On Modeling X-Ray Diffraction Intensity Using Heavy-Tailed Probability Distributions: A Comparative Study
Abstract
1. Introduction
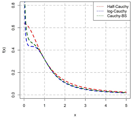
2. The Candidate Probabilistic Models for Intensity
2.1. The Half-Cauchy Distribution
2.2. The Log-Cauchy Distribution
2.3. The Cauchy Birnbaum–Saunders Distribution
3. Parameter Estimation Methodologies
3.1. Maximum Likelihood Estimation
3.2. Maximum Product of Spacings
4. Intensity Data Analysis
5. Monte Carlo Simulation Study
6. Conclusions
Funding
Institutional Review Board Statement
Informed Consent Statement
Data Availability Statement
Acknowledgments
Conflicts of Interest
Appendix A. Mathematical Expressions
Appendix A.1. Half-Cauchy Distribution
Appendix A.2. log-Cauchy Distribution
Appendix A.3. Cauchy Birnbaum–Saunders Distribution
References
- Eckert, M. Disputed discovery: The beginnings of X-ray diffraction in crystals in 1912 and its repercussions. Z. Krist. 2012, 227, 27–35. [Google Scholar] [CrossRef]
- Scherrer, P. Determination of Crystallite Size and Strain Using X-Ray Diffraction; Springer: Berlin/Heidelberg, Germany, 1918. [Google Scholar]
- Waseda, Y.; Matsubara, E.; Shinoda, K. X-Ray Diffraction Crystallography: Introduction, Examples and Solved Problems; Springer: Berlin/Heidelberg, Germany, 2011. [Google Scholar] [CrossRef]
- Lee, A.; Brown, M. Quantitative Deviation of Nanocrystals Using the RIR Method in X-ray Diffraction. Nanomaterials 2022, 12, 2320. [Google Scholar] [CrossRef]
- Green, S.; Patel, R. Applications of X-ray Powder Diffraction Microstructural Analysis to Clay Minerals. Minerals 2023, 14, 584. [Google Scholar] [CrossRef]
- Disha, S.A.; Sahadat Hossain, M.; Habib, M.L.; Ahmed, S. Calculation of crystallite sizes of pure and metals doped hydroxyapatite engaging Scherrer method, Halder-Wagner method, Williamson-Hall model, and size-strain plot. Results Mater. 2024, 21, 100496. [Google Scholar] [CrossRef]
- Alam, M.K.; Hossain, M.S.; Bahadur, N.M.; Ahmed, S. A comparative study in estimating of crystallite sizes of synthesized and natural hydroxyapatites using Scherrer Method, Williamson-Hall model, Size-Strain Plot and Halder-Wagner Method. J. Mol. Struct. 2024, 1306, 137820. [Google Scholar] [CrossRef]
- Lim, J.S.; Yam, F.K. Structural parameters of CVD synthesized Ga2O3 nanostructures from X-ray diffraction analysis derived by Scherrer, Williamson-Hall, Size-Strain Plot and Halder-Wagner methods–A comparative study. Phys. B Condens. Matter 2025, 699, 416798. [Google Scholar] [CrossRef]
- Abramo, M.C.; Costa, D.; Malescio, G.; Munaò, G.; Pellicane, G.; Prestipino, S.; Caccamo, C. Structure factors and X-ray diffraction intensities in molten alkali halides. J. Phys. Commun. 2020, 4, 075017. [Google Scholar] [CrossRef]
- Chen, W.; Kumar, A. Advantages of Using Hard X-ray Photons for Ultrafast Diffraction Studies of Crystals. Photonics 2023, 10, 948. [Google Scholar] [CrossRef]
- Ameh, E.S.; Martinez, C. A review of basic crystallography and X-ray diffraction applications. Int. J. Adv. Manuf. Technol. 2019, 105, 3289–3302. [Google Scholar] [CrossRef]
- Zhang, X.M.; Zheng, X.; Li, X.L.; Meng, F.Q.; Yin, S.S. A method with ultra-high angular resolution for X-ray diffraction experiments. J. Synchrotron Radiat. 2024, 31, 35–41. [Google Scholar] [CrossRef] [PubMed]
- Salgado, J.E.; Lerman, S.; Du, Z.; Xu, C.; Abdolrahim, N. Automated classification of big X-ray diffraction data using deep learning models. npj Comput. Mater. 2023, 9, 214. [Google Scholar] [CrossRef]
