Improving the Interpretability of ANN-Based Predictions of Lattice Constants in Aliovalently Doped Perovskites Using Partial Dependence Plots
Abstract
1. Introduction
| Materials | Input Features | Machine Learning Methods | Model Performance (RMSE:) | Interpretability of Features | General Comments | Years | Ref. |
|---|---|---|---|---|---|---|---|
| Cubic perovskites (ABX3) | Ionic radii, electronegativity, density, and atomic number | Support Vector Regression (SVR), Gaussian Process Regression (GPR), Artificial Neural Networks (ANN), and Ensemble Regression Trees (ERTs) | 0.0371 | No | GPR model achieved the highest precision, providing a scalable and efficient technique that could aid in screening for material discovery | 2025 | [19] |
| A2XY6 cubic crystals (A = K, Cs, Rb, TI; X = tetravalent cation; Y = F, Cl, Br, I) | Ionic radii, electronegativities | Support Vector Regression (SVR) | - | No | The SVR model showed lower total relative deviation compared to an existing linear model, demonstrating improved prediction accuracy and potential for material design. | 2020 | [43] |
| Cubic perovskite compounds | Ionic radii | Gaussian Process Regression (GPR) | 0.023 | No | Explored the relationship between ionic radii and lattice constants; GPR model noted for high accuracy and stability in predicting lattice constants. | 2020 | [44] |
| Double perovskite oxides (A22 + BB′O6) | Ionic radii, electronegativities, oxidation states | Gaussian Process Regression (GPR) | 0.024 | No | Statistical relationship elucidated among ionic radii, electronegativities, and oxidation states; model noted for high accuracy and stability in predicting lattice constants. | 2020 | [45] |
| Monoclinic double perovskites (A2B′B″O6) | Effective ionic radii | Gaussian Process Regression (GPR) | 0.0026 | No | Relationships between effective ionic radii and multiple lattice constants (a, b, c, β) studied; GPR model praised for its accuracy and cost-effectiveness in predictions. | 2021 | [29] |
| Cubic perovskites (ABX3) | Ionic radii, number of valence electrons | Gaussian Process Regression (GPR) | 0.02104 | No | Utilized ionic radii and number of valence electrons to predict lattice constants across a diverse set of perovskites; noted for good performance in stability and accuracy. | 2021 | [46] |
| Pseudo-cubic/cubic perovskite | Ionic radii | ELM, SVR-PSO hybrid | 0.0206 | No | Comparison of ELM and SVR-PSO models with Ubic and Sidey models; SVR-PSO showed superior accuracy and ELM noted for ease of implementation despite moderate performance. | 2020 | [47] |
| Spinels | Ionic radii, electronegativities | Gaussian Process Regression (GPR) | 0.042 | No | The investigation of 167 spinel samples showed more accurate predictions of lattice constants via GPR than previous linear models. | 2020 | [28] |
| Aliovalently doped perovskites | Lattice parameters (a, b, c) and Z | Artificial Neural Networks (ANN) | 0.00097 | Partial Dependence Plots (PDPs) used to visualize marginal effects of features | High predictive accuracy and full experimental dataset; enhanced interpretability through PDPs | 2025 | [This work] |
2. Materials and Methods
