Mössbauer and Optical Investigations on Sr Doped M-Type BaFe12O19 Hexaferrites Produced via Autocombustion
Abstract
1. Introduction
2. Experimental
3. Results and Discussion
3.1. Structural and Mössbauer Studies
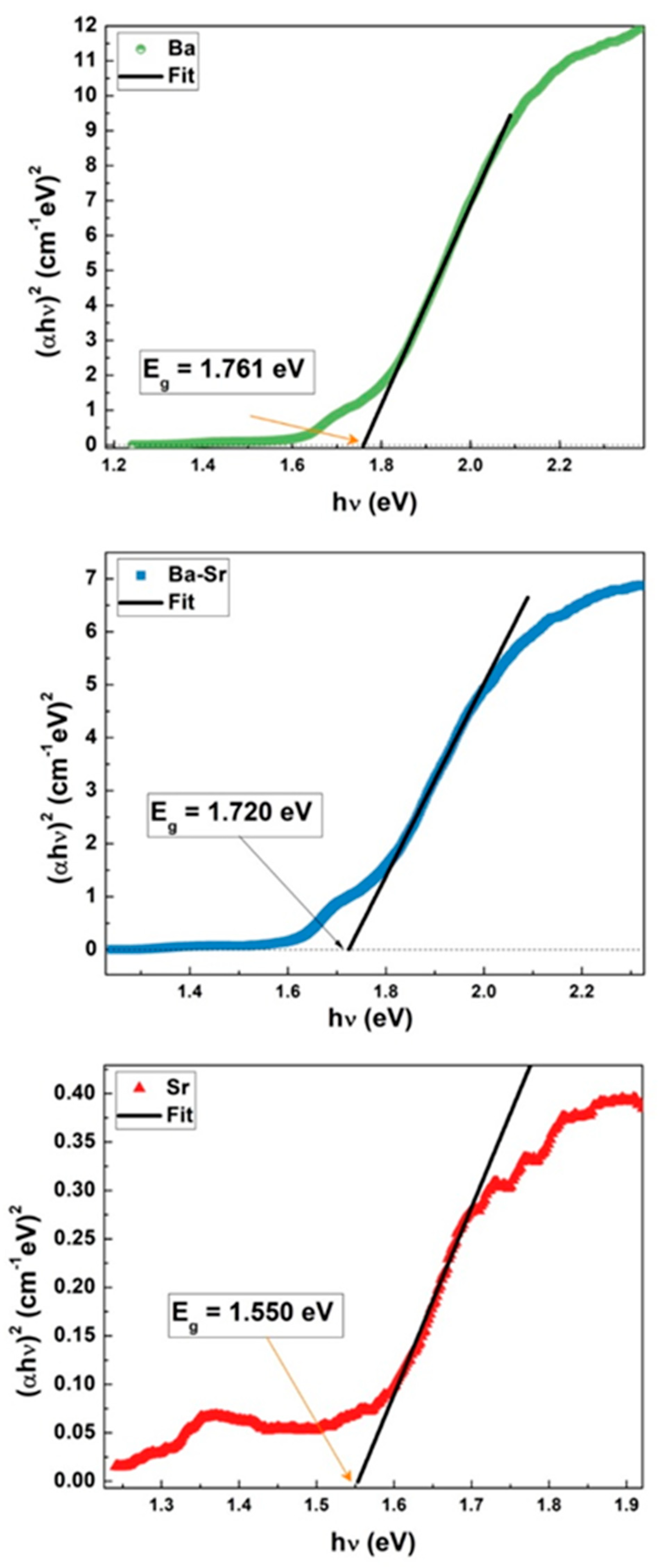
3.2. Optical Studies
4. Conclusions
Author Contributions
Funding
Data Availability Statement
Acknowledgments
Conflicts of Interest
References
- Albanese, G.; Watts, B.E.; Leccabue, F.; Castanon, S.D. Mössbauer and magnetic studies of PbFe12−xCrxO19 hexagonal ferrites. J. Magn. Magn. Mater. 1998, 184, 337–343. [Google Scholar] [CrossRef]
- Ounnunkada, S.; Winotai, P. Properties of Cr-substituted M-type barium ferrites prepared by nitrate–citrate gel-autocombustion process. J. Magn. Magn. Mater. 2006, 301, 292–300. [Google Scholar] [CrossRef]
- Slimani, Y.; Baykal, A.; Manikandan, A. Effect of Cr3+ substitution on AC susceptibility of Ba hexaferrite nanoparticles. J. Magn. Magn. Mater. 2018, 458, 204–212. [Google Scholar] [CrossRef]
- Slimani, Y.; Almessiere, M.A.; Baykal, A. AC susceptibility study of Cu substituted BaFe12O19 nanohexaferrites. Ceram. Int. 2018, 44, 13097–13105. [Google Scholar] [CrossRef]
- Almessiere, M.A.; Slimani, Y.; Baykal, A. Exchange spring magnetic behavior of Sr0.3Ba0.4Pb0.3Fe12O19/(CuFe2O4)x nanocomposites fabricated by a one-pot citrate sol-gel combustion method. J. Alloys Compd. 2018, 762, 389–397. [Google Scholar] [CrossRef]
- Almessiere, M.A.; Slimani, Y.; El Sayed, H.S.; Baykal, A. Ce-Y co-substituted strontium nanohexaferrites: AC susceptibility and Mössbauer studies. Ceram. Int. 2018, 44, 12520–12527. [Google Scholar] [CrossRef]
- Wohlfarth, E.P. (Ed.) Ferromagnetic Materials; North-Holland Publ. Co.: Amsterdam, The Netherlands, 1982. [Google Scholar] [CrossRef]
- Bañuelos-Frías, A.; Martínez-Guajardo, G.; Alvarado-Perea, L.; Canizalez-Dávalos, L.; Ruiz, F.; Valero-Luna, C. Light absorption properties of mesoporous barium hexaferrite, BaFe12O19. Mater. Lett. 2019, 252, 239–243. [Google Scholar] [CrossRef]
- Banihashemi, V.; Ghazi, M.E.; Izadifard, M. Dual Ca–Zn substituted strontium hexaferrite; investigation of structural, magnetic and optical properties. Phys. B Condens. Matter 2021, 605, 412670. [Google Scholar] [CrossRef]
- Mohammed, J.; Suleiman, A.B.; Carol, T.T.T.; Hafeez, H.Y.; Sharma, J.; Maji, P.K.; Kumar, S.G.; Srivastava, A.K. Enhanced dielectric and optical properties of nanoscale barium hexaferrites for optoelectronics and high frequency application. Chin. Phys. B 2018, 27, 128104. [Google Scholar] [CrossRef]
