Abstract
{CdO/ZnO}m superlattices (SLs) have been grown on c-plane sapphire substrates by plasma-assisted molecular beam epitaxy (PA-MBE). The observation of satellite peaks in the XRD studies of the as-grown and annealed samples confirms the presence of a periodic superlattice structure. The properties of as-grown and annealed SLs deposited on c-oriented sapphire were investigated by transmission electron microscopy, X-ray diffraction and temperature dependent PL studies. The deformation of the SLs structure was observed after rapid thermal annealing. As the thermal annealing temperature increases, the diffusion of Cd ions from the quantum well layers into the ZnO barrier increases. The formation of CdZnO layers causes changes in the luminescence spectrum in the form of peak shifts, broadening and changes in the spacing of the satellite peaks visible in X-ray analysis.
1. Introduction
Zinc oxide (ZnO) is a well-studied semiconductor characterized by a wide band gap energy (3.31 eV) and high exciton binding energy (60 meV) at room temperature [1]. This material is actively used in optoelectronics e.g., in UV-emitting devices [2,3,4,5], lasers [6,7,8], gas sensors [9,10], solar cells [11,12,13,14] and others [15]. In order to extend the functionality of ZnO-based devices, methods for modifying this material are currently being actively investigated. Some of the methods used to modify the physical properties of ZnO are the synthesis of ternary alloys (ZnxMg1−xO, ZnxCd1−xO etc.) and quantum structures (e.g., heterostrucures, multi quantum wells and superlattices) [16,17,18]. For this reason, ZnxCd1−xO ternary alloys have been investigated in the last few decades [19,20,21,22,23], which makes it possible to reduce the band gap from 3.3 eV to 1.9 eV. Band gap narrowing is possible due to the unique properties of CdO, which has a direct band gap of 2.2–2.6 eV and two indirect band gaps at 0.8–1.3 eV [19]. However, the deposition of high-quality ZnxCd1−xO films is complicated due to the problem of phase separation. The difference in the crystalline thermodynamically stable phases of ZnO (wurtzite) and CdO (rock salt) causes a limited equilibrium molar solubility of CdO in wurtzite ZnO-host lattice [24]. To solve the problem of phase separation with high Cd concentration [25], it has been proposed to fabricate heterostructures [26,27], multi-quantum wells (MQWs) [28,29,30,31] and superlattices (SLs) [32,33], which can act as quasi-ternary alloys.
Quantum structures can be used in devices operating at high temperatures as a key element in innovative optoelectronics [34]. Because of this, it is necessary to investigate the effect of temperature on the optical and structural properties of the ZnxCd1−xO ternary alloys. For example, Thompson et al. studied the thermal stability of CdZnO/ZnO heterostructures grown on c-plane Al2O3 sapphire substrates annealed at temperatures from 350 to 750 °C in a nitrogen (N2) atmosphere and reported that MQWs consisted of five periods of CdZnO/ZnO that are stable at temperatures below 650 °C for up to 15 min [35] Azarov at el. observed that Cd diffusion in the CdZnO/ZnO heterostructure begins at 600 °C, and, at higher temperatures, leads to significant Cd evaporation through the surface [36]. Previously, we revealed Cd diffusion after annealing of the {ZnO/CdO}m SLs grown at different temperatures on m-plane sapphire at 900 °C for 5 min in an oxygen atmosphere [37]. Moreover, we noted an inhomogeneous Cd depth distribution, which depended on the thickness of the CdO sublayers in the samples.
The c-plane Al2O3 substrate is most often used for the growing of ZnO layers and quantum structures [38,39,40]. Moreover, it was reported that CdO layers on c-plane sapphire have better quality in comparison to layers grown on other sapphire orientations [41]. Therefore, in this work, we investigated the structural and optical properties of {ZnO/CdO}30 SLs annealed at various temperatures (500–900 °C) deposited on c-planar Al2O3 substrate grown by plasma-assisted molecular beam epitaxy (PA-MBE). On the other hand, it is also important to understand the effect of temperature annealing on the stability of these SLs structures. Lots of semiconducting devices are exploited at elevated temperatures and when in contact with oxygen. Testing in such conditions allows for the simulation of real working environments and assessment of long-term stability in a much shorter time.
2. Materials and Methods
The {ZnO/CdO}30 superlattices were grown on c-plane (00.1) sapphire (Al2O3) substrate using plasma-assisted molecular beam epitaxy (PA-MBE Riber Compact 21 system). Chemical purification of the Al2O3 substrates took place in a mixture of H2SO4:H2O2 (1:1) for 5 min. The substrates were then rinsed with deionized water and dried with pure nitrogen gas. Thermal cleaning of the substrates was carried out in the loading chamber for 1 h at a temperature of 150 °C in a vacuum (~10−5 Torr). The Al2O3 substrates were then cleaned in the growth chamber in a high vacuum (~10−9 Torr) for 1 h at 700 °C, and then in an oxygen plasma (gas flow was 3 sccm., power of the oxygen cell was 400 W) for 30 min. During the growth process, the radio-frequency (RF) power of the oxygen plasma was fixed at 400 W, and the pure 6N O2 gas flow rate was 3 sccm. The Zn flux was 8.8 × 10−7 Torr and Cd flux was 1.5 × 10−7 Torr. The ZnO layer was deposited on the cleaned c-plane Al2O3 substrate at a temperature of 500 °C for 6 min, and then a CdO layer was deposited for 1 min. The number of sublayers repetitions was 30 and the superlattice structure ended with a 10 min ZnO-cap layer. In order to maintain a good experimental procedure, we grew exactly four samples (1 × 1 cm2 size) in the same growing process (thanks to specially designed holders). One of these samples was then cut into 4 pieces and each piece was annealed at a pre-set/planned temperature, and all XRD, PL and TEM analyses were measured on exactly the same pieces.
After growth, the {ZnO/CdO}30 SLs were subsequently annealed by the rapid thermal annealing method (RTA, AccuThermo AW610 from Allwin21 Inc. Morgan Hill, CA, USA) for 5 min in an oxygen (O2) atmosphere at various temperatures, i.e., 500, 600, 700 and 900 °C.
