Next Article in Journal
Remineralization Effects of Zinc-Containing Glass Ionomer Cement Restoratives on Demineralized Enamel Under pH Cycling Conditions
Next Article in Special Issue
Microstructural Investigation and High-Temperature Oxidation Performance of K417G Alloy Prepared by Wide-Gap Brazing
Previous Article in Journal
Carbochlorination Reduction Process of Waelz ZnO: Characterization of Resulting ZnO-Based Oxides
Previous Article in Special Issue
Influence of Rotational Speed on the Microstructure and Mechanical Properties of Refill Friction Stir Spot Welded Pure Copper
 
 
Font Type:
Arial Georgia Verdana
Font Size:
Aa Aa Aa
Line Spacing:
Column Width:
Background:
Article

The Cooling Phase Transition Behavior of 30MnNbRE Steel Studied Based on TMCP

by
Shimin Guo
1,2,3,
Hui Ma
4,
Xirong Bao
1,2,3,
Jia Sun
5,
Xuejiao Tang
1,2,3 and
Xiaodong Wang
1,2,3,*
1
School of Materials Science and Engineering, Inner Mongolia University of Science and Technology, Baotou 014010, China
2
Inner Mongolia Key Laboratory of New Metal Material, Baotou 014010, China
3
Key Laboratory of Green Extraction & Efficient Utilization of Light Rare-Earth Resources (Inner Mongolia University of Science and Technology), Ministry of Education, Baotou 014010, China
4
National Key Laboratory of Metal Forming Technology and Heavy Equipment, Xi’an 710000, China
5
School of Materials, Northwestern Polytechnical University, Xi’an 710000, China
*
Author to whom correspondence should be addressed.
Crystals 2025, 15(4), 327; https://doi.org/10.3390/cryst15040327
Submission received: 20 February 2025 / Revised: 14 March 2025 / Accepted: 21 March 2025 / Published: 28 March 2025

Abstract

The continuous cooling transformation (CCT) curves of undercooled austenite serve as crucial references for obtaining desired microstructures and properties in metallic materials (particularly deformed metals) through heat treatment. In this study, static and dynamic CCT curves were constructed for experimental steels micro-doped with rare earth element Ce by combining temperature-dilatometric curves recorded after austenitization at 900 °C with microstructural characterization and microhardness measurements. Comparative analyses were conducted on the microstructures and microhardness of three experimental steels with varying Ce contents subjected to sizing (reducing) diameter deformation at 850 °C and 950 °C. The CCT experimental results revealed that the microhardness of the tested steels increased with cooling rates. Notably, dynamic CCT specimens cooled at 50 °C/s to room temperature following superheated deformation exhibited 56.7 HV5 higher microhardness than static CCT specimens, accompanied by increased martensite content. The reduction of deformation temperature from 950 °C to 850 °C resulted in the expansion of the bainitic phase region. The incorporation of trace Ce elements demonstrated a significant enhancement in the microhardness of 30MnNbRE steel. This research proposes an effective processing route for improving strength-toughness combination in microalloyed oil well tubes: introducing trace Ce additions followed by sizing (reducing) diameter deformation at 950 °C and subsequent ultra-fast cooling at 50 °C/s to room temperature. This methodology facilitates the production of high-strength/toughness steels containing abundant martensitic microstructures.

