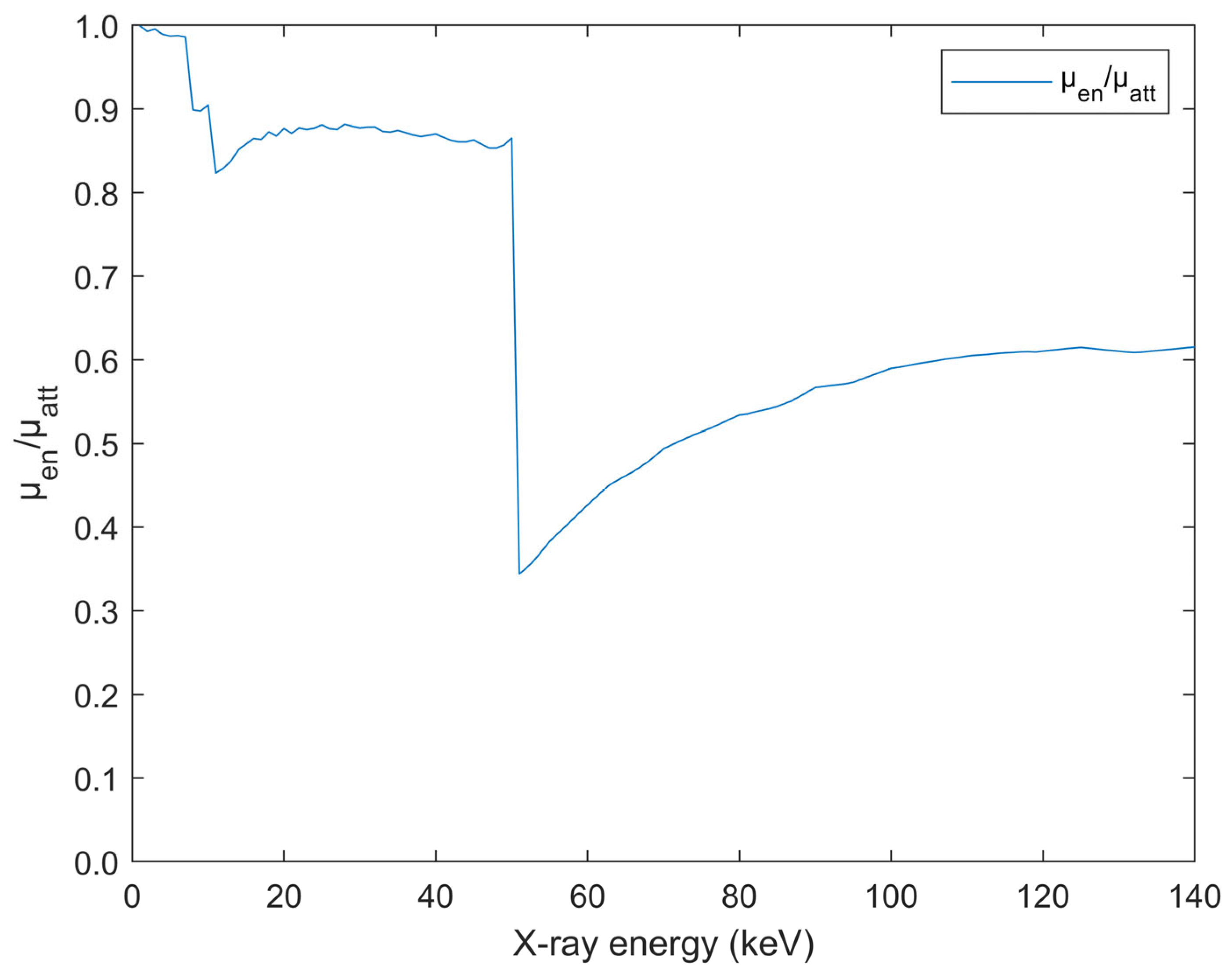
3. Results
4. Discussion
5. Conclusions
Author Contributions
Funding
Data Availability Statement
Conflicts of Interest
Abbreviations
| GAGG | Gadolinium aluminum gallium garnet |
| SMF | Spectral matching factor |
| AE | Absolute luminescence efficiency |
| EE | Effective efficiency |
| EAE | Energy absorption efficiency |
| QDE | Quantum-detection efficiency |
| DQE | Detective quantum efficiency |
| CMOS | Complementary metal-oxide semiconductors |
| CCD | Charged-coupled devices |
| PET | Positron emission tomography |
| CT | Computed tomography |
| SPECT | Single-photon emission computed tomography |
| PMT | Photomultiplier tube |
| SiPD | Silicon photodiodes |
| LY | Light yield |
| Lu | lutetium |
| Gd | Gadolinium |
| Al | Aluminum |
| Ga | Gallium |
| Ce | Cerium |
| O | Oxygen |
| Cr | Chromium |
| E.U. | Efficiency units |
| TASMIP | Tungsten anode spectral model using interpolating polynomials |
| ToF | Time-of-flight |
| QE | Quantum efficiency |
| a-Si | Amorphous silicon |
| GaAs | Gallium arsenide |
| GaAsP | Gallium arsenide phosphide |
| LaBr3 | Lanthanum bromide |
| LaCl3 | Lanthanum chloride |
| CdWO4 | Cadmium tungsten |
| LGSO | Lutetium gadolinium oxyorthosilicate |
| LuAg | Lutetium aluminum garnet |
| BGO | Bismuth germanate |
| LYSO | Lutetium-yttrium oxyorthosilicate |
| LSO | Lutetium oxyorthosilicate |
| GSO | Gadolinium oxyorthosilicate |
| LuYAP | Lutetium yttrium orthosilicate perovskite |
| YAlO3 | Yttrium aluminum perovskite |
| GdAlO3 | Gadolinium aluminum perovskite |
References
- Dorenbos, P. Light Output and Energy Resolution of Ce3+-Doped Scintillators. Nucl. Instrum. Methods Phys. Res. A Accel. Spectrom. Detect. Assoc. Equip. 2002, 486, 208–213. [Google Scholar] [CrossRef]
- Moses, W.W. Scintillator Requirements for Medical Imaging; Lawrence Berkeley National Lab. (LBNL): Berkeley, CA, USA, 1999. [Google Scholar]
- Michail, C.; Liaparinos, P.; Kalyvas, N.; Kandarakis, I.; Fountos, G.; Valais, I. Phosphors and Scintillators in Biomedical Imaging. Crystals 2024, 14, 169. [Google Scholar] [CrossRef]