Structural studies of the as-deposited and annealed {ZnO/CdO}30 SLs were performed with a Panalytical X’Pert Pro MRD High Resolution Diffractometer (HR-XRD) using a Cu Kα1 radiation. The diffractometer is equipped with a hybrid two-bounce Ge (220) monochromator, a triple-bounce Ge (220) analyzer, and two detectors: proportional and Pixcel. The diffraction θ/2θ patterns were collected over 30–100° with a step size of 0.02° in low angular resolution mode. Next, high angular resolution mode was used for 2θ/ϖ scans detection. In this mode, the Ga (220) analyzer was used in front of the detector.
The samples were also studied by conventional and high-resolution transmission electron microscopy (HRTEM) performed on a Titan 80-300 Cube Cs image-corrected microscope operating at 300 kV. The cross-sectional specimens were prepared using the focused ion beam technique.
The photoluminescence properties of as-grown and annealed samples were measured by a He-Cd 325 nm UV as an excitation source, the signal was dispersed with spectrometer Jobin Yvon SPEX 750M Arcueil, France, which, after dispersion, was acquired via a Hamamatsu R375 photomultiplier at temperatures within the 8–290 (±0.1) K range. Cooling took place in a liquid continuous He flow cryostat in which temperature was controlled via an Oxford Instruments controller. The excitation beam was focused on the subjected structures at 3 mm2 surface and chopped with optical chopper at 114 Hz before the spectrometer’s entrance slit. The signal was filtered with a ThorLabs FGL495S New Jersey (USA) filter when it was justified.
3. Results
3.1. TEM Analysis
TEM observations (high-angle annular dark-field scanning transmission electron microscopy (HAADF/STEM) images on Figure 1a,c and the Fourier transform on Figure 1b) revealed a layered structure of the sample, the quality of which deteriorated with the distance from the substrate. Based on the measurements of the width of the bright stripes in the HAADF/STEM images, the period of the superlattice was determined to be 27 ± 5 nm, while the thickness of the CdO layers was estimated to be 3 ± 1 nm.
Figure 1.
(a) Cross-sectional HAADF/STEM image of as-grown {ZnO/CdO}30 SL. (b) Fourier transform of Figure 1a, where white arrows indicate the positions of spatial frequencies corresponding to the SL periodicity. (c) HAADF/STEM cross section at higher magnification. The enlarged area of SL shows the thickness of the CdO and ZnO layers.
3.2. X-Ray Analysis
Figure 2 shows full-range X-ray diffraction patterns of {ZnO/CdO}30 SLs deposited on c-plane Al2O3 before and after annealing at different temperatures. The sharp diffraction 00.2 and 00.4 peaks, corresponding to the hexagonal wurtzite structure of the ZnO (JCPDC 00-005-0664), are visible. Thus, all {ZnO/CdO}30 SLs are characterized by a predominant orientation along [00.1] crystallographical direction, which indicates that all samples are oriented along the c axis. It is known that the c-orientation of ZnO and ZnCdO films are preferred due to the low surface free energy, which was previously observed for Zn(Cd)O samples grown on various substrates (glass, silicon, Al2O3, etc.) [42,43]. Moreover, the c-orientation of sapphire also determines a 00.1 orientation of ZnO layers. In the XRD patterns, substrate signals of sapphire 00.6 and 00.12 peaks were noted in all samples (JCPDS Card 00-050-0792). Diffraction peaks associated with CdO cubic phase were not detected on XRD scans.
Figure 2.
X-ray diffraction θ/2θ scans of as-grown and annealed {ZnO/CdO}30 SLs deposited on c-plane Al2O3 substrate (black vertical dotted lines correspond to the peak positions of wurtzite ZnO (JCPDS Card 00-005-0664), whereas * indicates the peaks originated from the c-plane Al2O3 substrate (JCPDS Card 00-050-0792).
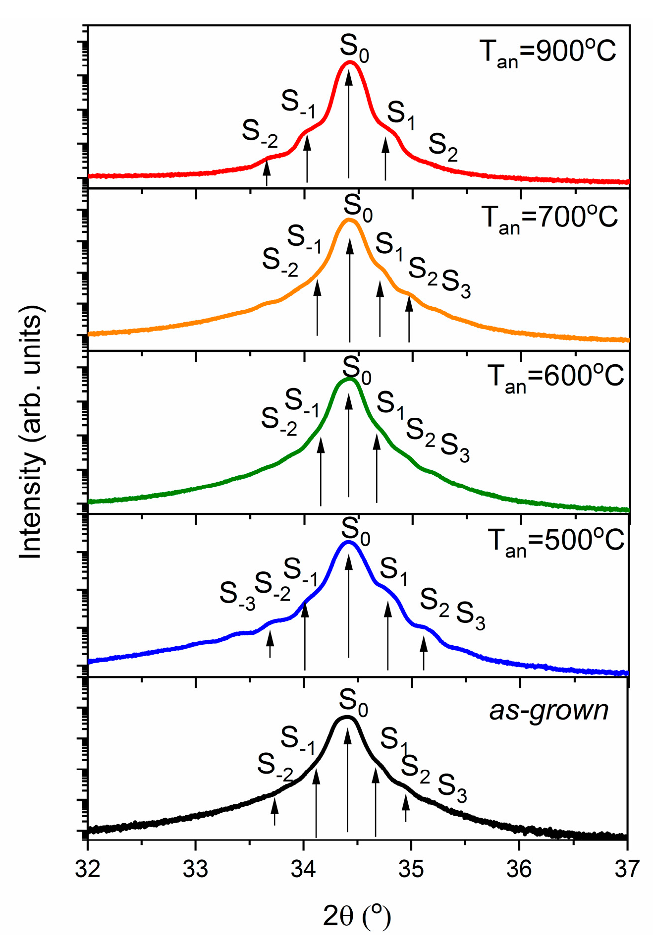
Figure 3 shows high resolution XRD 2θ/ϖ scans of the 00.2 {ZnO/CdO} SL peaks for all of the samples. The 00.2 {ZnO/CdO} SLs zero-order reflections () and higher orders satellite peaks (, etc.) are associated with superlattice structures. Visible oscillations in these X-ray data are evidence of a periodic structure (superlattices). This type of measurement is sensitive to the presence of a periodic structure with slightly different values of the lattice constant. Satellite peaks were previously observed in the case of good quality oxide superlattices {ZnO/CdO} and {CdO/MgO} deposited by MBE on m-plane Al2O3 substrate [44]. Low intensive satellite peaks were observed in all samples. Satellite peaks were broadened in the sample annealed at 900 °C. The changes in the quality of the superlattices annealed at 900 °C can be explained e.g., by the migration of Cd atoms and, as a result, the degradation of the ZnO/CdO interfaces.