1. Introduction

Seamless steel pipe is widely used in the fields of vehicles, ships, oil, and machinery, especially for the oil mining industry, which is in great demand. At present, in the face of redulimited competition for oil resources on land, extreme cold regions, deep sea areas, and other special environmental mining is gradually popular. When seamless steel pipes transport oil and gas resources in special environments, due to the working environment, the steel pipes shrink, and the pipe wall is corroded in the low-temperature environment. In addition, when used in the underground, it will also be squeezed by forces in different directions. These special mining environments for the extraction of resources for the toughness of the oil well pipe requirements are also more stringent. The production process and the composition design of oil well pipes are also constantly adjusted to adapt to the special mining environment.
Nowadays, the main means of enhancing the toughness of oil well pipes is offline heat treatment and the addition of more alloying elements, but this invariably increases the energy and alloying costs [1,2]. The Thermal Mechanical Control Process (TMCP) cannot add too many alloying elements at the same time. The use of micro-alloyed steel, through rolling control, cooling control, and online heat treatment, results in an ultra-fine organization that further enhances the toughness of the steel pipe. Zhao et al.’s study confirms that the TMCP process modulation enhances the strengthening and refinement of steel materials [3,4]. At present, a new generation of TMCP technology represented by ultra-fast cooling has been maturely applied in the production of medium-thickness plates, bars, and hot-rolled plates and strips [5,6,7,8,9]. However, the development and application of the TMCP process in the field of seamless steel pipe is still in its infancy due to the heterogeneous shape of the steel pipe, the internal hollow, and the complexity of the cooling conditions; the processing and deformation process is difficult to control. On the other hand, it is because of the complex hot forming of seamless steel pipe (piercing, continuous rolling, sizing (reducing) deformation) processing stage, through the control of rolling and the control of the cooling process, these complex deformations will be in the experimental steel deformation process to achieve the genetic and fine crystallization, deformation, and phase transformation of multiple synergistic reinforcing effects; the steel pipe’s toughness has been greatly enhanced. At present, the most used microalloying elements in TMCP steel are Nb, V, and Ti [2,10,11]; the research object of this paper, 30MnNbRE, contains two microalloying elements, Nb and RE. Nb is the preferred microalloying element for TMCP high-strength steels, and the strain-induced precipitates of Nb not only realize strain accumulation but also have a significant role in fine grain strengthening in addition to the trace amount of RE elements in the steel to realize the metamorphic inclusions, refine the organization, and enhance the steel toughness method.
Rare earth elements have a special position in the periodic table, belonging to the 17 lanthanide elements; due to the similar atomic radius and ionic structure, the physical and chemical properties of rare earth elements are also very similar [12,13]. La and Ce are representatives of the rare earth elements, of which Ce is chemically active. The addition of Ce in the steel will be generated with the matrix with a relatively low Ce2O3, CeAlO3, and other compounds. Ce in the solidification process of steel can be used as an effective inhomogeneous nucleation point to create conditions for grain refinement [14]. The compounds generated after the addition of La to steel can also provide nucleation points, and these compounds will be biased at grain boundaries, inducing local distortion and hindering grain boundary migration. Some scholars have reported that the addition of appropriate amounts of rare earth elements to steel can improve its microstructure and enhance the effect of strong toughness and corrosion resistance [12,14]. Considering that the addition of rare earth Ce can refine the grain, on the basis of the original 30MnNbRE, the 30MnNbRE doped with trace amounts of Ce by characterizing the material properties to determine the optimal composition application considerations for application to practical production.
The continuous cooling curve of supercooled austenite is the temperature-time relationship between the transformation of supercooled austenite to other tissues under continuous cooling conditions for austenite that is about to undergo transformation at the critical transformation temperature. In practice, CCT diagrams are an important basis for optimizing the heat treatment process to obtain the desired organization and properties [15]; they are widely used to set up different heat treatments and to predict the resulting microstructure and mechanical properties [16,17,18,19,20,21], and play an important role in guiding the development of low-carbon steels in practical production. The static CCT curve can be used to analyze the microstructure and properties of supercooled austenite under continuous cooling conditions and can be used to formulate heat treatment process routes. The dynamic CCT curve describes the microstructure transformation of steel during continuous cooling after thermal deformation, which is an important basis for formulating the rolling process and cooling process. In this paper, the static and dynamic CCT diagrams of 30MnNbRE steel are combined to formulate a reasonable thermal processing process to obtain the martensitic structure and required mechanical properties of the ideal 30MnNbRE steel. To determine the CCT curve of a material, it is necessary to measure the temperatures of the phase transition points on the temperature-expansion curve at different cooling rates. Currently, there are three methods to determine the temperature of the phase transition point on the CCT curve: vertex method, average method, and tangent method, among which the vertex method and average method are simple to operate, but there will be a large error with the real data. At present, there are three methods to determine the temperature at the phase change point: vertex method, average method, and tangent method, among which the vertex method and average method are simple to operate, but there will be a large error with the real experimental data. Due to the structure and specific capacity of different organizations of different types of steel, materials in the occurrence of solid-state phase change are often accompanied by discontinuous changes in volume, resulting in a thermal expansion curve in the phase change at the point of inflection, the tangent method is to make a tangent at this point of inflection, the tangent line and the curve of the separation point is the temperature of the phase change point.
In order to further improve the toughness of 30MnNbRE steel for oil well tubing, we decided to investigate the continuous cooling phase transition behavior of 30MnNbRE steel doped with trace Ce. The addition of trace Ce combined with the CCT curve to develop a reasonable TMCP process for 30MnNbRE steel ensures that more martensitic organization and enhanced toughness can be obtained while also saving alloy and energy costs. In this study, the static and dynamic CCT curves of 30MnNbRE steel with dled austenite transformation law were observed in combination with the microstructure. By designing different sizing (reducing) deformation temperatures, the effects of different trace amounts of Ce on the trend of mechanical properties of 30MnNbRE steel at different deformation temperatures were investigated. Finally, the mechanism of the influence of Ce on the microstructure evolution and microhardness of 30MnNbRE steel is further discussed and analyzed. On this basis, it further provides a realistic theoretical reference basis for the design of oil well pipe steel composition and the optimization of controlled rolling and controlled cooling process parameters.

2. Experimental Materials and Methods

2.1. Material Preparation

The purpose of using controlled rolling and cooling for the experimental steel is to increase the martensite content to improve its overall strength and toughness. In this study, 0 ppm, 100 ppm, and 300 ppm rare earth element Ce was added to 30MnNbRE steel for oil well tubing produced by Baotou Iron and Steel Company in Inner Mongolia, China, in order to investigate ways to further improve its toughness. The original billet was refined by a 25 kg multifunctional vacuum induction furnace, and Ce was added for the complete melting and casting of the time before the casting of the material. The material was heated to 1250 °C heat preservation of 1 h, heat preservation was completed after the material was forged and air-cooled. The actual chemical composition of the experimental steel, No. 0.01 Ce, detected by the Labspark 750T Precision Dual Direct Reading Spark Spectrometer manufactured by China Steel Research Nacell, is shown in Table 1.

2.2. Plotting of CCT Curves

The process of plotting CCT curves mainly includes the determination of critical points Ac1, Ac3, and Ms points, the use of the tangent method combined with Vickers hardness to determine the type of phase change organization at different cooling rates, and the plotting CCT diagrams. The specific process flow of the experiment is described below.