- Asiri, S.; Amir, M.; Güner, S.; Gungunes, H.; Batoo, K.M.; Sertkol, M.; Imran, A. Structural, Optical and Mössbauer Study of Ba1−xCuxFe12O19 (0.5 ≤ x) Nano Hexaferrites. J. Inorg. Organomet. Polym. Mater. 2018, 28, 1446–1456. [Google Scholar] [CrossRef]
- Jayakumar, T.; Raja, C.R.; Arumugam, S. Elucidation of structural, optical, and magnetic properties of Cd/Ni-doped strontium hexaferrite. J. Mater. Sci. Mater. Electron. 2020, 31, 16308–16313. [Google Scholar] [CrossRef]
- Nishkala, K.R.; Rao, R.R.; Mutalik, S.; Daivajna, M.D. Effect of La substitution on the structural and chemical properties of Barium hexaferrite via Mossbauer spectroscopy. Hyperfine Interact. 2023, 244, 7. [Google Scholar] [CrossRef]
- Trukhanov, A.V.; Trukhanov, S.V.; Panina, L.V. Effect of In substitution on structural, magnetic, and Mössbauer properties of M-type hexaferrites. Ceram. Int. 2018, 44, 11676–11680. [Google Scholar] [CrossRef]
- Marouani, Y.; Massoudi, J.; Noumi, M.; Benali, A.; Dhahri, E.; Sanguino, P.; Graça, M.P.F.; Valente, M.A.; Costa, B.F.O. Electrical conductivity and dielectric properties of Sr doped M-type barium hexaferrite BaFe12O19. RSC Adv. 2021, 11, 1531. [Google Scholar] [CrossRef] [PubMed]
- Marouani, Y.; Mabrouki, A.; Dhahri, R.; Dhahri, E.; Costa, B.F.O. Experimental and theoretical studies of structural, magnetic and electronic properties of Ba1−xSrxFe12O19 (x = 0, 0.5, 1) hexaferrites. Inorg. Chem. Com. 2022, 136, 109163. [Google Scholar] [CrossRef]
- Brand, R.A. Normos Mössbauer Fitting Program v.90; Wissel GMbH: Stanberg, Germany, 1994. [Google Scholar]
- Law, D.P.; Blakeney, A.B.; Tkachuk, R. The Kubelka–Munk Equation: Some Practical Considerations. J. Near Infrared Spectrosc. 1996, 4, 189–193. [Google Scholar] [CrossRef]
- Pullar, R.C. Hexagonal ferrites: A review of the synthesis, properties and applications of hexaferrite ceramics. Prog. Mater. Sci. 2012, 57, 1191. [Google Scholar] [CrossRef]
- Raghuram, N.; Rao, T.S.; Naidu, C.B. Investigations on functional properties of hydrothermally synthesized Ba1−xSrxFe12O19 (x = 0.0–0.8) nanoparticles. Mater. Sci. Semicond. Process. 2019, 94, 136–150. [Google Scholar] [CrossRef]
- Silva, W.M.S.; Ferreira, N.S.; Soares, J.M. Investigation of structural and magnetic properties of nanocrystalline Mn-doped SrFe12O19 prepared by proteic sol–gel process. J. Magn. Magn. Mater. 2015, 395, 263–270. [Google Scholar] [CrossRef]