Figure 3.
High resolution XRD 2θ/ϖ scans of the 00.2 {ZnO/CdO} SL peaks. The XRD experimental data are shown as solid lines.
The average lattice parameters are calculated from 00.2 peaks position using the quadratic equation for hexagonal structure [45] and listed in Table 1:
where is is the spacing of the crystal planes (hkl represents Miller indices). It was determined from the Bragg equation:
where is X-ray wavelength of the Cu Kα line ( = 1.54056 Å) and is the Bragg diffraction angle. The lattice constants calculated for the obtained samples are almost equal to the lattice constants given in the standard data for ZnO (, JCPDS 00-005-0664). For random ternary alloys, a slight increase in the lattice parameters is associated with the incorporation of the Cd2+ ion into the Zn2+ host lattice. The ionic radius of Cd2+ is equal to 0.97 Å and greater than Zn2+ (0.74 Å) [46]. When Cd2+ replaces Zn2+ in the ZnO host lattice, a change in lattice constants is expected, due to the difference in ionic radii [24,47]. In the case of SLs, the changes of average lattice parameters can be associated with sublattice thickness [48]. The dependence between the parameter and the annealing temperature can be explained by changes in the thickness of the sublayers and, in case of annealing at high temperatures, also by the diffusion of Cd and Zn at the CdO/ZnO interfaces [49,50]. Moreover, the thermal expansion coefficients for ZnO are given as αa = 4.31 × 10−6 K−1 and αc = 2.49 × 10−6 K−1 at 300 K and, additionally, it was a non-linear function of temperature [51]. For CdO, the thermal expansion coefficient is 4.445 × 10−5 K−1 [52], which also changes nonlinearly with temperature, provided that the thermal expansion coefficients are valid for bulk materials. In the case of the structures under consideration, we are dealing with superlattices consisting of 30 periods, so the evaluation of the thermal expansion of the lattices for the analyzed periodic structure is not as trivial as for bulk materials.
Table 1.
Structural parameters of the investigated {ZnO/CdO}30 SLs, where is the average lattice constant, hZnO and hCdO values of the thickness of ZnO and CdO sublattices are obtained using TEM. The growth time of ZnO layers was 6 min, whereas 1 min for CdO layers.
3.3. Optical Studies
The results of low-temperature PL measurements for as-grown and annealed {ZnO/CdO}30 SLs are presented in Figure 4a. In case of as-grown and annealed at 500 °C, 600 °C and 700 °C samples, the peaks located at 3.368 eV are most intensive. It was shown that the ZnO peak at 3.368 eV comes from an exciton bounded to neutral donors (D0X) [53,54]. The probability of radiative recombination, where an electron in the conduction band annihilates a hole in the valence band and releases the excess energy as a photon, is higher for direct semiconductors than for indirect semiconductors. In these {CdO/ZnO} superlattice structures, because of the direct bang gap for ZnO and, most probably, the indirect bang gap for stabile cubic phase of CdO, the luminescence mainly comes from thicker ZnO sublayers [33,37,55].
Figure 4.
(a) Normalized PL spectra of as-grown and annealed {ZnO/CdO}30 SLs measured at ~10 K. Temperature-dependent PL spectra of SLs annealed at different temperatures: (b) as-grown structure; annealed structure at: (c) 500 °C, (d) 600 °C, (e) 700 °C and (f) 900 °C.
In order to better identify the lines in the PL spectra, luminescence studies were carried out as a function of temperature. The temperature-dependent measurements for as-grown and annealed {ZnO/CdO}30 SLs were performed between 10 and 290 K (Figure 4b–f). As seen in Figure 4b–e, an increase in temperature leads to a shift in the dominant D0X peak towards lower energies, and then its disappearance at temperatures above ~100 K. The free exciton emission (FX) appears on the higher energy side of the D0X peak, the intensity of which increases with increasing temperature and begins to prevail over the intensity of D0X line at temperatures above 70 K [56,57,58]. The observed peak positions and their temperature-dependent behavior are typical for structures based on ZnO [4,57,58].
The FX peak position, as a function of temperature, can be well described by the Varshni equation (black dotted lines in Figure 4) [59]:
where is free exciton transition energy, is Varshini parameter, is approximated to be the Debye temperature and is the value of the band gap at T = 0 K. The same fitting parameter, was used for all samples [60,61]. All the fitting was performed with the assumption that the binding energy of the exciton is 60 meV, which is true for bulk ZnO. However, for quantum structures, this value can be higher [58]. But, the 16.5 ± 3 nm thick of ZnO barrier in the investigated samples can be regarded in this context as a bulk [62]. Therefore, the calculation of the Eg(0) values may be subject to some error, but the temperature dependence of the position of the FX peak is still well described by Equation (3). The obtained fitting parameters are presented in Table 2.
Table 2.
Parameters (α, —donor localization energy, Eb and —donor binding and acceptor binding energies) obtained from fitted data of temperature-dependent PL, as well as energy band gap ( at 0 K) values.