Determination of Critical Points

The critical points Ac1 and Ac3 of the static CCT curve were determined as follows: the specimen was heated to 400 °C at a heating rate of 10 °C/s and then heated from 400 °C to 1100 °C at an elevated rate of 0.05 °C/s for 5 min to ensure that the specimen was completely and uniformly austenitized and then air-cooled to room temperature; the process flow diagram is shown in Figure 1. The tangent method was used to take the position of the phase transition point in the curve, and two sets of experiments were repeated to minimize the error. The Ms point was taken as the average value of two sets of Ms under the temperature-expansion curves with the cooling rates of 180 °C and 150 °C/s.
Static CCT experiments will be carried out on a German-made L78 Quench Expansion Tester. Figure 2 shows the flowchart; the specific process flow is as follows: Firstly, the experimental steel will be heated up to 900 °C at a heating rate of 5 °C/s and held for 10 min, waiting for the experimental steel to be fully austenitized and then cooled down to room temperature by helium at 12 different cooling rates (0.1, 0.5, 1, 5, 10, 15, 18, 25, 50, 100, 150, 180 °C/s).
Dynamic CCT experiments will be conducted on a Gleeble-3500 thermal simulator manufactured by Dynamic Systems Inc., New York, USA. Figure 3 shows the flow chart of the experiment; the specific process is as follows: Firstly, the specimen is heated from room temperature to 1250 °C with a heating rate of 5 °C/s, held for 300 s to eliminate the temperature gradient, and then cooled to 950 °C with a cooling rate of 5 °C/s after the specimen is fully austenitized, and then held for 300s again and deformed under the conditions of the strain rate of 5 s−1 and deformation of 25%, and then cooled to room temperature after the deformation with different cooling rates (0.5, 5, 10, 18, 25, 50 °C/s) cooled to room temperature.
After the completion of the experiment, the cross-section of the hot zone on one side of the experimental material was taken to make metallographic specimens by wire cutting. The tangent line method was used to take the start and end temperatures of the phase transformation on the temperature-expansion curves at different cooling speeds and combined with the microhardness and the microstructure morphology under high magnification to further determine the type of phase transformation of the specimens after cooling to room temperature at different cooling speeds. Finally, the cooling curves of the experimental steels under different cooling speeds are plotted on Origin, and the continuous cooling curves of supercooled austenite are further plotted on its basis.

2.3. Martensite Evolution Law Under Different Sizing (Reducing) Deformation Temperatures

In the Gleeble-3500 thermal simulation experiment machine, the high-temperature compression experiment simulates the production process of controlled rolling and controlled cooling processes and further studies the different sizing (reducing) deformation temperature martensite organization evolution law. The process flow is as follows: 5 °C/s heating rate to 1250 °C and hold 300 s, and then 5 °C/s cooling rate was reduced to cool different sizing (reducing) deformation temperatures (950 °C and 850 °C), the strain rate of 5 s−1, deformation of 25%, to 50 °C/s cooling rate cooling to room temperature, the process flow is shown in Figure 4.

2.4. Micro-Morphological Characterization and Hardness Test

When the experiment was finished, the specimens were ground, polished, and corroded using a 4% nitric acid alcohol solution, and the location of microstructure observation was selected to be carried out on one side of the specimen cross-section. In this study, we characterize the differences in micro-morphology of different sizing (reducing) deformation temperature and cooling rates after thermal simulation experiments. In addition, the high magnification morphology of the polished and corroded specimens was observed using a Zeiss Sigma 300 scanning electron microscope from Germany and a TESCEN scanning electron microscope from the Czech Republic. After the experiment, the material was through the Q10A + automatic Vickers micro-integrated hardness microscope for hardness testing of samples, according to the scale, with 10 points as a group, each specimen measurement of two groups, taking the average value to reduce the data error.

3. Results and Discussion

3.1. Critical Point and Ms Point

In this study, the temperature-expansion curve is drawn by expansion analysis. The tangent method is used to determine the phase transition temperature in the region where it occurs [19]. Ac1 = 715.1 °C and Ac3 = 835.7 °C are measured after repeating the two sets of experiments, and the determination of the critical point is beneficial for the formulation of the subsequent cooling process. The Ms point is taken as the average of the temperature-expansion curves of the temperatures of 150 °C/s and 180 °C/s. The temperature-expansion curves are shown in Figure 5a below, which is an example of the temperature expansion curve at 0.5 °C/s cooling to room temperature. Figure 5a below is the temperature-expansion curve of 0.5 °C/s cooling to room temperature; for example, the whole temperature-expansion curve, such as the change of the schematic diagram, Figure 5b, is the determination of the Ac1 and Ac3 phase change point of the temperature-expansion curve.
In addition, the critical phase transition point and Ms point of 0 Ce and 0.03 Ce experimental steels were determined in this experiment; the complete experimental records are in Table 2. In the following table, it can be seen that the addition of the rare earth element Ce has a greater effect on the phase transition temperature. 0 Ce steel Ac1 temperature of 706 °C, 0.01 Ce and 0.03 Ce experimental steel Ac1 were 715.1 °C and 740 °C, respectively; here, the Ce additive content of the impact of the Ac1 is more pronounced, and the temperature of Ac1 is also accompanied by an increase in the content of Ce. For Ac3, it can be observed that only when the Ce content reaches a certain range, the temperature of Ac3 significantly improves, and the magnitude of the change is smaller compared to Ac1. Since the radius of Ce atoms is larger than that of Fe atoms [22], and Ce enriched at the grain boundaries will hinder the diffusion of C, which leads to the completion of the transformation occurring at higher temperatures needed to increase the driving force of the phase transition, the temperature of Ac1 and Ac3 is increased.
From the above table, it can be seen that Ce significantly reduces the location of the Ms point, and summarizing the data, it can be seen that the reduction of the three different Ce contents of the material is about 11 °C. The reason for this phenomenon is that Ce content up to a certain value will reduce the interfacial energy bias at grain boundaries, improve the stability of the supercooled austenite, and increase the resistance to the transformation of austenite to the low-temperature organization. The larger the cooling rate, the larger the degree of subcooling [23,24]; in this case, to further complete the martensitic transformation, it must require a greater driving force and a larger degree of subcooling to complete the transformation to the low-temperature organization. Therefore, considering Ac1, Ac3, and Ms points, the continuous cooling curves of the experimental steel with 0.011% Ce content are analyzed in the following section.