- Szymanski, N.J.; Fu, S.; Persson, E.; Ceder, G. Integrated analysis of X-ray diffraction patterns and pair distribution functions for machine-learned phase identification. npj Comput. Mater. 2024, 10, 45. [Google Scholar] [CrossRef]
- Racioppi, S.; Otero-de-la Roza, A.; Hajinazar, S.; Zurek, E. Powder X-ray diffraction assisted evolutionary algorithm for crystal structure prediction. Digit. Discov. 2025, 4, 73–83. [Google Scholar] [CrossRef]
- Kleiner, I. Evolution of the Function Concept: A Brief Survey. Coll. Math. J. 1989, 20, 282–300. [Google Scholar] [CrossRef]
- Johnson, N.L.; Kotz, S.; Balakrishnan, N. Continuous Univariate Distributions, 2nd ed.; Wiley: Hoboken, NJ, USA, 1994; Volume 1. [Google Scholar]
- Johnson, N.L.; Kotz, S.; Balakrishnan, N. Continuous Univariate Distributions, 2nd ed.; Wiley: Hoboken, NJ, USA, 1994; Volume 2. [Google Scholar]
- Foss, S.; Korshunov, D.; Zachary, S. An Introduction to Heavy-Tailed and Subexponential Distributions; Springer Series in Operations Research and Financial Engineering; Springer: Berlin/Heidelberg, Germany, 2013. [Google Scholar] [CrossRef]
- Resnick, S.I. Heavy-Tailed Distributions and Their Properties. In Extreme Values, Regular Variation, and Point Processes; Springer: Berlin/Heidelberg, Germany, 2013; pp. 1–45. [Google Scholar] [CrossRef]
- Suhov, Y.; Kelbert, M. Heavy-Tailed and Long-Tailed Distributions. In An Introduction to Heavy-Tailed and Subexponential Distributions; Springer: Berlin/Heidelberg, Germany, 2014; Chapter 2; pp. 25–50. [Google Scholar] [CrossRef]
- Suhov, Y.; Kelbert, M. Heavy-Tailed Probability Distributions: Some Examples of Their Use. Mathematics 2023, 11, 3094. [Google Scholar] [CrossRef]
- Vogel, R.M.; Papalexiou, S.M.; Lamontagne, J.R.; Dolan, F.C. When Heavy Tails Disrupt Statistical Inference. Am. Stat. 2024. [Google Scholar] [CrossRef]
- Stojanović, V.S.; Jovanović Spasojević, T.; Bojičić, R.; Pažun, B.; Langović, Z. Cauchy–Logistic Unit Distribution: Properties and Application in Modeling Data Extremes. Mathematics 2025, 13, 255. [Google Scholar] [CrossRef]
- Liu, F.; Lu, C.; Zhao, Y.; Jiang, C.; Yuan, Z.; Shi, T.; Su, B. Severe Plastic Deformation of Bulk Polycrystalline Beryllium at Room Temperature. SSRN 2025. [Google Scholar] [CrossRef]
- Abdul Razzaq, A.H. Analytical Study Using X-Ray Diffraction Methods and Hardness Test for Lead-Tin Alloy. Iraqi J. Sci. 2012, 53, 322–329. [Google Scholar]
- Polson, N.G.; Scott, J.G. On the Half-Cauchy Prior for a Global Scale Parameter. Bayesian Anal. 2012, 7, 887–902. [Google Scholar] [CrossRef]
- Jaya, I.G.N.M.; Kristiani, F.; Andriyana, Y.; Chadidjah, A. Sensitivity Analysis on Hyperprior Distribution of the Variance Components in Bayesian Spatiotemporal Disease Mapping. Mathematics 2023, 12, 451. [Google Scholar] [CrossRef]
- Lemmens, J.; Matthys, P.; Vandewalle, J. Modeling with the Log-Cauchy Distribution: Analyzing Heavy-Tailed Data. Ann. Oper. Res. 2004, 135, 111–123. [Google Scholar] [CrossRef][Green Version]
- Yin, Z.Y.; Peng, S.L.; Ren, H.; Guo, Q.; Chen, Z.H. LogCauchy, log-sech and lognormal distributions of species abundances in forest communities. Ecol. Model. 2005, 184, 329–340. [Google Scholar] [CrossRef]
- Birnbaum, Z.; Saunders, S. A new family of life distributions. J. Appl. Probab. 1969, 6, 319–327. [Google Scholar] [CrossRef]
- Birnbaum, Z.W.; Saunders, S.C. Estimation for a Family of Life Distributions with Applications to Fatigue. J. Appl. Probab. 1969, 6, 328–347. [Google Scholar] [CrossRef]
