Tb3+-Doped LGS Crystals: Crystal Growth and Electro-Elastic Features
Abstract
1. Introduction
2. Experimental Section
2.1. Polycrystal Powder Synthesis and Crystal Growth
2.2. Characterizations
2.3. Evaluation of Electro-Elastic Constants
3. Results
3.1. Crystal Structure, Quality, and Segregation Coefficient
3.2. Fluorescence Properties
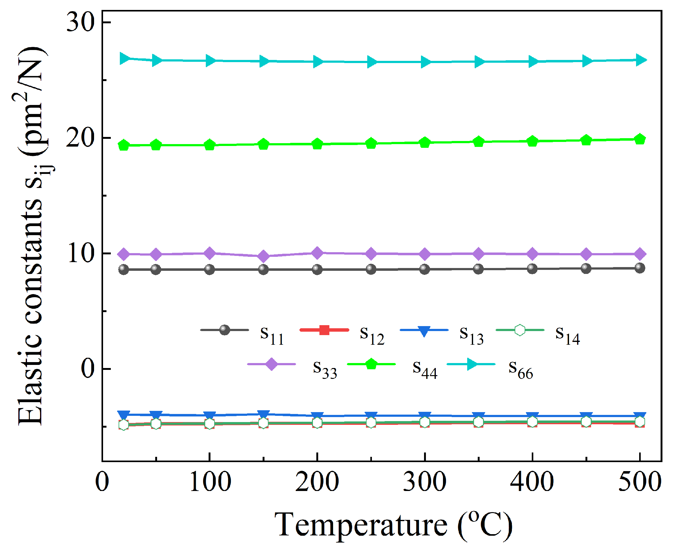
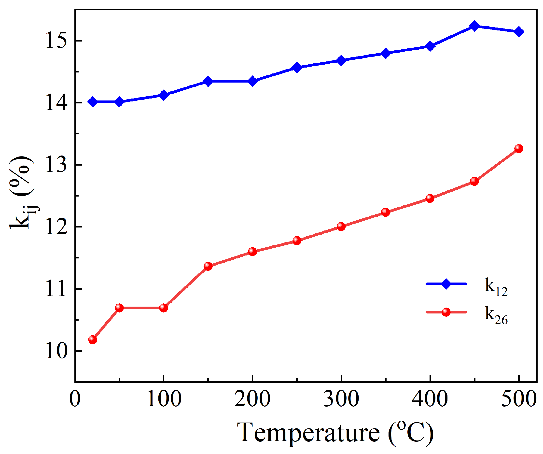
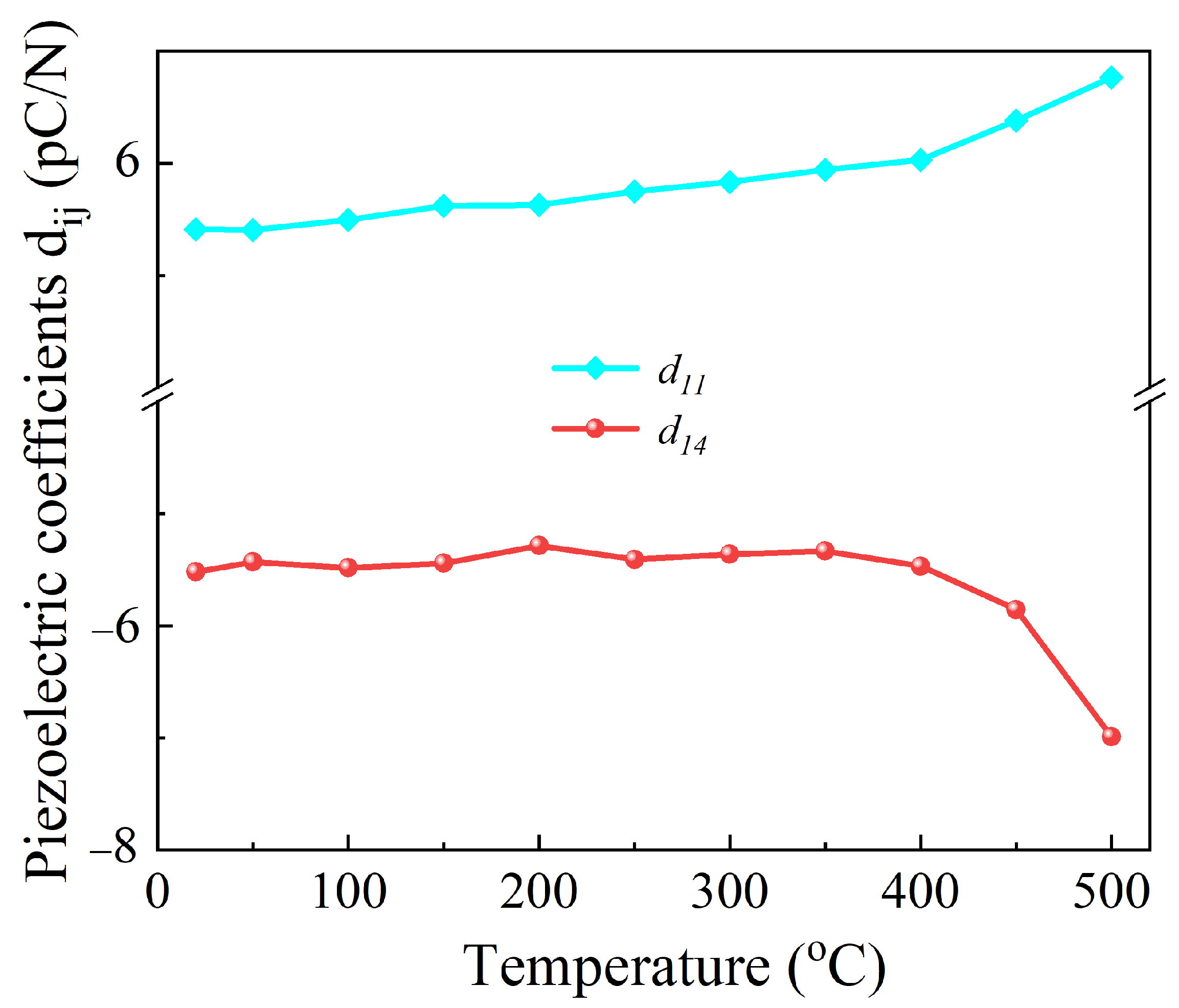
3.3. Electro-Elastic Properties and Temperature Stability
4. Conclusions
Author Contributions
Funding
Data Availability Statement
Conflicts of Interest
References
- Trolier-McKinstry, S.; Zhang, S.; Bell, A.J.; Tan, X. High-Performance Piezoelectric Crystals, Ceramics, and Films. Annu. Rev. Mater. Res. 2018, 48, 191–217. [Google Scholar] [CrossRef]
- Lan, H.; Liang, F.; Lin, Z.; Yu, H.; Zhang, H.; Wang, J. Langasite Family Midinfrared Nonlinear Optical Oxide Materials: Structure, Property, and Applications. Int. J. Optics 2017, 2017, 2980274. [Google Scholar] [CrossRef]
- Kong, H.; Wang, J.; Zhang, H.; Yin, X. Growth and characterization of La3Ga5.5Nb0.5O14 crystal. J. Cryst. Growth 2006, 292, 408–411. [Google Scholar] [CrossRef]
- Nehari, A.; Alombert-Goget, G.; Benamara, O.; Cabane, H.; Dumortier, M.; Jeandel, P. Czochralski crystal growth and characterization of large langatate (La3Ga5.5Ta0.5O14, LGT) crystals for saw applications. CrystEngComm 2019, 21, 1764–1771. [Google Scholar] [CrossRef]
- Chen, F.; Yu, F.; Hou, S.; Liu, Y.; Zhou, Y.; Shi, X.; Wang, H.; Wang, Z.; Zhao, X. Crystal growth and characterization of CTGS and Nd: CTGS for self-frequency-doubling applications. CrystEngComm 2014, 16, 10286–10291. [Google Scholar] [CrossRef]
- Yokota, Y.; Sato, M.; Tota, K.; Kurosawa, S.; Onodera, K.; Yoshikawa, A. Effects of growth atmosphere on crystal growth and optical properties for Ca3NbGa3Si2O14 single crystals. Ferroelectrics 2013, 449, 147–153. [Google Scholar] [CrossRef]
- Wang, Z.; Yuan, D.; Shi, X.; Cheng, X.; Xu, D.; Lv, M.; Pan, L. Study on the growth and characterization of Sr3TaGa3Si2O14 single crystals. J. Alloys Compd. 2004, 373, 287–290. [Google Scholar] [CrossRef]
- Shen, H.; Xu, J.; Wu, A.; Jin, M. Growth and thermal properties of Sr3NbGa3Si2O14 single crystals. J. Cryst. Growth 2011, 318, 836–838. [Google Scholar] [CrossRef]