3.2. Temperature-Expansion Curves of Each Specimen Under Different Cooling Rates

Determination of the austenite transition temperature plays an important role in plotting continuous cooling curves for the experimental steels [20]. Twelve different cooling rates are selected in Figure 6 below to determine further the temperature-expansion curves at the point of phase transition.
When austenite begins to undergo ferrite or martensite phase transformation, the crystal structure changes from a face-centered cubic structure to a body-centered cubic structure; therefore, the point in the expansion curve that deviates from the straight line corresponds to the onset temperature of the phase transformation. From Figure 6, it can be observed that the austenite transformation occurs at high temperatures when the cooling rate is in the range of 0.1–1 °C/s for slow cooling. Combined with the microstructure and Vickers hardness judgment, the expansion curve at this time presents a stage of phase transformation that occurs; this stage occurs in the high-temperature ferrite and pearlite phase transformation. With a further increase in cooling rate to 5–10 °C/s, ferrite, pearlite, and bainite transformation occurs. The cooling rate was in the range of rapid cooling (15–50 °C/s) when the two-stage phase transformation of the bainite plus martensite phase transformation occurred. When the cooling rate is within the range of ultra-fast cooling (100–180 °C/s), a complete martensitic phase transformation occurs within this cooling range.
A comparison of SEM images of grain organization at different cooling rates shows that increasing the cooling rate can refine the grain size. The corresponding martensite slat widths of 0.88, 0.8, 0.73, and 0.63 μm were measured at 50, 100, 150, and 180 °C/s cooling rates, respectively, using Nano Measurer2.0 grain measurement software.

3.3. Microstructure and Microhardness Analysis

Figure 7 shows the SEM structure of 0.01 Ce experimental steel at different cooling rates. As can be seen from Figure 7, the original organization of the specimen is mainly composed of ferrite and pearlite, and the distribution of ferrite grains is not uniform, which is mainly related to the internal composition of the specimen segregation. When the specimen is austenitized, this phenomenon of uneven grain distribution will be significantly improved.
The continuous cooling transformation curve of subcooled austenite can be divided into three parts based on the phase transformation products. The high-temperature transformation region is the transformation of austenite to ferrite and pearlite, the medium-temperature transformation region is the transformation of austenite to bainite, and the low-temperature transformation region refers to the transformation of austenite to martensite. When the cooling rate is 0.5 °C/s below, the specimen room temperature organization is composed of ferrite and pearlite; when the cooling rate is 1 °C/s, the organization of the appearance of bainite waits until the cooling rate increases to 15 °C/s rapid cooling, and the organization begins to appear in the martensite organization, and with the increase in the cooling rate, the number of martensite increases, and the number of bainite organizations decreases; when the cooling rate reaches ultra-fast cooling at 100 °C/s and above, this is only a single martensitic transformation. On the other hand, the addition of rare earth elements (Ce) to the ultra-fast cooling will also promote the formation of martensite organizations. This is because the addition of Ce promotes the solid solution of Nb in the experimental steel, and the solid solution of Nb enhances the stability of austenite, which, in turn, improves the hardenability of the experimental steel and makes it easier to form martensite.
Table 3 and Table 4 show the organization of the three experimental steels and their corresponding microhardnesses at 12 different cooling rates. From the statistical results, it can be seen that the microhardness increases with increasing cooling rate, and the temperature at which the supercooled austenite transformation begins decreases gradually. The increase in microhardness is mainly related to the organization of the specimen, and the increase in microhardness of the steel is further driven by the refinement of the martensitic slats. The microstructure at cooling rates of 10 °C/s and higher shows an increase in the amount of bainite and martensite in the organization, with a gradual decrease in the amount of softer ferrite in the specimen. When the cooling rate reaches the ultra-fast cooling of 50 °C/s after the organization is almost entirely composed of martensite organization, the microhardness tendency to increase gradually remains stable.

3.4. CCT Curve Analysis of 30MnNbRE

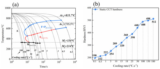
As can be seen from Figure 8, the ferrite + pearlite transformation region, the bainite transformation region, and the martensite transformation region exist on the CCT curve of 0.01 Ce experimental steel. The comprehensive analysis of the room temperature microstructure of the experimental steel under different cooling conditions shows that the sequence of tissue evolution of the experimental steel during continuous cooling is ferrite → pearlite → bainite → martensite.
Only ferrite and pearlite transformations occur in the high-temperature transformation zone, bainite transformation dominates in the medium-temperature zone, and martensite transformation mainly occurs in the low-temperature zone. However, a small amount of bainite transformation also occurs when the cooling rate is low, mainly because the Cr and Mo carbide-forming elements in the experimental steel can inhibit the decomposition and diffusion of austenite and increase the gestation time of supercooled austenite [25,26,27], thus delaying the transformation of ferrite and bainite so that the ferrite transformation is shifted to the high-temperature zone and the bainite transformation is shifted to the intermediate-temperature zone.
On the other hand, it is because the rare earth element Ce attenuates the ability of the primary austenite to release carbon during the bainite transformation process. Ce provides favorable conditions for bainite nucleation in the carbon-poor zone by impeding the diffusion of other atoms and increasing the rich-poor side gaps where the carbon concentration fluctuates within the primary austenite grains [28]. Ce promotes the transformation of austenite to bainite and shifts the ferrite-pearlite phase transition zone to the right.
The dynamic CCT experiment and the static CCT experiment data processing methods are the same. Figure 9 shows the continuous cooling curves of supercooled austenite at the same cooling rate for the dynamic CCT experiment and the static CCT experiment, with the solid part being the dynamic CCT curve and the dashed part being the static CCT curve. Comparing the Ms points of the two sets of experiments, it is observed that there exists a deformation amount of the dynamic CCT curve whose Ms point position is higher. This is because, with the further increase of the cooling rate, the atomic diffusion rate in the matrix is reduced, but because the grain undergoes deformation, which leads to the deformation process in the location near the grain boundary having a higher deformation storage energy, it is easy to become the location of martensitic phase transformation. In the cooling rate, the application of appropriate deformation is conducive to the occurrence of martensitic phase transformation.
The reason for the increase in the temperature at the beginning of the bainite phase transition point in the dynamic CCT curve is the presence of precipitates at the grain boundaries and inside the grains of the experimental steel. The microhardness of the experimental steel increases due to the deformation of the grains in the organization by external factors, which increases the strength and dislocation density of the supercooled austenite. On the other hand, plastic deformation promotes the diffusion and lattice reorganization of C and Fe atoms, which facilitates the deformation-induced precipitation of microalloying elements. These precipitates present provide nucleation points for the bainite phase transformation, and the bainite transformation time is advanced.