- Desmond, A. Stochastic models of failure in random environments. Can. J. Stat. 1985, 13, 171–183. [Google Scholar] [CrossRef]
- Balakrishnan, N.; Kundu, D. Birnbaum-Saunders distribution: A review of models, analysis, and applications. Appl. Stoch. Model. Bus. Ind. 2019, 35, 4–49. [Google Scholar] [CrossRef]
- Diáz-Garciá, J.A.; Leiva-Sánchez, V. A new family of life distributions based on the elliptically contoured distributions. J. Statist. Plann. Inference 2005, 128, 445–457, Erratum in J. Stat. Plan. Inference 2007, 137, 1512–1513. [Google Scholar] [CrossRef]
- Wang, R.; Xu, X.; Gu, B. Statistical Analysis of two-Parameter Generalized Birnbaum-Saunders Cauchy Distribution. J. Appl. Anal. Comput. 2020, 10, 1614–1635. [Google Scholar] [CrossRef]
- Alam, F.M.A. On Comparing Different Methods of Estimation for the Parameters of a Pathological Distribution with Application to Climate Data. Austrian J. Stat. 2022, 51, 120–147. [Google Scholar] [CrossRef]
- Yoshioka, S.; Murakami, T.; Kuroiwa, Y.; Kimura, S. Analysis of X-ray powder diffraction data using the maximum likelihood method for cubic and tetragonal systems. J. Am. Ceram. Soc. 2000, 83, 1777–1781. [Google Scholar] [CrossRef]
- Toraya, H. An analytical method for observed powder diffraction intensity data based on maximum likelihood estimation. Adv. X-ray Anal. 1994, 37, 189–199. [Google Scholar]
- Hansen, L.P. Large Sample Properties of Generalized Method of Moments Estimators. Econometrica 1982, 50, 1029. [Google Scholar] [CrossRef]
- Hosking, J.R.M. L-Moments: Analysis and Estimation of Distributions Using Linear Combinations of Order Statistics. J. R. Stat. Soc. Ser. B Stat. Methodol. 1990, 52, 105–124. [Google Scholar] [CrossRef]
- Cheng, R.C.H.; Amin, N.A.K. Maximum product-of-spacings estimation with applications to the lognormal distribution. In Technical Report 1; University of Wales IST, Department of Mathematics: Cardiff, Wales, 1979. [Google Scholar]
- Cheng, R.C.H.; Amin, N.A.K. Estimating Parameters in Continuous Univariate Distributions with a Shifted Origin. J. R. Stat. Soc. Ser. B (Methodol.) 1983, 45, 394–403. [Google Scholar] [CrossRef]
- Ranneby, B. The Maximum Spacing Method. An Estimation Method Related to the Maximum Likelihood Method. Scand. J. Stat. 1984, 11, 93–112. [Google Scholar]
- Ghosh, K.; Jammalamadaka, S. A general estimation method using spacings. J. Stat. Plan. Inference 2001, 93, 71–82. [Google Scholar] [CrossRef]
- Kateri, M.; Nikolov, N.I. Maximum Product of Spacings Estimator Under Type-I Censoring with an Application to a Step-Stress Model with Weibull Lifetimes. IEEE Trans. Reliab. 2024, 54, 375–383. [Google Scholar] [CrossRef]
- Larsen, P. Operational risk models and asymptotic normality of maximum likelihood estimation. J. Oper. Risk 2016, 11, 55–78. [Google Scholar] [CrossRef]
- R Core Team. R: A Language and Environment for Statistical Computing; R Foundation for Statistical Computing: Vienna, Austria, 2024. [Google Scholar]
- Nocedal, J.; Wright, S.J. Numerical Optimization; Springer: New York, NY, USA, 2006. [Google Scholar] [CrossRef]
- Byrd, R.H.; Lu, P.; Nocedal, J.; Zhu, C. A Limited Memory Algorithm for Bound Constrained Optimization. SIAM J. Sci. Comput. 1995, 16, 1190–1208. [Google Scholar] [CrossRef]
- Zhu, C.; Byrd, R.H.; Lu, P.; Nocedal, J. Algorithm 778: L-BFGS-B: Fortran Subroutines for Large-Scale Bound-Constrained Optimization. ACM Trans. Math. Softw. 1997, 23, 550–560. [Google Scholar] [CrossRef]