- Auwal, I.A.; Korkmaz, A.D.; Amir, M.D.; Asiri, S.M.; Baykal, A.; Gungunes, H.; Shistah, S.E. Mössbauer analysis and cation distribution of Zn substituted BaFe12O19 Hexaferrites. J. Sup. Nov. Magn. 2018, 31, 151–156. [Google Scholar] [CrossRef]
- Choudhary, H.K.; Kumar, R.; Anupama, A.V.; Sahoo, B. Effect of annealing temperature on the structural and magnetic properties of Ba-Pb-hexaferrite powders synthesized by sol-gel auto-combustion method. Ceram. Int. 2018, 44, 8877–8889. [Google Scholar] [CrossRef]
- Evans, B.J.; Grandjean, F.; Lilot, A.P.; Vogel, R.H.; Gerard, A. 57Fe hyperfine interactions parameters and selected magnetic properties of high purity MFe12O19 (M = Sr, Ba). J. Magn. Magn. Mater. 1987, 67, 123–129. [Google Scholar] [CrossRef]
- Baykal, A.; Yokuş, S.; Güner, S.; Güngüneş, H.; Sözeri, H.; Amir, M. Magneto-optical properties and Mössbauer Investigation of BaxSryPbzFe12O19 Hexaferrites. Ceram. Int. 2017, 43, 3475–3482. [Google Scholar] [CrossRef]
- Mohammed, J.; Sharma, J.; Yerima, K.U.; Carol, T.T.; Basandrai, D.; Kumar, A.; Maji, P.K.; Srivastava, A.K. Magnetic, Mössbauer and Raman spectroscopy of nanocrystalline Dy3+-Cr3+ substituted barium hexagonal ferrites. Phys. B 2020, 585, 412115. [Google Scholar] [CrossRef]
- Lechevalier, L.; Le Breton, J.M.; Wang, J.F.; Harris, I.R. Structural analysis of hydrothermally synthesized Sr1−xSmxFe12O19. J. Magn. Magn. Mater. 2004, 269, 192–196. [Google Scholar] [CrossRef]
- Karmakar, M.; Mondal, B.; Pal, M.; Mukherjee, K. Acetone and ethanol sensing of barium hexaferrite particles: A case study considering the possibilities of non-conventional hexaferrite sensor. Sens. Actuators B Chem. 2014, 190, 627–633. [Google Scholar] [CrossRef]
- Thirupathy, C.; Lims, S.C.; Sundaram, S.J.; Mahmoud, A.H.; Kaviyarasu, K. Equilibrium synthesis and magnetic properties of BaFe12O19/NiFe2O4 nanocomposite prepared by co precipitation method. J. King Saud Univ. Sci. 2020, 32, 1612–1618. [Google Scholar] [CrossRef]
- Subramanyam, G.; Rao, N.K.; Daivajna, M.D. La3+-Induced Band-Gap Modifications in Barium Hexaferrite: An Investigation of the Structural, Optical, and Dielectric Properties. Eng. Proc. 2023, 55, 94. [Google Scholar] [CrossRef]
- Ohtani, B. Photocatalysis A to Z—What we know and what we do not know in a scientific sense. J. Photochem. Photobiol. C Photochem. Rev. 2010, 11, 157–178. [Google Scholar] [CrossRef]