- Yin, X.; Wang, J.; Zhang, S. La3Ga5SiO14 Single-Crystal Q Switch Used as an Electro-Optic Device. Appl. Opt. 2003, 42, 7188–7190. [Google Scholar] [CrossRef]
- Liang, X.; Zhang, L.; Tan, Q.; Cheng, W.; Hu, D.; Li, S.; Jing, L.; Xiong, J. Temperature, Pressure, and Humidity SAW Sensor Based on Coplanar Integrated LGS. Microsyst. Nanoeng. 2023, 9, 110. [Google Scholar] [CrossRef]
- Nagmani, A.K.; Behera, B. A Review on High Temperature Piezoelectric Crystal La3Ga5SiO14 for Sensor Applications. IEEE Trans. Ultrason. Ferroelectr. Freq. Control 2022, 69, 918–931. [Google Scholar] [CrossRef] [PubMed]
- Xue, T.; Xu, F.; Tan, Q.; Yan, X.; Liang, X. LGS-Based SAW Sensor That Can Measure Pressure up to 1000 °C. Sens. Actuators A Phys. 2022, 334, 113315. [Google Scholar] [CrossRef]
- Buryy, O.; Demyanyshyn, N.M.; Mytsyk, B.G.; Andrushchak, A.S.; Sugak, D. Acousto-Optic Interaction in LGS and CTGS Crystals. Opt. Contin. 2022, 1, 1314–1323. [Google Scholar] [CrossRef]
- Pei, G.; Ma, B.; Ye, T.; Zhang, Z.; Zhao, K.; Deng, J.; Ramakrishna, S.; Luo, J. Single crystal-single crystal bonding of langasite exhibited high strength of 23.28 MPa. J. Mater. Sci. Technol. 2023, 160, 139–147. [Google Scholar] [CrossRef]
- Sun, Y. Characteristic Research of La3Ga5SiO14 in Q-switched Laser. In Proceedings of the 2015 International Conference on Advanced Engineering Materials and Technology, Guangzhou, China, 22–23 August 2015; Advances in Engineering Research. Atlantis Press: Dordrecht, The Netherlands, 2015; Volume 38, pp. 916–919. [Google Scholar] [CrossRef][Green Version]
- Taishi, T.; Hayashi, T.; Bamba, N.; Ohno, Y.; Yonenaga, I.; Hoshikawa, K. Oxygen defects in langasite (La3Ga5SiO14) single crystal grown by vertical Bridgman (VB) method. Phys. B Condens. Matter 2007, 401, 437–440. [Google Scholar] [CrossRef]
- Lu, G.; Li, C.; Wang, W.; Wang, Z.; Wang, Z.; Yuan, D.; Xia, H. Raman scattering spectra of La3Ga5SiO14 (LGS) crystals. Phys. Status Solidi B 2004, 241, 439–446. [Google Scholar] [CrossRef]
- Quan, C.; Sun, D.; Luo, J.; Zhang, H.; Zhao, X.; Hu, L.; Han, Z.; Dong, K.; Cheng, M. LGS electro-optically Q-switched Er, Pr: YAP crystal laser operated at 2.7 µm. Opt. Contin. 2020, 3, 522–559. [Google Scholar] [CrossRef]