3.5. Microstructure and Microhardness Analysis Under Different Sizing (Reducing) Deformation Temperatures

Figure 10 shows the SEM histograms of the three compositions of experimental steels cooled to room temperature at 50 °C/s when the sizing (reducing) deformation temperatures were 850 °C and 950 °C, respectively. From the figure, it can be seen that the microstructure of the 0 Ce experimental steel is mainly composed of granular bainite, a small amount of slate martensite, and massive MA islands after the 850 °C sizing (reducing) deformation. Compared with the 0 Ce experimental steel, the martensite content of the two experimental steels containing Ce is significantly higher than that of the experimental steel without added Ce, except for a small amount of MA islands and GB in 0.01 Ce and 0.03 Ce. Under the same cooling conditions, a comparative analysis of the microstructure of the two deformation temperatures of 950 °C and 850 °C cooled to room temperature can show that reducing the deformation temperature is conducive to the formation of bainite organization, the bainite phase transition zone is expanded, and the martensite phase transition is hindered.
When the sizing (reducing) deformation temperature is taken as 850 °C, the experimental steel is deformed in the austenite unrecrystallized zone. The deformation of austenite can increase the interfacial area per unit volume of austenite, introduce subdeformed structures within the grain, and act as nucleation points within the grain at deformation zones or cell boundaries. These defects and the increase in stored energy can provide favorable conditions for the nucleation of bainite, which can increase the bainite phase transition temperature with a leftward shift of the phase transition zone. The reason for the delay in martensitic phase transformation is twofold: on the one hand, the phase transformation driving force decreases with decreasing deformation temperature, and on the other hand, the reason is because of the effect of expanding the bainite phase transformation zone in the experimental steels, which delays the onset of the martensitic phase transformation.
Figure 11 shows the statistical microhardness changes of 0.01 Ce experimental steel after cooling to room temperature at 50 °C/s at sizing (reducing) deformation temperatures of 950 °C and 850 °C, respectively. Comparing the microhardness values of the two different deformation temperatures in the figure, combined with the above analysis, it is found that the experimental steel is more favorable for martensitic slat formation, and the microhardness value of the experimental steel is higher under the condition of ultra-fast cooling to room temperature after sizing (reducing) diameter deformation at 950 °C. The reason for the highest microhardness of 0.01 Ce experimental steel in Figure 11 is that after cooling 0.03 Ce and 0.01 Ce to room temperature at 50 °C/s, on the one hand, 0.03 Ce steel is doped with more trace amounts of Ce compared with 0.01 Ce steel, resulting in the formation of a larger bainite zone after cooling, which leads to the expansion of martensitic zone is impeded; on the other hand, a larger amount of Ce in 0.03 Ce steel would form, more Ce in 0.03 Ce steel will form inclusions about Ce leading to a decrease in the microhardness of the experimental steel. 0.03 Ce and 0 Ce are both cooled to room temperature at 50 °C/s; due to the absence of Ce in the 0 Ce steel, which cannot be used to refine the grain size through the Ce, the microhardness of the experimental steel of 0.03 Ce is greater than that of the 0 Ce steel.

3.6. Effect of Different Cooling Rates and Ce Content on Grain Size

In the dynamic CCT experiments, the martensitic slat widths of the three steels were 0.92 μm, 0.81 μm, and 0.83 μm for 0 Ce, 0.01 Ce, and 0.03 Ce, respectively, after deformation and cooling to room temperature by 50 °C at a sizing (reduction) temperature of 950 °C. This indicates that Ce doping in steel produces a grain refining effect on the ferrite grains and martensite slat bodies. In the static CCT experiment, the ferrite grain size decreased from 5.12 μm to 1.02 μm when the cooling rate was increased from 0.1 °C/s to 25 °C/s. Similarly, the martensitic slat width was refined from 0.95 μm to 0.63 μm when the cooling rate was increased from 10 °C/s to 180 °C/s. This is because the subcooling degree increased with the larger cooling rate. This is because as the cooling rate increases, the degree of subcooling also increases. The larger subcooling degree leads to a gradual decrease in the phase transition temperature and an increase in the diffusion capacity of the elements, thus inducing grain refinement. The ferrite grain size and martensite slat width were refined with the increase in cooling rate.

4. Conclusions

By characterizing and analyzing the microstructure and hardness of the experimental steels, the continuous cooling phase transition behavior of supercooled austenite under different cooling rates was investigated, and the following main conclusions were obtained:
(1)
Ce doping in the virgin steel billet can significantly increase the austenite transformation temperature during the heating process of static CCT experiments and decrease the martensite transformation temperature during the low-temperature transformation. When the content of Ce is 0.011%, the critical points Ac1 and Ac3 are elevated by 9.1 and 2.7 °C, respectively, and the Ms point is reduced by 29 °C.
(2)
The deformation of the dynamic CCT experimental sizing (reducing) deformation process provides a large number of nucleation points for the grains through the accumulation of dislocations, distortion energy, etc., and the deformation promotes the further refinement of the martensite slats under rapid cooling conditions; the microhardness is enhanced from 440 to 524 HV5 after cooling to room temperature with ultra-fast cooling at 50 °C/s.
(3)
When the cooling conditions are certain, lowering the sizing (reducing) deformation temperature favors the growth of bainite slats, and the martensitic transformation is blocked. In addition, doping trace Ce can promote the solid solution strengthening of Nb in steel, austenite stability enhancement, steel hardenability increase, and experimental steel in the same cooling conditions easier to form martensite.