- Self, S.G.; Liang, K.Y. Asymptotic Properties of Maximum Likelihood Estimators and Likelihood Ratio Tests under Nonstandard Conditions. J. Am. Stat. Assoc. 1987, 82, 605–610. [Google Scholar] [CrossRef]
- Casella, G.; Berger, R.L. Statistical Inference, 2nd ed.; Duxbury Press: Belmont, CA, USA, 2002. [Google Scholar]
- Kolmogorov, A. Sulla determinazione empirica di una legge di distribuzione. G. Dell’Istituto Ital. Degli Attuari 1933, 4, 83–91. [Google Scholar]
- Smirnov, N. Table for Estimating the Goodness of Fit of Empirical Distributions. Ann. Math. Stat. 1948, 19, 279–281. [Google Scholar] [CrossRef]
- Anderson, T.W.; Darling, D.A. Asymptotic Theory of Certain "Goodness-of-Fit" Criteria Based on Stochastic Processes. Ann. Math. Stat. 1952, 23, 193–212. [Google Scholar] [CrossRef]
- Cramér, H. On the Composition of Elementary Errors. Scand. Actuar. J. 1928, 1928, 13–74. [Google Scholar] [CrossRef]
- von Mises, R. Wahrscheinlichkeit, Statistik und Wahrheit; Julius Springer: Vienna, Austria, 1928. [Google Scholar]
- Efron, B.; Tibshirani, R.J. An Introduction to the Bootstrap; Chapman and Hall/CRC: Boca Raton, FL, USA, 1994. [Google Scholar]
- Davison, A.C.; Hinkley, D.V. Bootstrap Methods and Their Applications; Cambridge University Press: Cambridge, UK, 1997. [Google Scholar]
- Chernick, M.R. Bootstrap Methods: A Guide for Practitioners and Researchers, 2nd ed.; Wiley-Interscience: Hoboken, NJ, USA, 2008. [Google Scholar]
- Murage, P.; Mungátu, J.; Odero, E. Optimal Threshold Determination for the Maximum Product of Spacing Methodology with Ties for Extreme Events. Open J. Model. Simul. 2019, 07, 149–168. [Google Scholar] [CrossRef]
- Akaike, H. A new look at the statistical model identification. IEEE Trans. Autom. Control 1974, 19, 716–723. [Google Scholar] [CrossRef]
- Schwarz, G.E. Estimating the Dimension of a Model. Ann. Stat. 1978, 6, 461–464. [Google Scholar] [CrossRef]
- Gupta, R.D.; Kundu, D. Generalized exponential distribution: Different method of estimations. J. Stat. Comput. Simul. 2001, 69, 315–337. [Google Scholar] [CrossRef]
- Alkasasbeh, M.R.; Raqab, M.Z. Estimation of the generalized logistic distribution parameters: Comparative study. Stat. Methodol. 2009, 6, 262–279. [Google Scholar] [CrossRef]
- Mazucheli, J.; Louzada, F.; Ghitany, M. Comparison of estimation methods for the parameters of the weighted Lindley distribution. Appl. Math. Comput. 2013, 220, 463–471. [Google Scholar] [CrossRef]
- do Espirito Santo, A.; Mazucheli, J. Comparison of estimation methods for the Marshall–Olkin extended Lindley distribution. J. Stat. Comput. Simul. 2014, 85, 3437–3450. [Google Scholar] [CrossRef]
- Balakrishnan, N.; Alam, F.M.A. Maximum likelihood estimation of the parameters of Student’s t Birnbaum-Saunders distribution: A comparative study. Commun. Stat. Simul. Comput. 2019, 51, 793–822. [Google Scholar] [CrossRef]
- Nassar, M.; Okasha, H.; Albassam, M. E-Bayesian Estimation and Associated Properties of Simple Step–Stress Model for Exponential Distribution Based on Type-II Censoring. Qual. Reliab. Eng. Int. 2021, 37, 997–1016. [Google Scholar] [CrossRef]
- Alam, F.M.A.; Nassar, M. On Modeling Concrete Compressive Strength Data Using Laplace Birnbaum-Saunders Distribution Assuming Contaminated Information. Crystals 2021, 11, 830. [Google Scholar] [CrossRef]