Using Equations (3) and (4), the donor localization energy was calculated by the formula [63]:
where is the energy of excitons bound to neutral donors and EFX(T) is the temperature dependence of the free exciton described by the Varshni formula (fitting visible as red dotted lines in Figure 5). Using luminescence experiments, the donor localization energies were determined as the difference between the recombination energy of the respective bound exciton lines and the free transversal exciton line. In the literature, the localization energy of excitons on donors in pure ZnO was about 11 meV [56], which is in good agreement with the obtained values presented in Table 2. From localization energy, the binding energy of neutral donors Eb can be calculated by applying the Haynes’ rule, assuming the following simple model for isolated impurities: Eb = (ED + a)/b, where a = 3.8 and b = 0.365. The obtained values of donor binding energies are similar to those obtained by Xiong et al. [64] for the ZnO single crystal, meV.
Figure 5.
Temperature-dependent energy position of the PL peaks observed in {ZnO/CdO}30 SLs annealed at different temperatures: (a) as-grown; (b) 500 °C; (c) 600 °C; and (d) 700 °C.
The peak, located at about 3.31–3.32 eV, can be associated with several recombination processes, namely free electrons-to-neutral-acceptor (FA) transitions, donor–acceptor pairs (DAP) recombination and the first longitudinal optical (LO) phonon replica of FX or D0X [65,66]. In our case, based on temperature-dependent behavior, for as-grown and annealed samples, this emission is interpreted as related to the FA recombination [59,67]. Based on this, the acceptors’ binding energy was estimated by fitting using the expression:
where is the Boltzmann constant. The obtained acceptors’ binding energies varies between 121 and 127 meV (Table 2). In the literature, the acceptors’ energy for pure ZnO films is estimated to be in the range of 185–320 meV [67,68].
Deep-level emission (DLE) low intensive band, from 2.4 to 3.1 eV, in ZnO, is usually associated with various native defects, namely oxygen vacancies (VO), zinc vacancies (VZn), oxygen interstitial, zinc interstitial, oxygen anti-site and zinc anti-site [61,69]. The most likely candidate for the green emission is the oxygen vacancy [42,53].
The analysis of Figure 4a showed that the emission of as-grown {ZnO/CdO}30 SLs is characteristic of pure ZnO films; therefore, signals from thin CdO sublayers have no effect on the optical properties of the sample. In the case of luminescence from the ZnCdO layers, the luminescence peaks shift to the more visible region, which is not observed for samples annealed in temperature up to 700 °C. Thus, we conclude that, for these samples, an annealing temperature up to 700 °C is not sufficient for effective Cd diffusion into the ZnO layers (Figure 4b–e). This finding seems to be in opposition to data reported by Stachowicz et al. [70] on interdiffusion characteristics in ZnCdO random alloys. The authors determined that effective long-term diffusion ranges are at considerably low annealing temperatures, though, one should keep in mind that this is true only for highly defected and porous materials, as the authors stated. So, in the case of subjected structures, it is justified to expect a much shorter range of Cd diffusion and a much higher diffusion activation temperature.
After annealing at 900 °C, the center of the UV peak shifted slightly to longer wavelengths: from 3.368 eV to 3.327 eV, and the near-band-edge emission (NBE), predominately. Li et al. observed a blue shift in the position of the NBE peak for ZnCdO samples after RTA at 800 °C in N2 atmosphere for 1 min [71]. After the annealing of the double heterostructure ZnO/Zn1−xCdxO/ZnO grown for 30 min in air at a temperature of 970 °C, the ZnO luminescence of donor-bound and free excitons disappeared, and a wide emission peak was observed [26]. Previously, for {ZnO/CdO}m SLs with different thicknesses of the sublayers, after RTP under the same conditions (at 900 °C in O2 atmosphere by 5 min), a decrease in the Cd concentration compared to the as-grown samples was noted from the analysis of secondary ion mass spectrometry (SIMS) measurements. For annealed SLs with wide CdO layers (9–10 nm), an inhomogeneous SIMS depth profiles of Cd was observed, with an increase in its concentration near the interface, and this was confirmed by depth-dependent cathodoluminescence (CL) measurements. The difference in the PL spectra before and after RTP at 900° C can be explained by the Cd diffusion into the ZnO layers, and, as a consequence, the formation of ZnCdO ternary alloys, as well as possible Cd evaporation through the surface [36]. The observed broadening of the spectral lines (Figure 4f) is also characteristic of the presence of ternary alloys. But, the observation of satellite peaks in XRD 2Ɵ/ϖ scans (Figure 3) provides information that the periodic structure of the SLs is still preserved.
4. Conclusions
The {ZnO/CdO} superlattices grown at 500 °C on c-plane sapphire were ex situ annealed by a rapid thermal annealing method in an oxygen atmosphere at various temperatures. The TEM analysis and the satellite peaks were well visible in HR-XRD, confirming the existence of a periodic structure. Diffraction studies have shown that the superlattice structure behaves for annealing up to 900 °C. Luminescence peaks in as-grown and annealed samples up to 700 °C are identified as characteristic of the ZnO layers. There is no significant change in luminescence for samples annealed up to 700 °C. However, annealing at 900 °C causes changes in the PL spectra. The observed changes in the position and width of a PL spectral peaks are characteristic of the presence of a mixed ZnCdO layer.
Author Contributions
Conceptualization, E.P.; methodology, A.W., E.P., M.S. and P.D.; software, E.P., A.W. and P.D.; investigation, A.L., A.W., M.S., J.S. and P.D.; writing—original draft preparation, A.L.; writing—review and editing, E.P., A.W., P.D. and M.S.; supervision, E.P. and A.W.; project administration, E.P.; funding acquisition, E.P. All authors have read and agreed to the published version of the manuscript.
Funding
This work was supported in part by the Polish National Science Center, Grants No. 2021/41/B/ST5/00216.
Data Availability Statement
The original contributions presented in the study are included in the article; further inquiries can be directed to the author.
Acknowledgments
The authors would like to thank Wojciech Woźniak for his technical support in the RTA process.
Conflicts of Interest
Author Ewa Przezdziecka has received research grants from the Polish National Science Center. Author Ewa Przezdziecka, Aleksandra Wierzbicka, Piotr Dłużewski and Anastasiia Lysak have received an honorarium from this grant. The funders had no role in the design of the study; in the collection, analyses, or interpretation of data; in the writing of the manuscript; or in the decision to publish the results.