- Kaminskii, A.A.; Sarkisov, S.É.; Mill’, B.V.; Khodzhabagyan, G.G. Generation of Stimulated Emission of Nd3+ ions in a Trigonal Acentric La3Ga5SiO14 Crystal. Dokl. Phys. 1982, 27, 403. [Google Scholar]
- Kaminskii, A.A.; Mill, B.V.; Khodzhabagyan, G.G.; Konstantinova, A.F.; Okorochkov, A.I.; Silvestrova, I.M. Investigation of Trigonal (La1-xNdx)3Ga5SiO14 Crystals. I. Growth and Optical Properties. Phys. Status Solidi A 1983, 80, 387–398. [Google Scholar] [CrossRef]
- Kaminskii, A.A.; Silvestrova, I.M.; Sarkisov, S.E.; Denisenko, G.A. Investigation of Trigonal (La1-xNdx)3Ga5SiO14 Crystals. II. Spectral Laser and Electromechanical Properties. Phys. Status Solidi A 1983, 80, 607–620. [Google Scholar] [CrossRef]
- Sil’vestrova, I.M.; Pisarevskii, Y.V.; Senyushchenkov, P.A.; Krupnyi, A.I. Temperature dependences of the elastic properties of La3Ga5SiO14single crystals. Sov. Phys. Solid State 1986, 28, 1613–1614. [Google Scholar]
- Shimamura, K.; Takeda, H.; Kohno, T.; Fukuda, T. Growth and characterization of lanthanum gallium silicate La3Ga5SiO14 single crystals for piezoelectric applications. J. Cryst. Growth 1996, 163, 388–392. [Google Scholar] [CrossRef]
- Zhang, J.; Jin, H.; Dong, S.; Ding, R.; Chen, J.; Xuan, W.; Gao, F.; Luo, J. Surface Acoustic Wave Strain Sensor With Ultra-Thin Langasite. IEEE Sens. J. 2022, 22, 11509–11516. [Google Scholar] [CrossRef]
- ANSI/IEEE Std 176-1987; IEEE Standard on Piezoelectricity. IEEE: Piscataway, NJ, USA, 1988. [CrossRef]









| Crystal Cuts | Vibration Modes | Material Constants | Related Equations |
|---|---|---|---|
| X plate (a) | / | ||
| Z plate (c) | / | ||
| XY plate (d) | Length extension | ||
| XYt/45° plate (f) | Length extension | d14 | |
| XYt/−45° plate (h) | Length extension | together with XYt/45° | |
| XYt/−30° plate (e) | Length extension | ||
| XYt/85° plate (g) | Length extension | ||
| Y plate (b) | Face shear | ||
| Thickness shear |
| Empirical Formula | La2.7Tb0.3Ga5SiO14 |
|---|---|
| Formula weight (g·mol−1) | 1023.42 |
| Temperature (K) | 293.00 |
| Crystal system | trigonal |
| Space group | P321 |
| a (Å) | 8.1537(4) |
| b (Å) | 8.1537(4) |
| c (Å) | 5.0916(4) |
| Volume (Å3) | 293.15(4) |
| Z | 1 |
| F (000) | 454.0 |
| Goodness of fit on F2 | 1.162 |
| Final R indexes [I >= 2σ (I)] | R1 = 0.0145, wR2 = 0.0349 |