Author Contributions

Preparation of the first draft of the writing: S.G.; Writing review and editing: X.B. and J.S.; X.T. Revise responses to review comments; Provision of experimental equipment and instruction: X.W.; Data analysis and validation: S.G. and X.W.; Optimization of the experimental methodology and handling of data: H.M. All authors have read and agreed to the published version of the manuscript.

Funding

This study was supported by the National Natural Science Foundation of China (52164046), the Natural Science Foundation of Inner Mongolia Autonomous Region (2024LHMS05014), the Open Project of National Key Laboratory of Metal Forming Technology and Heavy Equipment (S2208100.W05), and the Special Funds for Basic Research Operating Costs of Inner Mongolia University of Science and Technology (2023QNJS031, 2023QNJS032).

Data Availability Statement

All data from this study are available from the corresponding author.

Acknowledgments

The School of Materials Science and Engineering, Inner Mongolia University of Science and Technology, provided the Gleeble3500 thermal simulator and L78 quench expander equipment. The SEM experiments were conducted at the School of Materials, Northwestern Polytechnical University.

Conflicts of Interest

The authors declare that they have no known competing financial interests or personal relationships that could have appeared to influence the work reported in this paper.

References

  1. Yang, J.; Zou, D.-N.; Li, X.-M.; Du, Z.-Z. Effect of Rare Earth on Microstructures and Properties of High Speed Steel with High Carbon Content. J. Iron Steel Res. Int. 2007, 14, 47–52. [Google Scholar] [CrossRef]
  2. Xie, Y.; Cheng, G.-G.; Chen, L.; Zhang, Y.-D.; Yan, Q.-Z. Mechanism of generation of large (Ti,Nb,V)(C,N)-type precipitates in H13 + Nb tool steel. Int. J. Miner. Metall. Mater. 2016, 23, 1264–1274. [Google Scholar] [CrossRef]
  3. Urtsev, N.V.; Platov, S.I.; Shmakov, A.V.; Ryzhkov, M.A.; Lobanov, M.L. Thermophysical Properties of High-Strength Low-Alloyed Pipe Steel. Phys. Met. Metallogr. 2025, 125, 1284–1290. [Google Scholar] [CrossRef]
  4. Zhao, J.; Jiang, Z. Thermomechanical processing of advanced high strength steels. Prog. Mater. Sci. 2018, 94, 174–242. [Google Scholar]
  5. Atta-Agyemang, S.-A.; Kesse, M.A.; Kah, P.; Martikainen, J. Improvement of strength and toughness: The effect on the weldability of high-strength steels used in offshore structures. Proc. Inst. Mech. Eng. Part B J. Eng. Manuf. 2016, 231, 369–376. [Google Scholar] [CrossRef]
  6. Hu, J.; Liu, Y.; Wang, G.; Li, Q.; Wen, J.; Yan, L.; Chen, S.; Gu, Y. Effect of Tempering Treatment on Microstructural Evolution and Mechanical Behavior of Heavy-Wall Heat Induction Seamless Bend Pipe. Materials 2021, 15, 259. [Google Scholar] [CrossRef]
  7. Mani, E.; Udhayakumar, T. Effect of prior austenitic grain size and tempering temperature on the energy absorption characteristics of low alloy quenched and tempered steels. Mater. Sci. Eng. A 2018, 716, 92–98. [Google Scholar] [CrossRef]
  8. Sharma, S.K.; Maheshwari, S. A review on welding of high strength oil and gas pipeline steels. Gas Sci. Eng. 2017, 38, 203–217. [Google Scholar] [CrossRef]
  9. Wang, X.; Bao, X.; Cen, Y.; Chen, L. Experimental simulation research on TMCP of 30MnCr22 oil well pipe. Mater. Res. Express 2022, 9, 056522. [Google Scholar] [CrossRef]
  10. Pan, B.; Xu, X.; Yang, J.; Zhan, H.; Feng, L.; Long, Q.; Yao, Q.; Deng, J.; Cheng, L.; Lu, Z.; et al. Effect of Nb, Ti, and V on wear resistance and electrochemical corrosion resistance of AlCoCrNiMx (M=Nb, Ti, V) high-entropy alloys. Mater. Today Commun. 2024, 39, 109314. [Google Scholar] [CrossRef]
  11. Zhang, Y.; Zhao, C.; Sato, M.; Miyamoto, G.; Furuhara, T. Resistance to Temper Softening of Low Carbon Martensitic Steels by Microalloying of V, Nb and Ti. ISIJ Int. 2021, 61, 1641–1649. [Google Scholar] [CrossRef]
  12. Xiao, J.; Yan, L.; Zhang, P.; Li, G.; Li, B.; Zhao, T.; Wang, H.; Chen, L.; Wang, D. Effects of minor Ce doping on the microstructure and mechanical performances of a EH47 grade HSLA steel for ship and ocean engineering. Mater. Charact. 2023, 201, 112931. [Google Scholar]
  13. Guofang, X.; Shiheng, L.; Bo, S.; Wei, L.; Shufeng, Y.; Li, Z.; Yabing, Z. Influence of refining slag composition on nonmetallic inclusions in 38CrMoAl steel. J. Mater. Res. Technol. 2024, 34, 209–219. [Google Scholar]
  14. Lan, F.-J.; Zhuang, C.-L.; Li, C.-R.; Yang, H.; Yang, G.-K.; Yao, H.-J.; Zhang, Z.-Z. Effect of Rare-Earth Cerium on Nonmetallic Inclusions in Fe–Mn–C–Al Twinning-Induced Plasticity Steel. Steel Res. Int. 2022, 94, 2200421. [Google Scholar]
  15. Geng, X.; Wang, H.; Xue, W.; Xiang, S.; Huang, H.; Meng, L.; Ma, G. Modeling of CCT diagrams for tool steels using different machine learning techniques. Comput. Mater. Sci. 2020, 171, 109235. [Google Scholar]
  16. Cota, A.B.; Modenesi, P.J.; Barbosa, R.; Santos, D.B. Determination of CCT diagrams by thermal analysis of an HSLA bainitic steel submitted to thermomechanical treatment. Scr. Mater. 1998, 40, 165–169. [Google Scholar]
  17. Park, J.-Y.; Ko, W.-S.; Park, K.B.; Kang, G.B.; Im, H.-T.; Kwon, H.G.; Hwang, N.-M.; Park, H.-K. Effect of Cooling Rate on Phase Transformation Behavior during Isothermal Annealing of SCr420 Steel. Steel Res. Int. 2022, 93, 2100711. [Google Scholar]
  18. You, W.; Xu, W.-h.; Liu, Y.-x.; Bai, B.-z.; Fang, H.-s. Effect of Chromium on CCT Diagrams of Novel Air-Cooled Bainite Steels Analyzed by Neural Network. J. Iron Steel Res. Int. 2007, 14, 39–42. [Google Scholar]
  19. Falkenreck, T.; Kromm, A.; Böllinghaus, T. Investigation of physically simulated weld HAZ and CCT diagram of HSLA armour steel. Weld. World 2017, 62, 47–54. [Google Scholar] [CrossRef]
  20. Schindler, I.; Kawulok, R.; Opěla, P.; Kawulok, P.; Rusz, S.; Sojka, J.; Sauer, M.; Navrátil, H.; Pindor, L. Effects of Austenitization Temperature and Pre-Deformation on CCT Diagrams of 23MnNiCrMo5-3 Steel. Materials 2020, 13, 5116. [Google Scholar] [CrossRef]
  21. Mein, A.; Fourlaris, G.; Crowther, D.; Evans, P. Influence of aluminium additions upon CCT diagrams for hot rolled TRIP assisted dual phase steel. Mater. Sci. Technol. 2012, 28, 627–633. [Google Scholar] [CrossRef]
  22. Demaske, B.J.; Chernatynskiy, A.; Phillpot, S.R. Energetics and kinetics of metal impurities in the low-temperature ordered phase of V2C from first-principles calculations. J. Nucl. Mater. 2018, 513, 185–191. [Google Scholar] [CrossRef]