References
- Klingshirn, C.F.; Waag, A.; Hoffmann, A.; Geurts, J. Zinc Oxide; Springer: Berlin/Heidelberg, Germany, 2010; ISBN 0898520479. [Google Scholar]
- Choi, Y.; Kang, J.; Hwang, D.; Park, S. Recent Advances in ZnO-Based Light-Emitting Diodes. IEEE Trans. Electron. Devices 2010, 57, 26–41. [Google Scholar] [CrossRef]
- Jha, S.; Qian, J.C.; Kutsay, O.; Kovac, J.; Luan, C.Y.; Zapien, J.A.; Zhang, W.; Lee, S.T.; Bello, I. Violet-Blue LEDs Based on p-GaN/n-ZnO Nanorods and Their Stability. Nanotechnology 2011, 22, 245202. [Google Scholar] [CrossRef]
- Look, D.C.; Claflin, B. P-Type Doping and Devices Based on ZnO. Phys. Status Solidi B Basic Res. 2004, 241, 624–630. [Google Scholar] [CrossRef]
- Janssen, R.A.J.; Stouwdam, J.W. Red, Green, and Blue Quantum Dot LEDs with Solution Processable ZnO Nanocrystal Electron Injection Layers. J. Mater. Chem. 2008, 18, 1889–1894. [Google Scholar] [CrossRef]
- Dong, H.; Zhou, B.; Li, J.; Zhan, J.; Zhang, L. Ultraviolet Lasing Behavior in ZnO Optical Microcavities. J. Mater. 2017, 3, 255–266. [Google Scholar] [CrossRef]
- Tsukazaki, A.; Kubota, M.; Ohtomo, A.; Onuma, T.; Ohtani, K.; Ohno, H.; Chichibu, S.F.; Kawasaki, M. Blue Light-Emitting Diode Based on ZnO. Jpn. J. Appl. Phys. Part 2 Lett. 2005, 44, L643. [Google Scholar] [CrossRef]
- Kim, H.S.; Lugo, F.; Pearton, S.J.; Norton, D.P.; Wang, Y.L.; Ren, F. Phosphorus Doped ZnO Light Emitting Diodes Fabricated via Pulsed Laser Deposition. Appl. Phys. Lett. 2008, 92, 112108. [Google Scholar] [CrossRef]
- Struk, P.; Pustelnya, T.; Gołaszewskab, K.; Borysiewiczb, M.A.; Piotrowskab, A. Gas Sensors Based on ZnO Structures. Acta Phys. Pol. A 2013, 124, 567–569. [Google Scholar] [CrossRef]
- Nwanya, A.C.; Deshmukh, P.R.; Osuji, R.U.; Maaza, M.; Lokhande, C.D.; Ezema, F.I. Synthesis, Characterization and Gas-Sensing Properties of SILAR Deposited ZnO-CdO Nano-Composite Thin Film. Sens. Actuators B Chem. 2015, 206, 671–678. [Google Scholar] [CrossRef]
- Knutsen, K.E.; Schifano, R.; Marstein, E.S.; Svensson, B.G.; Kuznetsov, A.Y. Prediction of High Efficiency ZnMgO/Si Solar Cells Suppressing Carrier Recombination by Conduction Band Engineering. Phys. Status Solidi A Appl. Mater. Sci. 2013, 210, 585–588. [Google Scholar] [CrossRef]
- Schifano, R.; Gieraltowska, S.; Kurek, J.; Wachnicki, L.; Rehman, U.; Budiakivska, D.; Chusnutdinow, S.; Kopalko, K.; Porro, S.; Jakiela, R.; et al. Band Alignment in Zn(1−x)MgxO:Al/SiOx/Si Heterostructures for Photovoltaic Applications Realized by Atomic Layer Deposition: Effects of Al Doping and Mg Alloying. J. Appl. Phys. 2024, 136, 245304. [Google Scholar] [CrossRef]
- Vittal, R.; Ho, K.C. Zinc Oxide Based Dye-Sensitized Solar Cells: A Review. Renew. Sustain. Energy Rev. 2017, 70, 920–935. [Google Scholar] [CrossRef]
- Wibowo, A.; Marsudi, M.A.; Amal, M.I.; Ananda, M.B.; Stephanie, R.; Ardy, H.; Diguna, L.J. ZnO Nanostructured Materials for Emerging Solar Cell Applications. RSC Adv. 2020, 10, 42838–42859. [Google Scholar] [CrossRef] [PubMed]
- Kolodziejczak-Radzimska, A.; Jesionowski, T. Zinc Oxide-from Synthesis to Application: A Review. Materials 2014, 7, 2833–2881. [Google Scholar] [CrossRef] [PubMed]
- Mondal, S.; Paul, S.; Alam, M.J.; Sushama, S.; Chakrabarti, S. Effects of Carrier Confinement in MgZnO/CdZnO Thin-Film Transistors: Towards next Generation Display Technologies. Superlattices Microstruct. 2019, 134, 106220. [Google Scholar] [CrossRef]
- Su, L.; Zhu, Y.; Zhang, Q.; Chen, M.; Wu, T.; Gui, X.; Pan, B.; Xiang, R.; Tang, Z. Structure and Optical Properties of Ternary Alloy BeZnO and Quaternary Alloy BeMgZnO Films Growth by Molecular Beam Epitaxy. Appl. Surf. Sci. 2013, 274, 341–344. [Google Scholar] [CrossRef]
- Yang, C.; Li, X.M.; Gu, Y.F.; Yu, W.D.; Gao, X.D.; Zhang, Y.W. ZnO Based Oxide System with Continuous Bandgap Modulation from 3.7 to 4.9 EV. Appl. Phys. Lett. 2008, 93, 2006–2009. [Google Scholar] [CrossRef]
- Zúñiga-Pérez, J. ZnCdO: Status after 20 Years of Research. Mater. Sci. Semicond. Process. 2017, 69, 36–43. [Google Scholar] [CrossRef]
- Tortosa, M.; Mollar, M.; Marí, B. Synthesis of ZnCdO Thin Films by Electrodeposition. J. Cryst. Growth 2007, 304, 97–102. [Google Scholar] [CrossRef]