| Final R indexes [all data] | R1 = 0.0146, wR2 = 0.0350 |
| La | Ga | O | Si | Tb | |
|---|---|---|---|---|---|
| Standard (wt%) | 36.65 | 34.06 | 21.89 | 2.74 | 4.66 |
| Sample (wt%) | 39.73 | 32.87 | 22.21 | 2.66 | 2.52 |
| keff | 1.084 | 0.965 | 1.015 | 0.970 | 0.541 |
| Relative dielectric permittivities, / | |||||||
| Tb:LGS | 19.60 | 52.75 | |||||
| LGS | 19.2 | 50.7 | |||||
| Piezoelectric charge coefficients, dij (pC/N) | |||||||
| d11 | d14 | ||||||
| Tb:LGS | 5.41 | −5.52 | |||||
| LGS | 6.15 | −6.01 | |||||
| Elastic compliance constants, (pm2/N) | |||||||
| Tb:LGS | 8.60 | −4.84 | −3.96 | −4.83 | 9.93 | 19.35 | 26.88 |
| LGS | 8.86 | −4.24 | −1.79 | −3.48 | 5.19 | 20.32 | 26.19 |
| Electromechanical coupling coefficients, kij (%) | |||||||
| k12 | k26 | ||||||
| Tb:LGS | 14.01 | 10.18 | |||||
| LGS | 16 | 13.4 | |||||
Disclaimer/Publisher’s Note: The statements, opinions and data contained in all publications are solely those of the individual author(s) and contributor(s) and not of MDPI and/or the editor(s). MDPI and/or the editor(s) disclaim responsibility for any injury to people or property resulting from any ideas, methods, instructions or products referred to in the content. |
© 2025 by the authors. Licensee MDPI, Basel, Switzerland. This article is an open access article distributed under the terms and conditions of the Creative Commons Attribution (CC BY) license (https://creativecommons.org/licenses/by/4.0/).
Share and Cite
Zhang, N.; Wu, J.; Zhang, H.; Chen, F.; Yu, F.; Sun, L.; Zhao, X. Tb3+-Doped LGS Crystals: Crystal Growth and Electro-Elastic Features. Crystals 2025, 15, 269. https://doi.org/10.3390/cryst15030269
Zhang N, Wu J, Zhang H, Chen F, Yu F, Sun L, Zhao X. Tb3+-Doped LGS Crystals: Crystal Growth and Electro-Elastic Features. Crystals. 2025; 15(3):269. https://doi.org/10.3390/cryst15030269
Chicago/Turabian StyleZhang, Nianlong, Jipeng Wu, Hengyuan Zhang, Feifei Chen, Fapeng Yu, Li Sun, and Xian Zhao. 2025. "Tb3+-Doped LGS Crystals: Crystal Growth and Electro-Elastic Features" Crystals 15, no. 3: 269. https://doi.org/10.3390/cryst15030269
APA StyleZhang, N., Wu, J., Zhang, H., Chen, F., Yu, F., Sun, L., & Zhao, X. (2025). Tb3+-Doped LGS Crystals: Crystal Growth and Electro-Elastic Features. Crystals, 15(3), 269. https://doi.org/10.3390/cryst15030269