  23. Yingbo, Z.; Dening, Z.; Xiaoqiao, W.; Yunong, L.; Yicheng, J.; Wei, Z.; Libo, T. Influence of cooling rate on δ-ferrite/γ-austenite formation and precipitation behavior of 18Cr–Al–Si ferritic heat-resistant stainless steel. J. Mater. Res. Technol. 2022, 18, 1855–1864. [Google Scholar]
  24. Zhang, Y.; Li, D.; Guan, L.; Cao, L.; Wang, W. Effect of Si on δ-Ferrite/γ-Austenite Transformation and M23C6 Precipitation During Solidification of X10CrAlSi18 Ferritic Heat-Resistant Stainless Steel. Steel Res. Int. 2023, 95, 2300528. [Google Scholar] [CrossRef]
  25. Lee, S.; Na, H.; Kim, B.; Kim, D.; Kang, C. Effect of Niobium on the Ferrite Continuous-Cooling-Transformation (CCT) Curve of Ultrahigh-Thickness Cr-Mo Steel. Metall. Mater. Trans. A 2013, 44, 2523–2532. [Google Scholar] [CrossRef]
  26. José Britti, B.; Conrado Ramos Moreira, A. Effect of Ni addition on bainite microstructure of low-carbon special bar quality steels and its influence on CCT diagrams. J. Mater. Res. Technol. 2021, 15, 1266–1283. [Google Scholar]
  27. Wang, X.; Kang, Y.-L.; Yu, H.; Chen, L.-B.; Kong, Q.-F. Dynamic CCT Diagram of Automobile Beam Steel With High Strength Produced by FTSR Technology. J. Iron Steel Res. Int. 2008, 15, 60–64. [Google Scholar]
  28. Mandal, G.; Dey, I.; Mukherjee, S.; Ghosh, S.K. Phase transformation and mechanical properties of ultrahigh strength steels under continuous cooling conditions. J. Mater. Res. Technol. 2022, 19, 628–642. [Google Scholar] [CrossRef]
Disclaimer/Publisher’s Note: The statements, opinions, and data contained in all publications are solely those of the individual author(s) and contributor(s) and not of MDPI and/or the editor(s). MDPI and/or the editor(s) disclaim responsibility for any injury to people or property resulting from any ideas, methods, instructions, or products referred to in the content.
Figure 1. Determination of critical points.
Figure 1. Determination of critical points.
Crystals 15 00327 g001
Figure 2. (a) Test process of static CCT; (b). Sample and control systemtatic.
Figure 2. (a) Test process of static CCT; (b). Sample and control systemtatic.
Crystals 15 00327 g002
Figure 3. (a) Test process of dynamic CCT; (b). Sample and control systemtatic.
Figure 3. (a) Test process of dynamic CCT; (b). Sample and control systemtatic.
Crystals 15 00327 g003
Figure 4. Thermal simulation flowchart for sizing (reducing) deformation temperatures of 850 °C and 950 °C.
Figure 4. Thermal simulation flowchart for sizing (reducing) deformation temperatures of 850 °C and 950 °C.
Crystals 15 00327 g004
Figure 5. Static CCT (a) temperature-expansion curve of the whole process; (b) Determination of the temperature-expansion curve at the critical point.
Figure 5. Static CCT (a) temperature-expansion curve of the whole process; (b) Determination of the temperature-expansion curve at the critical point.
Crystals 15 00327 g005
Figure 6. Temperature expansion curves at different cooling rates for static CCT experiments.
Figure 6. Temperature expansion curves at different cooling rates for static CCT experiments.
Crystals 15 00327 g006
Figure 7. Microstructure and morphology of experimental steel under different cooling rates in static CCT experiments (F: ferrite; P: pearlite; B: bainite; M: martensite).
Figure 7. Microstructure and morphology of experimental steel under different cooling rates in static CCT experiments (F: ferrite; P: pearlite; B: bainite; M: martensite).
Crystals 15 00327 g007
Figure 8. Static CCT map (a) vs. Vickers hardness at different cooling rates (b).
Figure 8. Static CCT map (a) vs. Vickers hardness at different cooling rates (b).
Crystals 15 00327 g008
Figure 9. Dynamic CCT, static CCT images (a), and Vickers hardness (b).
Figure 9. Dynamic CCT, static CCT images (a), and Vickers hardness (b).
Crystals 15 00327 g009
Figure 10. SEM morphology of experimental steel at 850 °C (ac) 950 °C (df) sizing (reducing) deformation temperatures (LM: lath martensite; GB: granular bainite; LB: lath bainite).
Figure 10. SEM morphology of experimental steel at 850 °C (ac) 950 °C (df) sizing (reducing) deformation temperatures (LM: lath martensite; GB: granular bainite; LB: lath bainite).
Crystals 15 00327 g010
Figure 11. Microhardness of experimental steel after sizing (reducing) deformation at 850 °C and 950 °C.
Figure 11. Microhardness of experimental steel after sizing (reducing) deformation at 850 °C and 950 °C.
Crystals 15 00327 g011
Table 1. Chemical composition of 30MnNbRE (mass fraction, %).
Table 1. Chemical composition of 30MnNbRE (mass fraction, %).
SteelCSiMnPSCrNiCuMoNbCe
0 Ce0.300.241.33<0.0050.00260.0160.080.0068<0.0050.0320.000
0.01 Ce0.300.361.34<0.0050.00170.0160.100.0052<0.0050.0290.011
0.03 Ce0.300.331.34<0.0050.00270.0160.090.0053<0.0050.0300.030
Table 2. Critical and Ms points for three different Ce contents.
Table 2. Critical and Ms points for three different Ce contents.
NumberAc1/°CAc3/°CMs/°C
1 Group2 Group A c11 Group2 Group A c31 Group2 Group M s
0 Ce704708706831835833334338336
0.01 Ce716714.2715.1835.5835.8835.7334334334
0.03 Ce742738740842844843337333335
Table 3. Organization of 30MnNbRE steel at different cooling rates.
Table 3. Organization of 30MnNbRE steel at different cooling rates.
Cooling Rate/(°C/s−1)A→F + P/°CA→M/°CMicrostructure
0 Ce0.01 Ce 0.03 Ce0 Ce0.01 Ce0.03 Ce0 Ce0.01 Ce0.03 Ce
0.1732→622751→622758→632 F + PF + PF + P
0.5722→581743→590755→610 F + PF + PF + P
1712→560733→570742→582 F + PF + PF + P
5677→515690→529712→532 F + PF + P + BF + P
10658→505677→509694→514309→256319→256322→250F + P + BF + P + B + MF + P + B + M
15655→491662→492675→502312→256322→259324→244F + P + BF + P + B + MF + P + B + M
18641→480647→484661→499316→251325→252325→223F + P + B + MF + P + B + MF + P + B + M
25625→483637→480642→489320→256331→242332→250B + MB + MB + M
50588→458590→457601→461320→253332→244331→211B + MB + MB + M
100 322→204333→-335→214MMM
150 336→221334→214330→224MMM
180 336→222334→224330→224MMM
Table 4. Microhardness of 30MnNbRE steel at different cooling rates (Hardness/HV5).
Table 4. Microhardness of 30MnNbRE steel at different cooling rates (Hardness/HV5).
Ce ContentCooling Rate/(°C/s−1)
0.10.5151015182550100150180
0 Ce191202204219266302340381422460461465
0.01 Ce198212222254289320360398440488498512
0.03 Ce195208215240280315351383431478488490
Disclaimer/Publisher’s Note: The statements, opinions and data contained in all publications are solely those of the individual author(s) and contributor(s) and not of MDPI and/or the editor(s). MDPI and/or the editor(s) disclaim responsibility for any injury to people or property resulting from any ideas, methods, instructions or products referred to in the content.