- Pearton, S.J.; Ren, F. P-Type Doping of Zno Films and Growth of Tenary Znmgo and Zncdo: Application to Light Emitting Diodes and Laser Diodes. Int. Mater. Rev. 2014, 59, 61–83. [Google Scholar] [CrossRef]
- Wang, F.; Ye, Z.; Ma, D.; Zhu, L.; Zhuge, F. Formation of Quasi-Aligned ZnCdO Nanorods and Nanoneedles. J. Cryst. Growth 2005, 283, 373–377. [Google Scholar] [CrossRef]
- Sakurai, K.; Kubo, T.; Kajita, D.; Tanabe, T.; Takasu, H.; Fujita, S.; Fujita, S. Blue Photoluminescence from ZnCdO Films Grown by Molecular Beam Epitaxy. Jpn. J. Appl. Phys. 2000, 39, L1146. [Google Scholar] [CrossRef]
- Venkatachalapathy, V.; Galeckas, A.; Trunk, M.; Zhang, T.; Azarov, A.; Kuznetsov, A.Y. Understanding Phase Separation in ZnCdO by a Combination of Structural and Optical Analysis. Phys. Rev. B Condens. Matter Mater. Phys. 2011, 83, 125315. [Google Scholar] [CrossRef]
- Bertram, F.; Giemsch, S.; Forster, D.; Christen, J.; Kling, R.; Kirchner, C.; Waag, A. Direct Imaging of Phase Separation in ZnCdO Layers. Appl. Phys. Lett. 2006, 88, 11–14. [Google Scholar] [CrossRef]
- Lange, M.; Dietrich, C.P.; Benndorf, G.; Lorenz, M.; Zúñiga-Pérez, J.; Grundmann, M. Thermal Stability of ZnO/ZnCdO/ZnO Double Heterostructures Grown by Pulsed Laser Deposition. J. Cryst. Growth 2011, 328, 13–17. [Google Scholar] [CrossRef]
- Srinivasan, P.; Prakalya, D.; Jeyaprakash, B.G. UV-Activated ZnO/CdO n-n Isotype Heterostructure as Breath Sensor. J. Alloys Compd. 2020, 819, 152985. [Google Scholar] [CrossRef]
- Bhattacharya, P.; Das, R.R.; Katiyar, R.S. Fabrication of Stable Wide-Band-Gap ZnO/MgO Multilayer Thin Films. Appl. Phys. Lett. 2003, 83, 2010–2012. [Google Scholar] [CrossRef]
- Venkatachalapathy, V.; Galeckas, A.; Kuznetsov, A.Y. CdO/ZnO Multiple Quantum Wells as Components for next Generation Solar Cells. In Proceedings of the 2013 IEEE 39th Photovoltaic Specialists Conference (PVSC), Tampa, FL, USA, 16–21 June 2013; pp. 337–342. [Google Scholar] [CrossRef]
- Cui, J.; Sadofev, S.; Blumstengel, S.; Puis, J.; Henneberger, F. Optical Gain and Lasing of ZnO/ZnMgO Multiple Quantum Wells: From Low to Room Temperature. Appl. Phys. Lett. 2006, 89, 051108. [Google Scholar] [CrossRef]
- Siddharth, G.; Singh, R.; Garg, V.; Sengar, B.S.; Das, M.; Mandal, B.; Htay, M.T.; Gupta, M.; Mukherjee, S. Investigation of DIBS-Deposited CdZnO/ZnO-Based Multiple Quantum Well for Large-Area Photovoltaic Application. IEEE Trans. Electron. Devices 2020, 67, 5587–5592. [Google Scholar] [CrossRef]
- Suemune, I.; Ashrafi, A.B.M.A.; Ebihara, M.; Kurimoto, M.; Kumano, H.; Seong, T.Y.; Kim, B.J.; Ok, Y.W. Epitaxial ZnO Growth and P-Type Doping with MOMBE. Phys. Status Solidi B Basic. Res. 2004, 241, 640–647. [Google Scholar] [CrossRef]
- Przeździecka, E.; Wierzbicka, A.; Lysak, A.; Dłużewski, P.; Adhikari, A.; Sybilski, P.; Morawiec, K.; Kozanecki, A. Nanoscale Morphology of Short-Period {CdO/ZnO} Superlattices Grown by MBE. Cryst. Growth Des. 2021, 22, 1110–1115. [Google Scholar] [CrossRef]
- Tahraoui, A.; Matlis, A.; Slivken, S.; Diaz, J.; Razeghi, M. High-Performance Quantum Cascade Lasers (Λ~11 Μm) Operating at High Temperature (T ≥ 425 K). Appl. Phys. Lett. 2001, 78, 416–418. [Google Scholar] [CrossRef]
- Thompson, A.V.; Boutwell, C.; Mares, J.W.; Schoenfeld, W.V.; Osinsky, A.; Hertog, B.; Xie, J.Q.; Pearton, S.J.; Norton, D.P. Thermal Stability of CdZnOZnO Multi-Quantum-Wells. Appl. Phys. Lett. 2007, 91, 10–13. [Google Scholar] [CrossRef]
- Azarov, A.Y.; Zhang, T.C.; Svensson, B.G.; Kuznetsov, A.Y. Cd Diffusion and Thermal Stability of CdZnO/ZnO Heterostructures. Appl. Phys. Lett. 2011, 99, 111903. [Google Scholar] [CrossRef]
- Lysak, A.; Przeździecka, E.; Jakiela, R.; Reszka, A.; Witkowski, B.; Khosravizadeh, Z.; Adhikari, A.; Sajkowski, J.M.; Kozanecki, A. Effect of Rapid Thermal Annealing on Short Period {CdO/ZnO}m SLs Grown on m-Al2O3. Mater. Sci. Semicond. Process. 2022, 142, 106493. [Google Scholar] [CrossRef]
- Heo, Y.W.; Ip, K.; Pearton, S.J.; Norton, D.P.; Budai, J.D. Growth of ZnO Thin Films on C-Plane Al2O3 by Molecular Beam Epitaxy Using Ozone as an Oxygen Source. Appl. Surf. Sci. 2006, 252, 7442–7448. [Google Scholar] [CrossRef]