- Tseremoglou, S.; Michail, C.; Valais, I.; Ninos, K.; Bakas, A.; Kandarakis, I.; Fountos, G.; Kalyvas, N. Evaluation of Cerium-Doped Lanthanum Bromide (LaBr3:Ce) Single-Crystal Scintillator’s Luminescence Properties under X-Ray Radiographic Conditions. Appl. Sci. 2023, 13, 419. [Google Scholar] [CrossRef]
- Kamada, K.; Yanagida, T.; Endo, T.; Tsutumi, K.; Usuki, Y.; Nikl, M.; Fujimoto, Y.; Yoshikawa, A. 2-Inch Size Single Crystal Growth and Scintillation Properties of New Scintillator; Ce:Gd3Al2Ga3O12. In Proceedings of the 2011 IEEE Nuclear Science Symposium and Medical Imaging Conference, Valencia, Spain, 23–29 October 2011; Institute of Electrical and Electronics Engineers Inc.: Piscataway, NJ, USA, 2011; pp. 1927–1929. [Google Scholar]
- Kamada, K.; Yanagida, T.; Endo, T.; Tsutumi, K.; Usuki, Y.; Nikl, M.; Fujimoto, Y.; Fukabori, A.; Yoshikawa, A. 2inch Diameter Single Crystal Growth and Scintillation Properties of Ce:Gd3Al2Ga3O12. J. Cryst. Growth 2012, 352, 88–90. [Google Scholar] [CrossRef]
- Yeom, J.Y.; Yamamoto, S.; Derenzo, S.E.; Spanoudaki, V.C.; Kamada, K.; Endo, T.; Levin, C.S. First Performance Results of Ce:GAGG Scintillation Crystals with Silicon Photomultipliers. IEEE Trans. Nucl. Sci. 2013, 60, 988–992. [Google Scholar] [CrossRef]
- Zhu, Y.; Qian, S.; Wang, Z.; Guo, H.; Ma, L.; Wang, Z.; Wu, Q. Scintillation Properties of GAGG:Ce Ceramic and Single Crystal. Opt. Mater. 2020, 105, 109964. [Google Scholar] [CrossRef]
- Potiriadis, N.; Skouroliakou, A.; Liaparinos, P.; David, S. Energy Resolution Values of GAGG:Ce Crystals Coupled to Various SiPMs. Eur. Phys. J. Spec. Top. 2025, 1–8. [Google Scholar] [CrossRef]
- Seitz, B.; Campos Rivera, N.; Stewart, A.G. Energy Resolution and Temperature Dependence of Ce:GAGG Coupled to 3 mm × 3 mm Silicon Photomultipliers. IEEE Trans. Nucl. Sci. 2016, 63, 503–508. [Google Scholar] [CrossRef]
- Yamamoto, S.; Yeom, J.Y.; Kamada, K.; Endo, T.; Levin, C. Development of an Ultrahigh Resolution Block Detector Based on 0.4 Mm Pixel Ce:GAGG Scintillators and a Silicon Photomultiplier Array. IEEE Trans. Nucl. Sci. 2013, 60, 4582–4587. [Google Scholar] [CrossRef]
