Study of the Hibridation of Ablation Casting and Laser Wire Metal Deposition for Aluminum Alloy 5356
Abstract
1. Introduction
2. Materials and Methods
2.1. Experimental Materials
2.2. Ablation Process
2.3. LMwD Process
2.4. Microstructural Characterisation
2.5. Mechanical Behaviour
3. Results and Discussion
3.1. Microstructural Characterisation
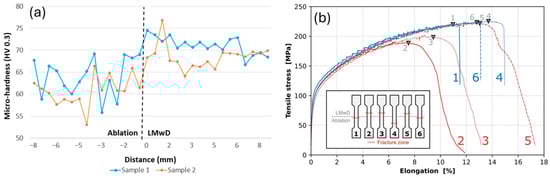
3.2. Mechanical Properties
3.3. Fracture Surface Analysis
4. Conclusions
- Regarding the microstructure, equiaxed grains were observed, with Al-Mg-rich particles deposited in the interdendritic spaces and at the grain boundaries. On the other hand, columnar grains and fine Mg-rich intermetallic precipitates (1 and 3 µm) were observed in the aluminium matrix, with a large quantity being vertically aligned at the bottom of the weld seam interlayer. The microstructure of the deposited area was also more heterogeneous than that of the ablated area.
- The junction between the areas created with the two manufacturing processes was not the weakest point.
- If the deposited area is free of large lack-of-union defects, the hybrid components fracture in the ablation region, with high mechanical properties. Here, the yield strength was higher than 100 MPa, the tensile strength was higher than 220 MPa, and the elongation was higher than 13%.
- Large lack-of-union defects were observed in the deposited parts of the hybrid tensile test samples that were broken across the deposited material. After the maximum load was achieved, the stress decreased continuously, while the elongation increased until complete fracture. Some necking surrounding the lack-of-union defect was observed on the fracture surface.
Author Contributions
Funding
Data Availability Statement
Conflicts of Interest
References
- Ambrogio, G.; Gagliardi, F.; Muzzupappa, M.; Filice, L. Additive-incremental forming hybrid manufacturing technique to improve customised part performance. J. Manuf. Process 2019, 37, 386–391. [Google Scholar] [CrossRef]
- Sefene, E.M.; Hailu, Y.M.; Tsegaw, A.A. Metal Hybrid Additive Manufacturing: State-of-the-art. Prog. Addit. Manuf. 2022, 7, 737–749. [Google Scholar] [CrossRef]
- Miguel, I.; Artola, G.; Arrizubieta, J.I.; Fernández-Calvo, A.I.; Angulo, C. Inconel 718 Hybrid Laser-Based Directed Energy Deposition and Wrought Component Characterization through Small Punch. Tests. Appl. Sci. 2024, 14, 6420. [Google Scholar] [CrossRef]
- Srinivasan, D.; Ananth, K. Recent Advances in Alloy Development of Metal Additive Manufacturing in Gas Turbine/Aerospace Applications: A Review. J. Indian Inst. Sci. 2022, 102, 311–349. [Google Scholar] [CrossRef]
- Fan, H.; Witvrouw, A.; Wolf-Monheim, F.; Souschek, R.; Yang, S. Effects of substrate surface treatments on hybrid manufacturing of AlSi7Mg using die casting and selective laser melting. J. Mater. Sci. Technol. 2023, 156, 142–156. [Google Scholar] [CrossRef]
- Hirtler, M.; Jedynaka, A.; Sydowa, B.; Sviridova, A.; Bambacha, M. A Study on the Mechanical Properties of Hybrid Parts Manufactured by Forging and Wire Arc Additive Manufacturing. Procedia Manuf. 2020, 47, 1141–1148. [Google Scholar] [CrossRef]
- Kučerová, L.; Jeníček, Š.; Zetková, I.; Burdová, K. Heat treatment of bimetals produced by selective laser melting of MS1 maraging steel on conventionally produced 42SiCr martensitic steel. Arch. Civ. Mech. Eng. 2022, 22, 153. [Google Scholar] [CrossRef]
- Grassi, J.R.; Campbell, J.; Kuhlmann, G.W. Mold-Removal Method and Apparatus. Patent US7216691B2, 7 July 2003. [Google Scholar]
- Grassi, J.; Campbell, J.; Hartlieb, M.; Major, F. The ablation casting process. Mater. Sci. Forum 2009, 618–619, 591–594. [Google Scholar] [CrossRef]