- Yang, S.; Kuo, C.C.; Liu, W.R.; Lin, B.H.; Hsu, H.C.; Hsieh, W. Photoluminescence Associated with Basal Stacking Faults in c -Plane ZnO Epitaxial Film Grown by Atomic Layer Deposition. Appl. Phys. Lett. 2012, 100, 101907. [Google Scholar] [CrossRef]
- Trautnitz, T.; Sorgenfrei, R.; Fiederle, M. Elimination of Rotation Domains in ZnO Thin Films on C-Plane Al2O3 Substrates. J. Cryst. Growth 2010, 312, 624–627. [Google Scholar] [CrossRef]
- Zúñiga-Pérez, J.; Martínez-Tomás, C.; Muñoz-Saiyosé, V. X-ray Characterization of CdO Thin Films Grown on a-, c-, r- and m-Plane Sapphire by Metalorganic Vapour Phase-Epitaxy. Phys. Status Solidi C Conf. 2005, 2, 1233–1238. [Google Scholar] [CrossRef]
- Rahal, B.; Boudine, B.; Larbah, Y.; Siad, M.; Souami, N. Influence of Low Cd-Doping Concentration (0.5 and 3 Wt.%) and Different Substrate Types (Glass and Silicon) on the Properties of Dip-Coated Nanostructured ZnO Semiconductors Thin Films. J. Inorg. Organomet. Polym. Mater. 2021, 31, 4001–4017. [Google Scholar] [CrossRef]
- Sengupta, J.; Sahoo, R.K.; Bardhan, K.K.; Mukherjee, C.D. Influence of Annealing Temperature on the Structural, Topographical and Optical Properties of Sol-Gel Derived ZnO Thin Films. Mater. Lett. 2011, 65, 2572–2574. [Google Scholar] [CrossRef]
- Przeździecka, E.; Strąk, P.; Wierzbicka, A.; Adhikari, A.; Lysak, A.; Sybilski, P.; Sajkowski, J.M.; Seweryn, A.; Kozanecki, A. The Band-Gap Studies of Short-Period CdO/MgO Superlattices. Nanoscale Res. Lett. 2021, 16, 59. [Google Scholar] [CrossRef] [PubMed]
- Suryanarayana, C.; Norton, M. X-Ray Diffraction: A Practical Approach; Springer: New York, NY, USA, 1998; ISBN 9781489901507. [Google Scholar]
- Vijayalakshmi, S.; Venkataraj, S.; Jayavel, R. Characterization of Cadmium Doped Zinc Oxide (Cd:ZnO) Thin Films Prepared by Spray Pyrolysis Method. J. Phys. D Appl. Phys. 2008, 41, 245403. [Google Scholar] [CrossRef]
- Yao, G.; Tang, Y.; Fu, Y.; Jiang, Z.; An, X.; Chen, Y.; Liu, Y. Fabrication of High-Quality ZnCdO Epilayers and ZnO/ZnCdO Heterojunction on Sapphire Substrates by Pulsed Laser Deposition. Appl. Surf. Sci. 2015, 326, 271–275. [Google Scholar] [CrossRef]
- Gorczyca, I.; Skrobas, K.; Christensen, N.E.; Sajkowski, J.; Stachowicz, M.; Teisseyre, H.; Kozanecki, A. ZnO/(Zn)MgO Polar and Nonpolar Superlattices. J. Appl. Phys. 2019, 125, 135702. [Google Scholar] [CrossRef]
- Vinodkumar, R.; Lethy, K.J.; Arunkumar, P.R.; Krishnan, R.R.; Venugopalan Pillai, N.; Mahadevan Pillai, V.P.; Philip, R. Effect of Cadmium Oxide Incorporation on the Microstructural and Optical Properties of Pulsed Laser Deposited Nanostructured Zinc Oxide Thin Films. Mater. Chem. Phys. 2010, 121, 406–413. [Google Scholar] [CrossRef]
- Lashkarev, G.V.; Shtepliuk, I.I.; Ievtushenko, A.I.; Khyzhun, O.Y.; Kartuzov, V.V.; Ovsiannikova, L.I.; Karpyna, V.A.; Myroniuk, D.V.; Khomyak, V.V.; Tkach, V.N.; et al. Properties of Solid Solutions, Doped Film, and Nanocomposite Structures Based on Zinc Oxide. Low Temp. Phys. 2015, 41, 129–140. [Google Scholar] [CrossRef]
- Coleman, V.A.; Jagadish, C. Basic Properties and Applications of ZnO. In Zinc Oxide Bulk, Thin Films and Nanostructures: Processing, Properties, and Applications; Elsevier: Amsterdam, The Netherlands, 2006; pp. 1–20. ISBN 9780080447223. [Google Scholar]
- Sahoo, B.D.; Joshi, K.D.; Gupta, S.C. Ab Initio Calculations on Structural, Elastic and Dynamic Stability of CdO at High Pressures. J. Appl. Phys. 2012, 112, 093523. [Google Scholar] [CrossRef]
- Rodnyi, P.A.; Khodyuk, I.V. Optical and Luminescence Properties of Zinc Oxide. Opt. Spectrosc. Engl. Transl. Opt. I Spektrosk. 2011, 111, 776–785. [Google Scholar] [CrossRef]
- Sun, Y.; Ketterson, J.B.; Wong, G.K.L. Excitonic Gain and Stimulated Ultraviolet Emission in Nanocrystalline Zinc-Oxide Powder. Appl. Phys. Lett. 2000, 77, 2322–2324. [Google Scholar] [CrossRef]
- Lysak, A.; Przezdziecka, E.; Wierzbicka, A.; Dłuzewski, P.; Sajkowski, J.; Morawiec, K.; Kozanecki, A. The Influence of the Growth Temperature on the Structural Properties of {CdO/ZnO} 30 Superlattices. Cryst. Growth Des. 2022, 23, 134–141. [Google Scholar] [CrossRef]
- Meyer, B.K.; Sann, J.; Lautenschläger, S.; Wagner, M.R.; Hoffmann, A. Ionized and Neutral Donor-Bound Excitons in ZnO. Phys. Rev. B Condens. Matter Mater. Phys. 2007, 76, 184120. [Google Scholar] [CrossRef]