Share and Cite

MDPI and ACS Style

Guo, S.; Ma, H.; Bao, X.; Sun, J.; Tang, X.; Wang, X. The Cooling Phase Transition Behavior of 30MnNbRE Steel Studied Based on TMCP. Crystals 2025, 15, 327. https://doi.org/10.3390/cryst15040327

AMA Style

Guo S, Ma H, Bao X, Sun J, Tang X, Wang X. The Cooling Phase Transition Behavior of 30MnNbRE Steel Studied Based on TMCP. Crystals. 2025; 15(4):327. https://doi.org/10.3390/cryst15040327

Chicago/Turabian Style

Guo, Shimin, Hui Ma, Xirong Bao, Jia Sun, Xuejiao Tang, and Xiaodong Wang. 2025. "The Cooling Phase Transition Behavior of 30MnNbRE Steel Studied Based on TMCP" Crystals 15, no. 4: 327. https://doi.org/10.3390/cryst15040327

APA Style

Guo, S., Ma, H., Bao, X., Sun, J., Tang, X., & Wang, X. (2025). The Cooling Phase Transition Behavior of 30MnNbRE Steel Studied Based on TMCP. Crystals, 15(4), 327. https://doi.org/10.3390/cryst15040327

Note that from the first issue of 2016, this journal uses article numbers instead of page numbers. See further details here.

Article Metrics

Back to TopTop