- David, S.L.; Valais, I.G.; Michail, C.M.; Kandarakis, I.S. X-Ray Luminescence Efficiency of GAGG:Ce Single Crystal Scintillators for Use in Tomographic Medical Imaging Systems. J. Phys. Conf. Ser. 2015, 637, 012004. [Google Scholar] [CrossRef]
- Yu, H.; Meng, X.; Yang, S.; Zhao, J.; Zhen, X.; Tai, R. Photonic-Crystals-Based GAGG:Ce Scintillator with High Light Output and Fast Decay Time for Soft X-Ray Detection. Nucl. Instrum. Methods Phys. Res. A Accel. Spectrom. Detect. Assoc. Equip. 2022, 1032, 166653. [Google Scholar] [CrossRef]
- Gerasymov, I.; Nepokupnaya, T.; Boyarintsev, A.; Sidletskiy, O.; Kurtsev, D.; Voloshyna, O.; Trubaieva, O.; Boyarintseva, Y.; Sibilieva, T.; Shaposhnyk, A.; et al. GAGG:Ce Composite Scintillator for X-Ray Imaging. Opt. Mater. 2020, 109, 110305. [Google Scholar] [CrossRef]
- Valais, I.G.; Michail, C.M.; David, S.L.; Liaparinos, P.F.; Fountos, G.P.; Paschalis, T.V.; Kandarakis, I.S.; Panayiotakis, G.S. Comparative Investigation of Ce3+ Doped Scintillators in a Wide Range of Photon Energies Covering X-Ray CT, Nuclear Medicine and Megavoltage Radiation Therapy Portal Imaging Applications. IEEE Trans. Nucl. Sci. 2010, 57, 3–7. [Google Scholar] [CrossRef]
- Michail, C.; Kalyvas, N.; Valais, I.; David, S.; Seferis, I.; Toutountzis, A.; Karabotsos, A.; Liaparinos, P.; Fountos, G.; Kandarakis, I. On the Response of GdAlO3:Ce Powder Scintillators. J. Lumin. 2013, 144, 45–52. [Google Scholar] [CrossRef]
- Kamada, K.; Endo, T.; Tsutumi, K.; Yanagida, T.; Fujimoto, Y.; Fukabori, A.; Yoshikawa, A.; Pejchal, J.; Nikl, M. Composition Engineering in Cerium-Doped (Lu,Gd)3(Ga,Al)5O12 Single-Crystal Scintillators. Cryst. Growth Des. 2011, 11, 4484–4490. [Google Scholar] [CrossRef]
- Yoneyama, M.; Kataoka, J.; Arimoto, M.; Masuda, T.; Yoshino, M.; Kamada, K.; Yoshikawa, A.; Sato, H.; Usuki, Y. Evaluation of GAGG:Ce Scintillators for Future Space Applications. J. Inst. 2018, 13, P02023. [Google Scholar] [CrossRef]
- GAGG(Ce)—Scintillator Crystal Advatech UK. Available online: https://www.advatech-uk.co.uk/gagg_ce.html (accessed on 15 January 2025).