2.1. Machine Learning Model Development
2.1.1. Data Collection and Descriptions
2.1.2. Methodology
2.1.3. Artificial Neural Network (ANN)
2.1.4. Implementation
2.2. Model Validation
2.3. Data Exploration: Violin and Correlation Analysis
3. Results and Discussion
3.1. Performance Metrics and Model Evaluation
3.2. Predicted vs. Experimental Lattice Constants
3.3. Residual Analysis
3.4. Interpretability of ANN Predictions for Aliovalently Doped Perovskites
3.4.1. Analysis of Feature a (Å)
3.4.2. Analysis of Feature b (Å)
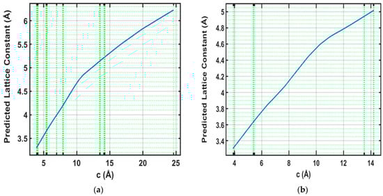
3.4.3. Analysis of Feature c (Å)
3.4.4. Analysis of Feature Z
3.4.5. Scientific Implications and Design Insights from PDP Analysis
4. Conclusions
Author Contributions
Funding
Data Availability Statement
Acknowledgments
Conflicts of Interest
Abbreviations
| ANN | Artificial Neural Network |
| ELM | Extreme Learning Machine |
| GRP | Gaussian Process Regression |
| MAE | Mean Absolute Error |
| MAPE | Mean Absolute Percentage Error |
| ML | Machine Learning |
| MSE | Mean Squared Error |
| PDP | Partial Dependence Plots |
| PSO | Particle Swarm Optimization |
| RMSE | Root Mean Squared Error |
| SVR | Support Vector Regression |
| SVM | Support Vector Regression |
| XRD | X-ray diffraction |
References
- Galasso, F. Perovskite Type Compounds and High Tc Superconductors. JOM 1987, 39, 8–10. [Google Scholar] [CrossRef]
- Gao, W.; Zhu, Y.; Wang, Y.; Yuan, G.; Liu, J.-M. A Review of Flexible Perovskite Oxide Ferroelectric Films and Their Application. J. Mater. 2020, 6, 1–16. [Google Scholar] [CrossRef]
- Du, M.; Huang, H.; Zhang, Z.; Wang, M.; Song, H.; Duan, D.; Cui, T. High-Temperature Superconductivity in Perovskite Hydride Below 10 GPa. Adv. Sci. 2024, 11, 2408370. [Google Scholar] [CrossRef] [PubMed]
- Thakur, P.; Sharma, N.; Pathak, D.; Sharma, P.; Kishore, K.; Dhar, S.; Lal, M. State-of-Art Review on Smart Perovskites Materials: Properties and Applications. Emergent Mater. 2024, 7, 667–694. [Google Scholar] [CrossRef]
- Ouedraogo, N.A.N.; Odunmbaku, G.O.; Ouyang, Y.; Xiong, X.; Guo, B.; Chen, S.; Lu, S.; Sun, K. Eco-Friendly Processing of Perovskite Solar Cells in Ambient Air. Renew. Sustain. Energy Rev. 2024, 192, 114161. [Google Scholar] [CrossRef]
- Zhu, B.P.; Guo, W.K.; Shen, G.Z.; Zhou, Q.; Shung, K.K. Structure and Electrical Properties of (111)-Oriented Pb(Mg1/3Nb2/3)O3-PbZrO3-PbTiO3 Thin Film for Ultra-High-Frequency Transducer Applications. IEEE Trans. Ultrason. Ferroelectr. Freq. Control 2011, 58, 1962–1967. [Google Scholar] [CrossRef]
- Li, N.; Hu, X.; Tang, Y.; Lei, Y.; Suet Lau, Y.; Chen, Q.; Sui, X.; Zhu, F. Perovskite/Organic Tandem Device to Realize Light Detection and Emission Dual Function. Chem. Eng. J. 2024, 490, 151573. [Google Scholar] [CrossRef]
- Jia, S.; Li, Y.; Gao, C.; Liu, G.; Ren, Y.; He, C.; An, X.-T. Realization of P-Type MA-Based Perovskite Solar Cells Based on Exposure of the (002) Facet. Appl. Phys. Lett. 2025, 126, 023908. [Google Scholar] [CrossRef]
- Gao, C.; Jia, S.; Yin, X.; Li, Z.; Yang, G.; Chen, J.; Li, Z.; An, X. Enhancing Open-Circuit Voltage in FAPbI3 Perovskite Solar Cells via Self-Formation of Coherent Buried Interface FAPbIxCl3−x. Chem. Commun. 2025, 61, 2758–2761. [Google Scholar] [CrossRef]
