Abstract
This study investigates the formation of metallic rhenium through Solution Combustion Synthesis (SCS), focusing on the thermodynamics, kinetics, and phase composition of the process. The impact of the fuel-to-oxidizer ratio (φ) on the synthesis of rhenium was evaluated, demonstrating that the stoichiometric ratio (φ = 1) leads to the highest combustion temperature and the formation of pure metallic rhenium, as confirmed by XRD. Deviation from this stoichiometric condition, either by fuel excess (φ > 1) or oxidizer excess (φ < 1), resulted in incomplete reduction and the formation of rhenium oxides (ReO2 and ReO3). Thermodynamic calculations revealed that under reducing conditions, metallic rhenium is the primary product while oxidizing conditions favor the formation of rhenium dioxide. Kinetic analysis of the thermal decomposition of ammonium perrhenate suggested that the process involves a multi-stage reaction, with the reduction of rhenium occurring in a stepwise manner. The findings provide new insights into the role of rhenium as both a metal and an oxidizer in SCS and emphasize the critical influence of the fuel/oxidizer ratio in controlling the phase composition and crystallinity of the final product.
1. Introduction
Rhenium is one of the most refractory metals, with a melting point of 3180 °C. Its physicochemical properties are largely similar to those of other Group VIa metals, such as tungsten and molybdenum. These properties include a high modulus of elasticity, resistance to corrosion and erosion, a low coefficient of thermal expansion, and notable catalytic activity. Despite its high cost—primarily due to its low abundance in the Earth’s crust (approximately 10−7%)—rhenium’s unique properties make it indispensable in various industrial applications, including metallurgy, petroleum refining, and aviation [,].
Traditionally, rhenium metal powder is produced through a two-stage reduction of ammonium perrhenate in a hydrogen atmosphere []. This process is typically conducted continuously in a tubular furnace, using molybdenum (or molybdenum-nickel) boats. In the first stage, Re7+ is reduced to Re4+ at temperatures of 350–370 °C (Equation (1)). In the second stage, the resulting rhenium dioxide (ReO2) is reduced to metallic rhenium at elevated temperatures (950–970 °C) (Equation (2)) [,].
An alternative approach to rhenium metal production is electrolysis [,]. However, the methods described above are associated with significant drawbacks, including the complex morphology and broad distribution of particle sizes in the resulting rhenium metal powder. This variability complicates the achievement of high product density and low powder fluidity, thus hindering the use of these powders in powder metallurgy [].
Chemical vapor deposition (CVD) and the thermal decomposition of organic precursors in a hydrogen atmosphere are other potential methods for producing dispersed rhenium metal powder [,,,]. However, these processes are typically characterized by complex equipment design and low productivity, limiting their feasibility as an alternative to industrial-scale methods.
A promising and energy-efficient technique for the rapid production of powdered materials is solution combustion synthesis (SCS). The SCS method is a sol-gel process based on an exothermic redox reaction occurring during the gel decomposition, which is typically formed by nitrate ions (N5+) and organic molecules that chelate with metal cations. Notable variations of this method include glycine-nitrate combustion and the Pechini method, among others. SCS is a versatile approach for producing ultrafine and nanodispersed powders [], offering flexibility through the control of parameters such as pH, molar fuel/oxidizer ratios, the nature of oxidants and metal cations, and the type of fuel used [,,,]. Although SCS has primarily been employed in the synthesis of oxide materials [,,], its application in the production of metal powders has, until recently, been limited to nickel and copper [,]. Recent studies have demonstrated the feasibility of producing metallic molybdenum powder via SCS [], suggesting the potential for synthesizing other Group VI and VIIa metals. Notably, rhenium has been shown to participate in SCS reactions, forming complex oxides [], highlighting the relevance of investigating the synthesis of rhenium and other metals using this method. Frye et al. [] explored SCS using ammonium salts of rhenium, molybdenum, niobium, and tungsten to produce finely divided powder precursors, which could subsequently be reduced to metallic powders. However, the use of glycine as a fuel, owing to its low reducing power, precluded the direct one-stage synthesis of metallic powders, as was also observed in the case of metallic molybdenum production [].