- Inkrataite, G.; Laurinavicius, G.; Enseling, D.; Zarkov, A.; Jüstel, T.; Skaudzius, R. Characterization of GAGG Doped with Extremely Low Levels of Chromium and Exhibiting Exceptional Intensity of Emission in NIR Region. Crystals 2021, 11, 673. [Google Scholar] [CrossRef]
- Gray, T.J.; Allmond, J.M.; Dowling, D.T.; Febbraro, M.; King, T.T.; Pain, S.D.; Stracener, D.W.; Ajayi, S.; Aragon, J.; Baby, L.; et al. CLARION2-TRINITY: A Compton-Suppressed HPGe and GAGG:Ce-Si-Si Array for Absolute Cross-Section Measurements with Heavy Ions. Nucl. Instrum. Methods Phys. Res. A Accel. Spectrom. Detect. Assoc. Equip. 2022, 1041, 167392. [Google Scholar] [CrossRef]
- Kobayashi, M.; Tamagawa, Y.; Tomita, S.; Yamamoto, A.; Ogawa, I.; Usuki, Y. Significantly Different Pulse Shapes for γ- and α-Rays in Gd3Al2Ga3O12:Ce3+ Scintillating Crystals. Nucl. Instrum. Methods Phys. Res. A Accel. Spectrom. Detect. Assoc. Equip. 2012, 694, 91–94. [Google Scholar] [CrossRef]
- Iwanowska, J.; Swiderski, L.; Szczesniak, T.; Sibczynski, P.; Moszynski, M.; Grodzicka, M.; Kamada, K.; Tsutsumi, K.; Usuki, Y.; Yanagida, T.; et al. Performance of Cerium-Doped Gd3Al2Ga3O12 (GAGG:Ce) Scintillator in Gamma-Ray Spectrometry. Nucl. Instrum. Methods Phys. Res. A Accel. Spectrom. Detect. Assoc. Equip. 2013, 712, 34–40. [Google Scholar] [CrossRef]
- Makek, M.; Bosnar, D.; Kožuljević, A.M.; Pavelić, L. Investigation of GaGG:Ce with TOFPET2 ASIC Readout for Applications in Gamma Imaging Systems. Crystals 2020, 10, 1073. [Google Scholar] [CrossRef]
- Xie, S.; Zhang, X.; Zhang, Y.; Ying, G.; Huang, Q.; Xu, J.; Peng, Q. Evaluation of Various Scintillator Materials in Radiation Detector Design for Positron Emission Tomography (PET). Crystals 2020, 10, 869. [Google Scholar] [CrossRef]
- Yoshino, M.; Yamamoto, S.; Nakanishi, K.; Yogo, K.; Kamada, K.; Koshikawa, N.; Kataoka, J.; Yoshikawa, A. Development and Performance Evaluation of a Thin GAGG:Ce Scintillator Plate for High Resolution Synchrotron Radiation X-Ray Imaging. J. Instrum. 2024, 19, P10030. [Google Scholar] [CrossRef]
- Bogomolov, V.V.; Dosovitskiy, G.A.; Iyudin, A.F.; Korzhik, M.V.; Tikhomirov, S.A.; Svertilov, S.I.; Kozlov, D.Y.; Yashin, I.V. The Timing and Spectral Characteristics of Detectors Based on a Ce:GAGG Inorganic Scintillator Using Photomultiplier Tubes and Silicon Photodetectors. Instrum. Exp. Tech. 2020, 63, 633–640. [Google Scholar] [CrossRef]
- Furuno, T.; Koshikawa, A.; Kawabata, T.; Itoh, M.; Kurosawa, S.; Morimoto, T.; Murata, M.; Sakanashi, K.; Tsumura, M.; Yamaji, A. Response of the GAGG(Ce) Scintillator to Charged Particles Compared with the CsI(Tl) Scintillator. J. Inst. 2021, 16, P10012. [Google Scholar] [CrossRef]
- Korjik, M.; Alenkov, V.; Borisevich, A.; Buzanov, O.; Dormenev, V.; Dosovitskiy, G.; Dosovitskiy, A.; Fedorov, A.; Kozlov, D.; Mechinsky, V.; et al. Significant Improvement of GAGG:Ce Based Scintillation Detector Performance with Temperature Decrease. Nucl. Instrum. Methods Phys. Res. A Accel. Spectrom. Detect. Assoc. Equip. 2017, 871, 42–46. [Google Scholar] [CrossRef]