- Dudek, P.; Fajkiel, A.; Reguła, T.; Bochenek, J. Research on ablation casting technology for aluminium alloys. Solid State Phenom. 2014, 223, 70–77. [Google Scholar] [CrossRef]
- Hosadyna-Kondracka, M.; Major-Gabryś, K.; Kamińska, J.; Grabarczyk, A.; Angrecki, M. Moulding Sand with Inorganic Cordis Binder for Ablation Casting. Arch. Foundry Eng. 2018, 18, 110–115. [Google Scholar] [CrossRef]
- Barbarias, E.; Niklas, A.; Lizarralde, I.; Garat, M.; Bakedano, A.; Fernández-Calvo, A.I. Ablation technology applied to A356 alloys compared with conventional casting processes. Mater. Sci. Eng. A 2022, 833, 142528. [Google Scholar] [CrossRef]
- Barbarias, E.; Bakedano, A.; Lizarralde, I.; Orden, S.; Fernández-Calvo, A.I. Chemical composition and melt treatment optimization of 5XXX and 6XXX alloys for ablation technology. Int. Metalcast. 2023, 17, 551–562. [Google Scholar] [CrossRef]
- Han, Q. Ablation casting: Solidification characteristics, microstructure formation, and mechanical properties. Int. Metalcast. 2021, 15, 1213–1222. [Google Scholar] [CrossRef]
- Boutorabi, S.M.A.; Torkaman, P.; Campbell, J.; Zolfaghari, A. Structure and properties of carbon steel cast by the ablation process. Int. Metalcast. 2021, 15, 306–318. [Google Scholar] [CrossRef]
- Grassi, J.R.; Campbell, J.; Major, J.F. Solidification Microstructure of Aggregate Molded Shaped Castings. Patent PCT/US2007/018175, 14 August 2007. [Google Scholar]
- Grassi, J.; Campbell, J.; Hartlieb, M.; Major, F. Ablation casting. Foundry Trade J. 2010, 124–126. [Google Scholar]
- Weiss, D.; Grassi, J.; Schultz, B.; Rohatgi, P. Testing the limits of ablation. Mod. Cast. 2011, 101, 26–29. [Google Scholar]
- Salarvand, M.; Boutorabi, S.M.A.; Tamizifar, M.; Pourgharibshahi, M. Effect of cooling rate on the microstructure and mechanical properties of high zinc AA 5182 aluminium wrought ally cast by the ablation process. Int. Metalcast. 2021, 15, 1464–1475. [Google Scholar] [CrossRef]
- Gruzleski, J.; Closset, B.M. The Treatment of Liquid Aluminium-Silicon Alloys; American Foundrymen’s Society: Schaumburg, IL, USA, 1990. [Google Scholar]
- Ding, D.; Pan, Z.; Cuiuri, D.; Li, H. Wire-feed additive manufacturing of metal components: Technologies, developments and future interests. Int. J. Adv. Manuf. Technol. 2015, 81, 465–481. [Google Scholar] [CrossRef]
- Sánchez-Amaya, J.M.; Delgado, T.; de Damborenea, J.; López, V.; Botana, F.J. Laser welding of AA 5083 samples by high power diode laser. Sci. Technol. Weld. Join. 2009, 14, 78–86. [Google Scholar] [CrossRef]
- Kuo, T.Y.; Lin, H.C. Effects of pulse level of Nd-YAG laser on tensile properties and formability of laser weldments in automotive aluminum alloys. Mater. Sci. Eng. A 2006, 416, 281–289. [Google Scholar] [CrossRef]
- Sánchez-Amaya, J.M.; Delgado, T.; González-Rovira, L.; Botana, F.J. Laser welding of aluminum alloys 5083 and 6082 under conduction regime. Appl. Surf. Sci. 2009, 255, 9512–9521. [Google Scholar] [CrossRef]
- Pierron, N.; Sallamand, P.; Matteï, S. Study of magnesium and aluminum alloys absorption coefficient during Nd: YAG laser interaction. Appl. Surf. Sci. 2007, 253, 3208–3214. [Google Scholar] [CrossRef]
- Amaya, J.S.; Amaya-Vázquez, M.R.; Botana, F.J. Laser welding of light metal alloys: Aluminium and titanium alloys. In Handbook of Laser Welding Technologies; Woodhead Publishing: Cambridge, UK, 2013; pp. 215–254. [Google Scholar]
- Forsman, T. Nd:YAG Laser Welding of Aluminium Alloys. Licentiate Thesis, Luleå University of Technology, Luleå, Sweeden, 1998. [Google Scholar]