- Zhu, B.; Wang, Z.; Zhang, Y.; Yu, Z.; Shi, J.; Xiong, R. Low Temperature Fabrication of the Giant Dielectric Material CaCu3Ti4O12 by Oxalate Coprecipitation Method. Mater. Chem. Phys. 2009, 113, 746–748. [Google Scholar] [CrossRef]
- Tolman, K.R.; Ubic, R.; Papac, M.; Seymour, K.C.; McCormack, S.J.; Kriven, W.M.; Kungl, H. Structural Effect of Aliovalent Doping in Lead Perovskites. J. Solid State Chem. 2015, 225, 359–367. [Google Scholar] [CrossRef]
- Mączka, M.; Sieradzki, A.; Bondzior, B.; Dereń, P.; Hanuza, J.; Hermanowicz, K. Effect of Aliovalent Doping on the Properties of Perovskite-like Multiferroic Formates. J. Mater. Chem. C 2015, 3, 9337–9345. [Google Scholar] [CrossRef]
- Ubic, R.; Tolman, K.; Chan, K.; Lundy, N.; Letourneau, S.; Kriven, W.M. Effective Size of Vacancies in Aliovalently Doped SrTiO3 Perovskites. J. Alloys Compd. 2013, 575, 239–245. [Google Scholar] [CrossRef]
- Li, Z.; Yu, J.; Hao, S.; Janolin, P.-E. Enhancing Properties of Lead-Free Ferroelectric BaTiO3 through Doping. J. Eur. Ceram. Soc. 2022, 42, 4693–4701. [Google Scholar] [CrossRef]
- Cao, J.; Jin, B.; Li, S.; Zheng, J.; Keremane, K.; Priya, S.; Hu, X.; Wu, C.; Wang, K. Structural Properties of Perovskite. In Perovskite Optoelectronic Devices; Springer: Berlin/Heidelberg, Germany, 2024; pp. 19–50. [Google Scholar]
- Smith, A.M.; Mohs, A.M.; Nie, S. Tuning the Optical and Electronic Properties of Colloidal Nanocrystals by Lattice Strain. Nat. Nanotechnol. 2009, 4, 56–63. [Google Scholar] [CrossRef]
- Tao, Q.; Xu, P.; Li, M.; Lu, W. Machine Learning for Perovskite Materials Design and Discovery. npj Comput. Mater. 2021, 7, 23. [Google Scholar] [CrossRef]
- Maier, R.A.; Garrity, K.F.; Ozarowski, A.; Donohue, M.P.; Cibin, G.; Levin, I. Effects of Octahedral Tilting on the Site of Substitution of Manganese in CaTiO3. Acta Mater. 2021, 207, 116688. [Google Scholar] [CrossRef]
- Alfares, A.; Sha’aban, Y.A.; Alhumoud, A. Machine Learning-Driven Predictions of Lattice Constants in ABX3 Perovskite Materials. Eng. Appl. Artif. Intell. 2025, 141, 109747. [Google Scholar] [CrossRef]
- Zhou, L.; Pan, S.; Wang, J.; Vasilakos, A.V. Machine Learning on Big Data: Opportunities and Challenges. Neurocomputing 2017, 237, 350–361. [Google Scholar] [CrossRef]
- Chibani, S.; Coudert, F.-X. Machine Learning Approaches for the Prediction of Materials Properties. APL Mater. 2020, 8, 080701. [Google Scholar] [CrossRef]
- Badrulhisham, F.; Pogatzki-Zahn, E.; Segelcke, D.; Spisak, T.; Vollert, J. Machine Learning and Artificial Intelligence in Neuroscience: A Primer for Researchers. Brain Behav. Immun. 2024, 115, 470–479. [Google Scholar] [CrossRef] [PubMed]
- Zhang, Y.; Xu, X. Machine Learning Band Gaps of Doped-TiO2 Photocatalysts from Structural and Morphological Parameters. ACS Omega 2020, 5, 15344–15352. [Google Scholar] [CrossRef]
- Talapatra, A.; Uberuaga, B.P.; Stanek, C.R.; Pilania, G. Band Gap Predictions of Double Perovskite Oxides Using Machine Learning. Commun. Mater. 2023, 4, 46. [Google Scholar] [CrossRef]