- Dilillo, G.; Zampa, N.; Campana, R.; Fuschino, F.; Pauletta, G.; Rashevskaya, I.; Ambrosino, F.; Baruzzo, M.; Cauz, D.; Cirrincione, D.; et al. Space Applications of GAGG:Ce Scintillators: A Study of Afterglow Emission by Proton Irradiation. Nucl. Instrum. Methods Phys. Res. B Beam Interact. Mater. At. 2022, 513, 33–43. [Google Scholar] [CrossRef]
- Pallu, M.; Pailot, D.; Bréelle, E.; Laurent, P.; Carron, J.; Lebrun, F.; Koumeir, C.; Chapron; Biernacki, K. Studies of GAGG:Ce Scintillators for Space Missions Dedicated to Terrestrial Gamma-Ray Flashes and Gamma-Ray Bursts Observation. Nucl. Instrum. Methods Phys. Res. A Accel. Spectrom. Detect. Assoc. Equip. 2024, 1069, 169997. [Google Scholar] [CrossRef]
- Yu, X.; Zhang, X.; Zhang, H.; Peng, H.; Ren, Q.; Xu, J.; Peng, Q.; Xie, S. Requirements of Scintillation Crystals with the Development of PET Scanners. Crystals 2022, 12, 1302. [Google Scholar] [CrossRef]
- Lee, S.; Kim, K.Y.; Lee, M.S.; Lee, J.S. Recovery of Inter-Detector and Inter-Crystal Scattering in Brain PET Based on LSO and GAGG Crystals. Phys. Med. Biol. 2020, 65, 195005. [Google Scholar] [CrossRef]
- Xu, S.; Yan, Z.; Wei, Q. A Survey of Crystals for SPECT Imaging. Crystals 2024, 14, 1039. [Google Scholar] [CrossRef]
- Yu, Z.; Lyu, Z.; Fan, P.; Wu, J.; Liu, Y.; Ma, T. Sub-Millimeter Pixelated SPECT Detector Using GAGG:Ce and Light Guide With Optical Barrier Slits. IEEE Trans. Radiat. Plasma Med. Sci. 2025. [Google Scholar] [CrossRef]
- Hua, J.; Wang, H.; Li, C.; Dong, Y.; Yuan, Z.; Yang, H.; Liu, Y.; Jiang, J. Performance Evaluation of a GAGG-SiPM Based Compton Camera for Gamma-Ray Astronomy. Nucl. Instrum. Methods Phys. Res. A Accel. Spectrom. Detect. Assoc. Equip. 2024, 1068, 169765. [Google Scholar] [CrossRef]
- Tamulatis, G.; Dosovitskiy, G.; Gola, A.; Korjik, M.; Mazzi, A.; Nargelas, S.; Sokolov, P.; Vaitkevičius, A. Improvement of Response Time in GAGG:Ce Scintillation Crystals by Magnesium Codoping. J. Appl. Phys. 2018, 124, 215907. [Google Scholar] [CrossRef]
- Omuro, K.; Yoshino, M.; Bartosiewicz, K.; Horiai, T.; Murakami, R.; Kim, K.J.; Kamada, K.; Kucerkova, R.; Babin, V.; Nikl, M.; et al. Tailoring Scintillation and Luminescence through Co-Doping Engineering: A Comparative Study of Ce,Tb Co-Doped YAGG and GAGG Garnet Crystals. J. Alloys Compd. 2024, 1008, 176550. [Google Scholar] [CrossRef]
- Qi, Q.; Li, M.; Zhao, S.; Xue, Z.; Ding, D.; Shi, J. Luminescence and Scintillation Properties of Yb—Co-Doped GAGG:Ce Single Crystal. Opt. Mater. 2022, 123, 111904. [Google Scholar] [CrossRef]
- Kasimova, V.M.; Kozlova, N.S.; Buzanov, O.A.; Zabelina, E.V. Effect of Ca2+ and Zr4+ Co-Doping on the Optical Properties of Gd3Al2Ga3O12: Ce Single Crystals. Mod. Electron. Mater. 2019, 5, 101–105. [Google Scholar] [CrossRef]