- Dinda, G.P.; Dasgupta, A.K.; Bhattacharya, S.; Natu, H.; Dutta, B.; Mazumder, J. Microstructural characterization of laser-deposited Al 4047 alloy. Metall. Mater. Trans. A 2013, 44, 2233–2242. [Google Scholar] [CrossRef]
- Wang, X.; Li, L.; Qu, J.; Tao, W. Microstructure and mechanical properties of laser metal deposited AlSi10Mg alloys. Mater. Sci. Technol. 2019, 35, 2284–2293. [Google Scholar] [CrossRef]
- Langebeck, A.; Bohlen, A.; Freisse, H.; Vollertsen, F. Additive manufacturing with the lightweight material aluminium alloy EN AW-7075. Weld. World 2020, 64, 429–436. [Google Scholar] [CrossRef]
- Bock, F.E.; Froend, M.; Herrnring, J.; Enz, J.; Kashaev, N.; Kluseman, B. Thermal analysis of laser additive manufacturing of aluminium alloys: Experiment and simulation. AIP Conf. Proc. 2018, 1960, 140004. [Google Scholar] [CrossRef]
- Froend, M.; Bock, F.E.; Riekehr, S.; Kashaev, N.; Klusemann, B.; Enz, J. Experimental investigation of temperature distribution during wire-based laser metal deposition of the Al-Mg alloy 5087. Mater. Sci. Forum 2018, 941, 988–994. [Google Scholar] [CrossRef]
- Froend, M.; Riekehr, S.; Kashaev, N.; Klusemann, B.; Enz, J. Process development for wire-based laser metal deposition of 5087 aluminium alloy by using fibre laser. J. Manuf. Process. 2018, 34, 721–732. [Google Scholar] [CrossRef]
- Froend, M.; Ventzke, V.; Riekher, S.; Kashaev, N.; Klusemann, B.; Enz, J. Microstructure and microhardness of wire-based laser metal deposited AA5087 using an Ytterbium fibre laser. Mater. Charact. 2018, 143, 59–67. [Google Scholar] [CrossRef]
- Froend, M.; Ventzke, V.; Dorn, F.; Kashaev, N.; Klusemann, B.; Enz, J. Microstructure by design: An approach of grain refinement and isotropy improvement in multi-layer wirebased laser metal deposition. Mater. Sci. Eng. A 2020, 772, 138635. [Google Scholar] [CrossRef]
- Madarieta, M.; Irazu, E.; Garmendia, I.; Flores, J.; Soriano, C. Geometrical study of 5356 aluminium alloy by means of a concentric wire laser metal deposition. Procedia CIRP 2022, 113, 361–366. [Google Scholar] [CrossRef]
- Becker, D.; Boley, S.; Eisseler, R.; Stehle, T.; Möhring, H.C.; Onuseit, V.; Graf, T. Influence of a closed-loop controlled laser metal wire deposition process of S Al 5356 on the quality of manufactured parts before and after subsequent machining. Prod. Eng. 2021, 15, 489–507. [Google Scholar] [CrossRef]
- Hagenlocher, C.; O’Toole, P.; Xu, W.; Brandt, M.; Easton, M.; Molotnikov, A. In process monitoring of the thermal profile during solidification in laser directed energy deposition of aluminium. Addit. Manuf. Lett. 2022, 3, 100084. [Google Scholar] [CrossRef]
- Zapata, A.; Bernauer, C.; Stadter, C.; Kolb, C.G.; Zaeh, M.F. Investigation on the cause-effect relationships between the process parameters and the resulting geometric properties for wire-based coaxial laser metal deposition. Metals 2022, 12, 455. [Google Scholar] [CrossRef]
- Hagenlocher, C.; O’Toole, P.; Xu, W.; Brandt, M.; Easton, M.; Molotnikov, A. The Effect of Heat Accumulation on the Local Grain Structure in Laser-Directed Energy Deposition of Aluminium. Metals 2022, 12, 1601. [Google Scholar] [CrossRef]
- Bai, Y.; Zhao, C.; Zhang, Y.; Wang, H. Microstructure and mechanical properties of additively manufactured multi-material component with maraging steel on CrMn steel. Mater. Sci. Eng. A 2021, 802, 140630. [Google Scholar] [CrossRef]
- Bhadrakali, A.S.; Sastry, D.V.A.R.; Chigilipalli, B.K.; Naik, K.S.; Kakaravada, T.I.; Archarya, A.; Kumar, K.L. Effect of heat input onmicrostructure and mechanical properties of bimetallic wire arc additive manufacturing of SS304L and ER308L prepared by hybridmanufacturing process. Int. J. Interact. Des. Manuf. 2023, 19, 263–274. [Google Scholar] [CrossRef]