- Mao, Y.; Yang, H.; Sheng, Y.; Wang, J.; Ouyang, R.; Ye, C.; Yang, J.; Zhang, W. Prediction and Classification of Formation Energies of Binary Compounds by Machine Learning: An Approach without Crystal Structure Information. ACS Omega 2021, 6, 14533–14541. [Google Scholar] [CrossRef] [PubMed]
- Moreira, R.L.; Dias, A. Comment on “Prediction of Lattice Constant in Cubic Perovskites”. J. Phys. Chem. Solids 2007, 68, 1617–1622. [Google Scholar] [CrossRef]
- Zhang, Y.; Xu, X. Machine Learning Lattice Constants for Cubic Perovskite A2XY6 Compounds. J. Solid State Chem. 2020, 291, 121558. [Google Scholar] [CrossRef]
- Zhang, Y.; Xu, X. Machine Learning Lattice Constants for Spinel Compounds. Chem. Phys. Lett. 2020, 760, 137993. [Google Scholar] [CrossRef]
- Zhang, Y.; Xu, X. Machine Learning Lattice Parameters of Monoclinic Double Perovskites. Int. J. Quantum Chem. 2021, 121, e26480. [Google Scholar] [CrossRef]
- Majid, A.; Farooq Ahmad, M.; Choi, T.-S. Lattice Constant Prediction of A2BB’O6 Type Double Perovskites. In Computational Science and Its Applications, Proceedings of the 2009 International Conference on Computational Science and Its Applications, Yongin, Republic of Korea, 29 June–2 July 2009; Springer: Berlin/Heidelberg, Germany; pp. 82–92.
- Ubic, R.; Tolman, K.; Talley, K.; Joshi, B.; Schmidt, J.; Faulkner, E.; Owens, J.; Papac, M.; Garland, A.; Rumrill, C.; et al. Lattice-Constant Prediction and Effect of Vacancies in Aliovalently Doped Perovskites. J. Alloys Compd. 2015, 644, 982–995. [Google Scholar] [CrossRef]
- Mehmood, N.; Ahmad, R.; Gul, A.; Zaman, A.; Murtaza, G.; Ahmad, J.; Khattak, F.Y. Prediction of Lattice Constants for the Full-Heusler Alloys by Vector Regression Model and Artificial Neural Networks. Comput. Condens. Matter 2021, 29, e00605. [Google Scholar] [CrossRef]
- Abebe, M.G.; Abass, A.; Gomard, G.; Zschiedrich, L.; Lemmer, U.; Richards, B.S.; Rockstuhl, C.; Paetzold, U.W. Rigorous Wave-Optical Treatment of Photon Recycling in Thermodynamics of Photovoltaics: Perovskite Thin-Film Solar Cells. Phys. Rev. B 2018, 98, 075141. [Google Scholar] [CrossRef]
- Guo, R.; Khenkin, M.V.; Arnaoutakis, G.E.; Samoylova, N.A.; Barbé, J.; Lee, H.K.H.; Tsoi, W.C.; Katz, E.A. Initial Stages of Photodegradation of MAPbI3 Perovskite: Accelerated Aging with Concentrated Sunlight. Sol. RRL 2020, 4, 1900270. [Google Scholar] [CrossRef]
- Jäger, K.; Tillmann, P.; Katz, E.A.; Becker, C. Perovskite/Silicon Tandem Solar Cells: Effect of Luminescent Coupling and Bifaciality. Sol. RRL 2021, 5, 2000628. [Google Scholar] [CrossRef]
- Song, Y.; Wu, X.; Wang, K.; Zhang, Y. Discovering Optical Performance Enhancers in Perovskite Materials Through Machine Learning-Based Feature Analysis. Opt. Express 2025, 33, 776. [Google Scholar] [CrossRef]
- Unger, E.; Jacobsson, T.J. The Perovskite Database Project: A Perspective on Collective Data Sharing. ACS Energy Lett. 2022, 7, 1240–1245. [Google Scholar] [CrossRef]
- Hassija, V.; Chamola, V.; Mahapatra, A.; Singal, A.; Goel, D.; Huang, K.; Scardapane, S.; Spinelli, I.; Mahmud, M.; Hussain, A. Interpreting Black-Box Models: A Review on Explainable Artificial Intelligence. Cognit. Comput. 2024, 16, 45–74. [Google Scholar] [CrossRef]