- Kisch, H. (Ed.) Semiconductor photocatalysis. In Semiconductor Photocatalysis: Principles and Applications; Wiley-VCH Verlag GmbH & Co. KGaA: Weinheim, Germany, 2014. [Google Scholar] [CrossRef]
- Güner, S.; Baykal, A.; Amir, M.; Güngüneş, H.; Geleri, M.; Sözeri, H.; Shirsath, S.E.; Sertkol, M. Synthesis and characterization of oleylamine capped MnxFe1−xFe2O4 nanocomposite: Magneto-optical properties, cation distribution and hyperfine interactions. J. Alloys Comp. 2016, 688 Pt A, 675–686. [Google Scholar] [CrossRef]
- Basha, D.B.; Kumar, N.S.; Naidu, K.C.B.; Kumar, G.R. Structural, electrical, and magnetic properties of nano Sr1−xLaxFe12O19 (x = 0.2–0.8). Sci. Rep. 2022, 12, 12723. [Google Scholar] [CrossRef]
- Sekhar, D.C.; Rao, T.S.; Naidu, K.C.B. Hexagonal microstructure, magnetic and dielectric properties of iron deficient BaNixZnxFe12-xO19 (x = 0.0–0.5) hexaferrites. Appl. Phys. A 2021, 127, 841. [Google Scholar] [CrossRef]
- Saqib, M.; Ali, S.S.; Zulqarnain, M.; Qadri, M.U.; Riaz, M.; Hasan, M.S.; Khan, M.I.; Tahir, M.; Arshad, M.I.; Rani, H.S. Temperature-Dependent Variations in Structural, Magnetic, and Optical Behavior of Doped Ferrites Nanoparticles. J. Supercond. Nov. Magn. 2021, 34, 609–616. [Google Scholar] [CrossRef]
- Baykal, A.; Güner, S.; Demir, A. Synthesis and magneto-optical properties of triethylene glycol stabilized Mn1−xZnxFe2O4 nanoparticles. J. Alloys Comp. 2015, 619, 5–11. [Google Scholar] [CrossRef]







| Sample | Ms (emu/g) | Mr (emu/g) | Hc (kOe) |
|---|---|---|---|
| x = 0.0 | 89.74 | 29.70 | 1.498 |
| x = 0.5 | 94.81 | 31.06 | 1.568 |
| x = 1.0 | 98.32 | 35.78 | 1.892 |
| Sample | Fe Site and Spins Guidelines | Structural Blocks | δ (mm/s) | Δ (mm/s) | B (T) | W (mm/s) | RA (%) | RA* (%) |
|---|---|---|---|---|---|---|---|---|
| BaFe12O19 | 12k ↑ | R-S | 0.36 (1) | 0.42 (1) | 42.0 (1) | 0.35 (1) | 43.3 (2) | 46 |
| 4f1 ↓ | S | 0.28 (1) | 0.20 (1) | 49.7 (1) | 0.36 (1) | 21.0 (4) | 22 | |
| 4f2 ↓ | R | 0.44 (1) | 0.09 (1) | 52.3 (1) | 0.30 (1) | 18.3 (5) | 20 | |
| 2a ↑ | S | 0.25 (1) | −0.04 (1) | 52.3 (1) | 0.26 (1) | 8.7 (6) | 9 | |
| 2b ↑ | R | 0.31 (1) | 2.21 (1) | 40.7 (1) | 0.25 (1) | 3.1 (1) | 3 | |
| Hematite | 0.39 (2) | −0.20 (1) | 52.1 (1) | 0.30 (1) | 5.6 (1) | |||
| Ba0.5Sr0.5Fe12O19 | 12k ↑ | R-S | 0.36 (1) | 0.41 (1) | 42.1 (1) | 0.33 (1) | 44.6 (1) | 46 |
| 4f1 ↓ | S | 0.28 (1) | 0.17 (1) | 49.9 (1) | 0.35 (1) | 20.2 (3) | 21 | |
| 4f2 ↓ | R | 0.44 (1) | 0.13 (1) | 52.4 (1) | 0.32 (1) | 19.4 (5) | 20 | |