- Lautenschlaeger, S.; Eisermann, S.; Haas, G.; Zolnowski, E.A.; Hofmann, M.N.; Laufer, A.; Pinnisch, M.; Meyer, B.K.; Wagner, M.R.; Reparaz, J.S.; et al. Optical Signatures of Nitrogen Acceptors in ZnO. Phys. Rev. B 2012, 85, 235204. [Google Scholar] [CrossRef]
- Makino, T.; Segawa, Y.; Kawasaki, M.; Koinuma, H. Optical Properties of Excitons in ZnO-Based Quantum Well Heterostructures. Semicond. Sci. Technol. 2005, 20, S78. [Google Scholar] [CrossRef]
- Pan, X.; Ding, P.; He, H.; Huang, J.; Lu, B.; Zhang, H.; Ye, Z. Optical Properties and Structural Characteristics of ZnO Thin Films Grown on A-Plane Sapphire Substrates by Plasma-Assisted Molecular Beam Epitaxy. Opt. Commun. 2012, 285, 4431–4434. [Google Scholar] [CrossRef]
- Sypniewska, M.; Szczesny, R.; Popielarski, P.; Strzalkowski, K.; Derkowska-Zielinska, B. Structural, Morphological and Photoluminescent Properties of Annealed ZnO Thin Layers Obtained by the Rapid Sol-Gel Spin-Coating Method. Opto-Electron. Rev. 2020, 28, 182–190. [Google Scholar] [CrossRef]
- Kulyk, B.; Kapustianyk, V.; Tsybulskyy, V.; Krupka, O.; Sahraoui, B. Optical Properties of ZnO/PMMA Nanocomposite Films. J. Alloys Compd. 2010, 502, 24–27. [Google Scholar] [CrossRef]
- Yıldırım, H. Exciton Binding and Excitonic Transition Energies in Wurtzite Zn1-XCdxO/ZnO Quantum Wells. Superlattices Microstruct. 2018, 120, 344–352. [Google Scholar] [CrossRef]
- Przezdziecka, E.; Guziewicz, E.; Witkowski, B.S. Photoluminescence Investigation of the Carrier Recombination Processes in N-Doped and Undoped ZnO ALD Films Grown at Low Temperature. J. Lumin. 2018, 198, 68–76. [Google Scholar] [CrossRef]
- Xiong, G.; Ucer, K.B.; Williams, R.T.; Lee, J.; Bhattacharyya, D.; Metson, J.; Evans, P. Donor-Acceptor Pair Luminescence of Nitrogen-Implanted ZnO Single Crystal. J. Appl. Phys. 2005, 97, 043528. [Google Scholar] [CrossRef]
- Lee, S.H.; So, W.; Jung, J.H.; Nam, G.; Yoon, H.; Park, H.; Kim, K.M.; Kim, S.; Kim, M.S.; Lee, J.; et al. Temperature-Dependent Photoluminescence of ZnO Thin Films Deposited by Using the Sol-Gel Dip-Coating Method. J. Korean Phys. Soc. 2012, 61, 1171–1176. [Google Scholar] [CrossRef]
- Meyer, B.K.; Alves, H.; Hofmann, D.M.; Kriegseis, W.; Forster, D.; Bertram, F.; Christen, J.; Hoffmann, A.; Straßburg, M.; Dworzak, M.; et al. Bound Exciton and Donor-Acceptor Pair Recombinations in ZnO. Phys. Status Solidi B Basic Res. 2004, 241, 231–260. [Google Scholar] [CrossRef]
- Dietrich, C.P.; Lange, M.; Benndorf, G.; von Wenckstern, H.; Grundmann, M. Donor-Acceptor Pair Recombination in Non-Stoichiometric ZnO Thin Films. Solid. State Commun. 2010, 150, 379–382. [Google Scholar] [CrossRef]
- Thonke, K.; Gruber, T.; Teofilov, N.; Schönfelder, R.; Waag, A.; Sauer, R. Donor–Acceptor Pair Transitions in ZnO Substrate Material. Phys. B Condens. Matter 2001, 308, 945–948. [Google Scholar] [CrossRef]
- Fouzri, A.; Althumairi, N.A.; Sallet, V.; Lusson, A.; Kulyk, B.; Kapustianyk, V.; Tsybulskyy, V.; Krupka, O.; Sahraoui, B. Characterization of Sol Gel Zn1-XCaxO Thin Layers Deposited on p-Si Substrate by Spin-Coating Method. Opt. Mater. 2020, 110, 110519. [Google Scholar] [CrossRef]
- Stachowicz, M.; Sajkowski, J.M.; Pietrzyk, M.A.; Faye, D.N.; Magalhaes, S.; Alves, E.; Reszka, A.; Pieniążek, A.; Kozanecki, A. Investigation of Interdiffusion in Thin Films of ZnO/ZnCdO Grown by Molecular Beam Epitaxy. Thin Solid. Film. 2023, 781, 140003. [Google Scholar] [CrossRef]
- Li, L.; Yang, Z.; Zuo, Z.; Lim, J.H.; Liu, J.L. Thermal Stability of CdZnO Thin Films Grown by Molecular-Beam Epitaxy. Appl. Surf. Sci. 2010, 256, 4734–4737. [Google Scholar] [CrossRef][Green Version]
Disclaimer/Publisher’s Note: The statements, opinions and data contained in all publications are solely those of the individual author(s) and contributor(s) and not of MDPI and/or the editor(s). MDPI and/or the editor(s) disclaim responsibility for any injury to people or property resulting from any ideas, methods, instructions or products referred to in the content. |
© 2025 by the authors. Licensee MDPI, Basel, Switzerland. This article is an open access article distributed under the terms and conditions of the Creative Commons Attribution (CC BY) license (https://creativecommons.org/licenses/by/4.0/).