- Schmidt, J.; Marques, M.R.G.; Botti, S.; Marques, M.A.L. Recent Advances and Applications of Machine Learning in Solid-State Materials Science. npj Comput. Mater. 2019, 5, 83. [Google Scholar] [CrossRef]
- Briones, J.; Guinto, M.C.; Pelicano, C.M. Accelerated Lattice Constant Prediction of Perovskite Materials (ABX3, A2BB′O6) Using Partial Least Squares and Principal Component Regression Methods. Mater. Lett. 2021, 298, 130040. [Google Scholar] [CrossRef]
- Sim, M.K. Explanation Using Model-Agnostic Methods. In Human-Centered Artificial Intelligence; Elsevier: Amsterdam, The Netherlands, 2022; pp. 17–31. [Google Scholar]
- Molnar, C.; König, G.; Bischl, B.; Casalicchio, G. Model-Agnostic Feature Importance and Effects with Dependent Features: A Conditional Subgroup Approach. Data Min. Knowl. Discov. 2024, 38, 2903–2941. [Google Scholar] [CrossRef]
- Alade, I.O.; Olumegbon, I.A.; Bagudu, A. Lattice Constant Prediction of A2XY6 Cubic Crystals (A = K, Cs, Rb, TI; X = Tetravalent Cation; Y = F, Cl, Br, I) Using Computational Intelligence Approach. J. Appl. Phys. 2020, 127, 015303. [Google Scholar] [CrossRef]
- Zhang, Y.; Xu, X. Machine Learning Lattice Constants for Cubic Perovskite Compounds. ChemistrySelect 2020, 5, 9999–10009. [Google Scholar] [CrossRef]
- Zhang, Y.; Xu, X. Machine Learning Lattice Constants for Cubic Perovskite A22+BB′O6 Compounds. CrystEngComm 2020, 22, 6385–6397. [Google Scholar] [CrossRef]
- Zhang, Y.; Xu, X. Modeling of Lattice Parameters of Cubic Perovskite Oxides and Halides. Heliyon 2021, 7, e07601. [Google Scholar] [CrossRef] [PubMed]
- Owolabi, T.O. Extreme Learning Machine and Swarm-Based Support Vector Regression Methods for Predicting Crystal Lattice Parameters of Pseudo-Cubic/Cubic Perovskites. J. Appl. Phys. 2020, 127, 245107. [Google Scholar] [CrossRef]
- Toghraie, D.; Sina, N.; Jolfaei, N.A.; Hajian, M.; Afrand, M. Designing an Artificial Neural Network (ANN) to Predict the Viscosity of Silver/Ethylene Glycol Nanofluid at Different Temperatures and Volume Fraction of Nanoparticles. Phys. A Stat. Mech. Appl. 2019, 534, 122142. [Google Scholar] [CrossRef]
- Heidari, E.; Sobati, M.A.; Movahedirad, S. Accurate Prediction of Nanofluid Viscosity Using a Multilayer Perceptron Artificial Neural Network (MLP-ANN). Chemom. Intell. Lab. Syst. 2016, 155, 73–85. [Google Scholar] [CrossRef]
- Toghraie, D.; Aghahadi, M.H.; Sina, N.; Soltani, F. Application of Artificial Neural Networks (ANNs) for Predicting the Viscosity of Tungsten Oxide (WO3)-MWCNTs/Engine Oil Hybrid Nanofluid. Int. J. Thermophys. 2020, 41, 163. [Google Scholar] [CrossRef]
- Loftus, J.R.; Bynum, L.E.J.; Hansen, S. Causal Dependence Plots. arXiv 2023. [Google Scholar] [CrossRef]
- Danesh, T.; Ouaret, R.; Floquet, P.; Danesh, T. Interpretability in Machine Learning Predictions: Case of Random Forest Regression Using Partial Dependence Plots. In Proceedings of the 18ème Congrès de la Société Française de Génie des Procédés, Toulouse, France, 7–10 November 2022. [Google Scholar]
- Hemmat Esfe, M.; Tatar, A.; Ahangar, M.R.H.; Rostamian, H. A Comparison of Performance of Several Artificial Intelligence Methods for Predicting the Dynamic Viscosity of TiO2/SAE50 Nano-Lubricant. Phys. E Low-Dimens. Syst. Nanostruct. 2018, 96, 85–93. [Google Scholar] [CrossRef]