- Karmakar, A.; Kumar, G.A.; Tyagi, M.; Pal, A. Thickness Dependent Sensitivity of GAGG:Ce Scintillation Detectors for Thermal Neutrons: GEANT4 Simulations and Experimental Measurements. J. Radioanal. Nucl. Chem. 2025, 334, 2203–2210. [Google Scholar] [CrossRef]
- Sidletskiy, O.; Gorbenko, V.; Zorenko, T.; Syrotych, Y.; Witkiwicz-Łukaszek, S.; Mares, J.A.; Kucerkova, R.; Nikl, M.; Gerasymov, I.; Kurtsev, D.; et al. Composition Engineering of (Lu,Gd,Tb)3(Al,Ga)5O12:Ce Film/Gd3(Al,Ga)5O12:Ce Substrate Scintillators. Crystals 2022, 12, 1366. [Google Scholar] [CrossRef]
- Stuhl, L.; Krasznahorkay, A.; Csatlós, M.; Algora, A.; Gulyás, J.; Kalinka, G.; Kertész, Z.I.; Timár, J. A Newly Developed Wrapping Method for Scintillator Detectors. J. Phys. Conf. Ser. 2016, 665, 012050. [Google Scholar] [CrossRef]
- Auffray, E.; Dosovitskiy, G.; Fedorov, A.; Guz, I.; Korjik, M.; Kratochwill, N.; Lucchini, M.; Nargelas, S.; Kozlov, D.; Mechinsky, V.; et al. Irradiation Effects on Gd3Al2Ga3O12 Scintillators Prospective for Application in Harsh Irradiation Environments. Radiat. Phys. Chem. 2019, 164, 108365. [Google Scholar] [CrossRef]
- Kasimova, V.M.; Kozlova, N.S.; Buzanov, O.A.; Zabelina, E.V.; Lagov, P.B.; Pavlov, Y.S. Effect of Electron Irradiation on the Optical Properties of Gadolinium-Aluminum-Gallium Garnet Crystals. J. Surf. Investig. 2021, 15, 1259–1263. [Google Scholar] [CrossRef]
- Michail, C.; Koukou, V.; Martini, N.; Saatsakis, G.; Kalyvas, N.; Bakas, A.; Kandarakis, I.; Fountos, G.; Panayiotakis, G.; Valais, I. Luminescence Efficiency of Cadmium Tungstate (CdWO4) Single Crystal for Medical Imaging Applications. Crystals 2020, 10, 429. [Google Scholar] [CrossRef]
- Boone, J. X-Ray Production, Interaction, and Detection in Diagnostic Imaging. In Handbook of Medical Imaging; SPIE Press: Bellingham, WA, USA, 2000; Volume 1: Physics and Psychophysics, pp. 36–57. ISBN 978-0-8194-7772-9. [Google Scholar]
- Evans, R.D. The Atomic Nucleus; McGraw-Hill, Inc.: New York, NY, USA, 1955. [Google Scholar]
- Report IAEA-NDS-195, XMuDat. Available online: https://www-nds.iaea.org/publications/iaea-nds/iaea-nds-0195.htm (accessed on 15 January 2025).
- Shaw, R. Some Fundamental Properties of Xeroradiographic Images. In Proceedings of the Application of Optical Instrumentation in Medicine IV, Atlanta, GA, USA, 25 March 1976; SPIE: Bellingham, WA, USA, 1976; Volume 0070, pp. 359–363. [Google Scholar]
- Wagner, R.F.; Muntz, E.P. Detective Quantum Efficiency (DQE) Analysis of Electrostatic Imaging and Screen-Film Imaging in Mammography. In Proceedings of the Application of Optical Instrumentation in Medicine VII, Toronto, ON, Canada, 6 July 1979; SPIE: Bellingham, WA, USA, 1979; Volume 173, pp. 162–167. [Google Scholar]
- Dick, C.E.; Motz, J.W. Image Information Transfer Properties of X-Ray Fluorescent Screens. Med. Phys. 1981, 8, 337–346. [Google Scholar] [CrossRef]
- TASMIP Spectra Calculator—Calculate X-Ray Imaging Spectra. Available online: https://solutioinsilico.com/medical-physics/applications/tasmip-app.php (accessed on 15 January 2025).