| 2a ↑ | S | 0.25 (1) | −0.06 (1) | 52.3 (1) | 0.25 (1) | 8.9 (6) | 9 | |
| 2b ↑ | R | 0.31 (1) | 2.26 (1) | 40.9 (1) | 0.26 (1) | 3.8 (1) | 4 | |
| Hematite | 0.38 (1) | −0.21 (1) | 52.0 (1) | 0.28 (1) | 3.1 (1) | |||
| SrFe12O19 | 12k ↑ | R-S | 0.36 (1) | 0.40 (1) | 41.9 (1) | 0.32 (1) | 48.0 (1) | 49 |
| 4f1 ↓ | S | 0.27 (1) | 0.18 (1) | 49.7 (1) | 0.28 (1) | 17.1 (1) | 18 | |
| 4f2 ↓ | R | 0.40 (1) | 0.34 (1) | 52.4 (1) | 0.29 (1) | 17.6 (2) | 18 | |
| 2a ↑ | S | 0.31 (1) | −0.01 (1) | 51.4 (1) | 0.28 (1) | 8.6 (2) | 9 | |
| 2b ↑ | R | 0.31 (1) | 2.26 (1) | 41.3 (1) | 0.28 (1) | 5.9 (1) | 6 | |
| Hematite | 0.39 (1) | −0.20 (1) | 52.1 (1) | 0.29 (1) | 2.8 (1) |
Disclaimer/Publisher’s Note: The statements, opinions and data contained in all publications are solely those of the individual author(s) and contributor(s) and not of MDPI and/or the editor(s). MDPI and/or the editor(s) disclaim responsibility for any injury to people or property resulting from any ideas, methods, instructions or products referred to in the content. |
© 2025 by the authors. Licensee MDPI, Basel, Switzerland. This article is an open access article distributed under the terms and conditions of the Creative Commons Attribution (CC BY) license (https://creativecommons.org/licenses/by/4.0/).
Share and Cite
Costa, B.F.O.; Benali, A.; Vieira, B.J.C.; Waerenborgh, J.C.; Pina, J.; Marouani, Y.; Dhahri, E. Mössbauer and Optical Investigations on Sr Doped M-Type BaFe12O19 Hexaferrites Produced via Autocombustion. Crystals 2025, 15, 291. https://doi.org/10.3390/cryst15040291
Costa BFO, Benali A, Vieira BJC, Waerenborgh JC, Pina J, Marouani Y, Dhahri E. Mössbauer and Optical Investigations on Sr Doped M-Type BaFe12O19 Hexaferrites Produced via Autocombustion. Crystals. 2025; 15(4):291. https://doi.org/10.3390/cryst15040291
Chicago/Turabian StyleCosta, Benilde F. O., Adel Benali, Bruno J. C. Vieira, João C. Waerenborgh, João Pina, Yousra Marouani, and Essebti Dhahri. 2025. "Mössbauer and Optical Investigations on Sr Doped M-Type BaFe12O19 Hexaferrites Produced via Autocombustion" Crystals 15, no. 4: 291. https://doi.org/10.3390/cryst15040291
APA StyleCosta, B. F. O., Benali, A., Vieira, B. J. C., Waerenborgh, J. C., Pina, J., Marouani, Y., & Dhahri, E. (2025). Mössbauer and Optical Investigations on Sr Doped M-Type BaFe12O19 Hexaferrites Produced via Autocombustion. Crystals, 15(4), 291. https://doi.org/10.3390/cryst15040291