- Jamei, M.; Ahmadianfar, I. A Rigorous Model for Prediction of Viscosity of Oil-Based Hybrid Nanofluids. Phys. A Stat. Mech. Appl. 2020, 556, 124827. [Google Scholar] [CrossRef]
- Kato, T.; Ichino, Y.; Mori, T.; Seike, Y. Effects of Potassium Doping on the Active Layer of Inverse-Structured Perovskite Solar Cells. IEICE Trans. Electron. 2023, E106.C, 220–227. [Google Scholar] [CrossRef]










| Feature | Mean | Std Dev | Min | Max | Influence (PDP-Based) |
|---|---|---|---|---|---|
| a (Å) | 5.226 | 1.296 | 3.8565 | 9.5340 | High, nonlinear |
| b (Å) | 5.433 | 1.326 | 3.8565 | 7.7279 | Moderate, linear |
| c (Å) | 8.790 | 5.610 | 3.9050 | 24.6450 | High, linear |
| Z (unitless) | 3.792 | 2.014 | 1.0000 | 6.0000 | Inverse, nonlinear |
| Hyperparameter | Value |
|---|---|
| Number of fully connected layers | 1 |
| First-layer neurons | 25 |
| Activation function | ReLU |
| Iteration limit | 1000 |
| Loss function: | Mean Squared Error (MSE) |
| Data preprocessing | Standardized using MATLAB’s built-in normalization |
| Optimization algorithm: | MATLAB’s default Levenberg–Marquardt optimization used within the regression learner app |
| Metric | Training Result | Testing Result |
|---|---|---|
| RMSE | 0.0021354 | 0.00097033 |
| R-squared (R2) | 1.00 | 1.00 |
| MSE | ||
| MAE | 0.0012263 | 0.00075149 |
Disclaimer/Publisher’s Note: The statements, opinions and data contained in all publications are solely those of the individual author(s) and contributor(s) and not of MDPI and/or the editor(s). MDPI and/or the editor(s) disclaim responsibility for any injury to people or property resulting from any ideas, methods, instructions or products referred to in the content. |
© 2025 by the authors. Licensee MDPI, Basel, Switzerland. This article is an open access article distributed under the terms and conditions of the Creative Commons Attribution (CC BY) license (https://creativecommons.org/licenses/by/4.0/).
Share and Cite
Alharthi, A.; Alfares, A.; Sha’aban, Y.A.; Adegbite, D.A. Improving the Interpretability of ANN-Based Predictions of Lattice Constants in Aliovalently Doped Perovskites Using Partial Dependence Plots. Crystals 2025, 15, 538. https://doi.org/10.3390/cryst15060538
Alharthi A, Alfares A, Sha’aban YA, Adegbite DA. Improving the Interpretability of ANN-Based Predictions of Lattice Constants in Aliovalently Doped Perovskites Using Partial Dependence Plots. Crystals. 2025; 15(6):538. https://doi.org/10.3390/cryst15060538
Chicago/Turabian StyleAlharthi, Abdullah, Abdulgafor Alfares, Yusuf Abubakar Sha’aban, and Dahood Ademuyiwa Adegbite. 2025. "Improving the Interpretability of ANN-Based Predictions of Lattice Constants in Aliovalently Doped Perovskites Using Partial Dependence Plots" Crystals 15, no. 6: 538. https://doi.org/10.3390/cryst15060538
APA StyleAlharthi, A., Alfares, A., Sha’aban, Y. A., & Adegbite, D. A. (2025). Improving the Interpretability of ANN-Based Predictions of Lattice Constants in Aliovalently Doped Perovskites Using Partial Dependence Plots. Crystals, 15(6), 538. https://doi.org/10.3390/cryst15060538