- Li, Z.; Wu, H.; Liu, B.; Wen, H.; Li, H.; Shi, J.; Tang, X. Interfacial microstructure and mechanical properties of forging and SLM hybrid manufacturing Ti-6Al-4V parts. Mater. Lett. 2023, 339, 134101. [Google Scholar] [CrossRef]
- González-Velázquez, J.L. Fractography and Failure Analysis. In Structural Integrity; Springer International: New York, NY, USA, 2018; Volume 3. [Google Scholar]
- Warmuzek, M. Aluminum-Silicon Casting Alloys: Atlas of Microfractographs; ASM International: Almere, The Netherlands, 2004. [Google Scholar]
- Niklas, A.; Bakedano, A.; Orden, S.; da Silva, M.; Nogués, E.; Fernández-Calvo, A.I. Effect of Microstructure and Casting Defects on the Mechanical Properties of Secondary AlSi10MnMg(Fe) Test Parts Manufactured by Vacuum Assisted high Pressure Die Casting Technology. Mater. Today Proc. 2015, 2, 4931–4938. [Google Scholar] [CrossRef]
- Du Plessis, A.; Yadroitsava, I.; Yadroitsev, I. Effects of defects on mechanical properties in metal additive manufacturing: A review focusing on X-ray tomography insights. Mater. Des. 2020, 187, 108385. [Google Scholar] [CrossRef]










| Chemical Composition [wt. %] | |||||||||
|---|---|---|---|---|---|---|---|---|---|
| Mg | Si | Fe | Mn | Cr | Cu | Zn | Ti | B | |
| Ablated material | 5.15 | <0.10 | 0.12 | 0.070 | 0.076 | <0.03 | <0.04 | 0.11 | 0.013 |
| Deposition rate | 0.7 kg/h |
| Wire feeding rate | 4 m/min |
| Linear speed | 1.5 m/min |
| Laser power | 3.5 kW |
| Welding seem width | 3.5 mm |
| Overlapping degree | 0.25% |
| Layer height | 1.25 mm |
| 1 | 2 | 3 | 4 | 5 | 6 | Average Value | |
|---|---|---|---|---|---|---|---|
| Yield strength, Rp0.2 (MPa) | 112 | 101 | 97 | 102 | 105 | 104 | 104 ± 5 |
| Tensile strength, Rm (MPa) | 222 | 190 | 202 | 225 | 223 | 224 | 214 ± 13 |
| Tot. elong. at max. load, Agt (%) | 11.2 | 7.5 | 9.5 | 13.7 | 13.0 | 12.8 | 11 ± 2 |
Disclaimer/Publisher’s Note: The statements, opinions and data contained in all publications are solely those of the individual author(s) and contributor(s) and not of MDPI and/or the editor(s). MDPI and/or the editor(s) disclaim responsibility for any injury to people or property resulting from any ideas, methods, instructions or products referred to in the content. |
© 2025 by the authors. Licensee MDPI, Basel, Switzerland. This article is an open access article distributed under the terms and conditions of the Creative Commons Attribution (CC BY) license (https://creativecommons.org/licenses/by/4.0/).
Share and Cite
Fernández-Calvo, A.I.; Madarieta, M.; Solana, A.; Lizarralde, I.; Rouco, M.; Soriano, C. Study of the Hibridation of Ablation Casting and Laser Wire Metal Deposition for Aluminum Alloy 5356. Crystals 2025, 15, 134. https://doi.org/10.3390/cryst15020134
Fernández-Calvo AI, Madarieta M, Solana A, Lizarralde I, Rouco M, Soriano C. Study of the Hibridation of Ablation Casting and Laser Wire Metal Deposition for Aluminum Alloy 5356. Crystals. 2025; 15(2):134. https://doi.org/10.3390/cryst15020134
Chicago/Turabian StyleFernández-Calvo, Ana Isabel, Mikel Madarieta, Ane Solana, Ibon Lizarralde, Mikel Rouco, and Carlos Soriano. 2025. "Study of the Hibridation of Ablation Casting and Laser Wire Metal Deposition for Aluminum Alloy 5356" Crystals 15, no. 2: 134. https://doi.org/10.3390/cryst15020134
APA StyleFernández-Calvo, A. I., Madarieta, M., Solana, A., Lizarralde, I., Rouco, M., & Soriano, C. (2025). Study of the Hibridation of Ablation Casting and Laser Wire Metal Deposition for Aluminum Alloy 5356. Crystals, 15(2), 134. https://doi.org/10.3390/cryst15020134