- Abbene, L.; Manna, A.; Fauci, F.; Gerardi, G.; Stumbo, S.; Raso, G. X-Ray Spectroscopy and Dosimetry with a Portable CdTe Device. Nucl. Instrum. Methods Phys. Res. Accel. Spectrom. Detect. Assoc. Equip. 2007, 571, 373–377. [Google Scholar] [CrossRef]
- Campana, R.; Evola, C.; Labanti, C.; Ferro, L.; Moita, M.; Virgilli, E.; Marchesini, E.J.; Frontera, F.; Rosati, P. Measurement of the Non-Linearity in the γ-Ray Response of the GAGG:Ce Inorganic Scintillator. Nucl. Instrum. Methods Phys. Res. A Accel. Spectrom. Detect. Assoc. Equip. 2023, 1056, 168587. [Google Scholar] [CrossRef]
- Wen, J.-X.; Zheng, X.-T.; Yu, J.-D.; Che, Y.-P.; Yang, D.-X.; Gao, H.-Z.; Jin, Y.-F.; Long, X.-Y.; Liu, Y.-H.; Xu, D.-C.; et al. Compact CubeSat Gamma-Ray Detector for GRID Mission. Nucl. Sci. Tech. 2021, 32, 99. [Google Scholar] [CrossRef]
- Taggart, M.P.; Nakhostin, M.; Sellin, P.J. Investigation into the Potential of GAGG:Ce as a Neutron Detector. Nucl. Instrum. Methods Phys. Res. Sect. A Accel. Spectrometers Detect. Assoc. Equip. 2019, 931, 121–126. [Google Scholar] [CrossRef]
- Zarei, H.; Razaghi, S.; Nagao, Y.; Itoh, M.; Yamaguchi, M.; Kawachi, N.; Ay, M.R.; Watabe, H. Evaluation and Optimization of Geometry Parameters of GAGG Scintillator-Based Compton Camera for Medical Imaging by Monte Carlo Simulation. J. Inst. 2023, 18, P01035. [Google Scholar] [CrossRef]
- Ronda, C. Scintillators for Medical Imaging. Opt. Mater. X 2024, 22, 100293. [Google Scholar] [CrossRef]
- Tseremoglou, S.; Michail, C.; Valais, I.; Ninos, K.; Bakas, A.; Kandarakis, I.; Fountos, G.; Kalyvas, N. Optical Photon Propagation Characteristics and Thickness Optimization of LaCl3:Ce and LaBr3:Ce Crystal Scintillators for Nuclear Medicine Imaging. Crystals 2024, 14, 24. [Google Scholar] [CrossRef]

















Disclaimer/Publisher’s Note: The statements, opinions and data contained in all publications are solely those of the individual author(s) and contributor(s) and not of MDPI and/or the editor(s). MDPI and/or the editor(s) disclaim responsibility for any injury to people or property resulting from any ideas, methods, instructions or products referred to in the content. |
© 2025 by the authors. Licensee MDPI, Basel, Switzerland. This article is an open access article distributed under the terms and conditions of the Creative Commons Attribution (CC BY) license (https://creativecommons.org/licenses/by/4.0/).
Share and Cite
Dimitrakopoulos, A.; Michail, C.; Valais, I.; Fountos, G.; Kandarakis, I.; Kalyvas, N. Experimental Evaluation of GAGG:Ce Crystalline Scintillator Properties Under X-Ray Radiation. Crystals 2025, 15, 590. https://doi.org/10.3390/cryst15070590
Dimitrakopoulos A, Michail C, Valais I, Fountos G, Kandarakis I, Kalyvas N. Experimental Evaluation of GAGG:Ce Crystalline Scintillator Properties Under X-Ray Radiation. Crystals. 2025; 15(7):590. https://doi.org/10.3390/cryst15070590
Chicago/Turabian StyleDimitrakopoulos, Anastasios, Christos Michail, Ioannis Valais, George Fountos, Ioannis Kandarakis, and Nektarios Kalyvas. 2025. "Experimental Evaluation of GAGG:Ce Crystalline Scintillator Properties Under X-Ray Radiation" Crystals 15, no. 7: 590. https://doi.org/10.3390/cryst15070590
APA StyleDimitrakopoulos, A., Michail, C., Valais, I., Fountos, G., Kandarakis, I., & Kalyvas, N. (2025). Experimental Evaluation of GAGG:Ce Crystalline Scintillator Properties Under X-Ray Radiation. Crystals, 15(7), 590. https://doi.org/10.3390/cryst15070590