- Moloy, D.J.; Ali, M.A.; Alam, F.M.A. Modeling Climate data using the Quartic Transmuted Weibull Distribution and Different Estimation Methods. Pak. J. Stat. Oper. Res. 2023, 19, 649–669. [Google Scholar] [CrossRef]
- Alosaimi, B.S.; Alam, F.M.; Baaqeel, H.M. Modeling Air Pollution Data Using a Generalized Birnbaum-Saunders Distribution with Different Estimation Procedures. In Mathematical Modeling in Physical Sciences; Springer: Cham, Switzerland, 2024; pp. 587–618. [Google Scholar] [CrossRef]











| Data | Minimum | Median | Maximum | MAD | ||
|---|---|---|---|---|---|---|
| Intensity | 13 | 36.25 | 73.5 | 171.25 | 1482 | 70.4235 |
| Integrated Intensity | 42 | 193.8 | 364.5 | 681 | 8106 | 364.7196 |
| Model | Method | KS | p-Value | AD | p-Value | CvM | p-Value | ||
|---|---|---|---|---|---|---|---|---|---|
| HCA | MLE | 13 | 65.316 | 0.078 | 0.823 | 0.731 | 0.846 | 0.035 | 0.817 |
| MPS | 9.916 | 72.580 | 0.069 | 0.917 | 0.314 | 0.651 | 0.040 | 0.677 | |
| LCA | MLE | 13 | 62.011 | 0.111 | 0.451 | 0.675 | 0.342 | 0.073 | 0.479 |
| MPS | 12.753 | 65.154 | 0.110 | 0.573 | 0.717 | 0.391 | 0.073 | 0.594 | |
| CBS | MLE | 13 | 61.033 | 0.091 | 0.677 | 0.654 | 0.511 | 0.053 | 0.626 |
| MPS | 11.943 | 65.618 | 0.095 | 0.622 | 0.502 | 0.485 | 0.052 | 0.639 |
| Model | Method | KS | p-Value | AD | p-Value | CvM | p-Value | ||
|---|---|---|---|---|---|---|---|---|---|
| HCA | MLE | 42 | 344.446 | 0.074 | 0.875 | 0.710 | 0.939 | 0.030 | 0.891 |
| MPS | 25.669 | 384.754 | 0.097 | 0.436 | 0.292 | 0.703 | 0.045 | 0.601 | |
| LCA | MLE | 42 | 345.985 | 0.098 | 0.636 | 0.657 | 0.356 | 0.076 | 0.462 |
| MPS | 41.417 | 372.070 | 0.102 | 0.680 | 0.744 | 0.374 | 0.088 | 0.516 | |
| CBS | MLE | 42 | 340.019 | 0.080 | 0.839 | 0.617 | 0.609 | 0.050 | 0.646 |
| MPS | 37.582 | 370.683 | 0.098 | 0.572 | 0.494 | 0.491 | 0.061 | 0.525 |
| Data | Model | ℓ | AIC | BIC |
|---|---|---|---|---|
| Intensity | HCA | −235.35 | 474.69 | 477.97 |
| LCA | −241.29 | 486.59 | 489.86 | |
| CBS | −238.74 | 481.47 | 484.75 | |
| Integrated | HCA | −294.22 | 592.43 | 595.71 |
| Intensity | LCA | −299.82 | 603.65 | 606.92 |
| CBS | −297.22 | 598.44 | 601.71 |
Disclaimer/Publisher’s Note: The statements, opinions and data contained in all publications are solely those of the individual author(s) and contributor(s) and not of MDPI and/or the editor(s). MDPI and/or the editor(s) disclaim responsibility for any injury to people or property resulting from any ideas, methods, instructions or products referred to in the content. |
© 2025 by the author. Licensee MDPI, Basel, Switzerland. This article is an open access article distributed under the terms and conditions of the Creative Commons Attribution (CC BY) license (https://creativecommons.org/licenses/by/4.0/).
Share and Cite
Alam, F.M.A. On Modeling X-Ray Diffraction Intensity Using Heavy-Tailed Probability Distributions: A Comparative Study. Crystals 2025, 15, 188. https://doi.org/10.3390/cryst15020188
Alam FMA. On Modeling X-Ray Diffraction Intensity Using Heavy-Tailed Probability Distributions: A Comparative Study. Crystals. 2025; 15(2):188. https://doi.org/10.3390/cryst15020188
Chicago/Turabian StyleAlam, Farouq Mohammad A. 2025. "On Modeling X-Ray Diffraction Intensity Using Heavy-Tailed Probability Distributions: A Comparative Study" Crystals 15, no. 2: 188. https://doi.org/10.3390/cryst15020188
APA StyleAlam, F. M. A. (2025). On Modeling X-Ray Diffraction Intensity Using Heavy-Tailed Probability Distributions: A Comparative Study. Crystals, 15(2), 188. https://doi.org/10.3390/cryst15020188