Thermodynamic analysis is often employed to better understand the SCS process, with methods typically relying on calculations of reducing and oxidizing valences to determine the main reaction pathways []. However, this approach may face challenges, as combustion reactions generally do not alter the oxidation state of metals, complicating the analysis. Another widely accepted method involves the study of the adiabatic combustion temperature, where the maximum experimentally measured combustion temperature corresponds to the stoichiometric molar ratio of oxidizing and reducing agents []. This approach complements valence-based analyses and provides insights into reaction stoichiometry. Furthermore, assuming equilibrium conditions, the equilibrium phase composition of the reaction system can be calculated under varying technological parameters such as temperature and pressure []. Integrating thermodynamic and kinetic analyses allows for a more comprehensive understanding of the mechanisms governing SCS processes and enables the optimization of conditions for synthesizing material powders.
This work is focused on the thermodynamic evaluation and experimental investigation of the possibility of synthesizing metallic rhenium via the SCS method. Additionally, the study explores the underlying mechanisms of rhenium formation during the solution combustion synthesis process.
2. Materials and Methods
2.1. Materials and Synthesis
The following chemicals were used as starting materials: ammonium perrhenate (NH4ReO4, 99.99%), glucose (C6H12O6, 99.5%), urea (CH4N2O, 99.8%), and ammonium nitrate (NH4NO3, 99.6%).
Ammonium perrhenate was dissolved in 100 mL of distilled water and heated to 50 °C in a 1-L heat-resistant glass vessel. After dissolution, glucose and urea were sequentially added to the resulting solution. The fuel composition for each solution is shown in Table 1. The mixture was then heated to 80 °C on a temperature-controlled hot plate, gradually increasing to 100 °C. This temperature was maintained until 4.89 g of ammonium nitrate was solved, at which point the solution was brought to a boil. Upon near complete evaporation of water, a thick gel was formed, which ignited at approximately 200 °C, accompanied by the active release of a large amount of gas and the formation of a spongy agglomerate.
Table 1.
Fuel Composition of Solutions.
In the study of solution combustion synthesis (SCS), several key parameters were considered, including the fuel-to-metal ratio (F/M), nitrate ion-to-metal ratio (NO3−/M), and oxidizer-to-fuel ratio (φ) []. All the ratios are expressed on a molar basis. Among these parameters, the oxidizer-to-fuel ratio (φ) is the most critical and will be the primary focus of this study.
2.2. Measurement of Combustion Temperature
The combustion temperature was measured using an experimental setup equipped with a videographic recorder (Sh932.9A-29.018) []. A heat-resistant glass vessel with a 1-L volume and thermally insulated walls was placed on a hot plate maintained at a surface temperature of 300 °C. Three Pt/Rh thermocouples (type S, with a wire diameter of 0.5 mm) were positioned at different heights inside the vessel: the first was located near the surface of the solution, while the second and third were positioned 10 mm and 20 mm above the first, respectively. The temperature data were recorded with a polling frequency of 0.13 s for all three thermocouples. The combustion temperature was investigated using a mixture of glucose and urea as fuel, with variations in the fuel-to-metal ratio (F/M) while maintaining the nitrate ion-to-metal ratio (NO3−/M) [].
2.3. Methods of Characterization
The synthesized materials were characterized using the following techniques:
- X-ray Diffraction (XRD): Phase composition and structural analysis were performed using a XRD-7000 diffractometer (Shimadzu, Kyoto, Japan) with CuKα radiation (λ = 1.5418 Å). The scanning range was 10–80° with a step size of 0.03° and a scan speed of 3 s per point. Rietveld refinement of the crystallographic parameters was carried out using the FullProf program (December-2024). Crystallite size was calculated using the modified Scherrer equation.
- Scanning Electron Microscopy (SEM): The morphology of the powder particles was examined using a JSM-6390LA scanning electron microscope (JEOL, Tokyo, Japan).
- Differential Scanning Calorimetry (DSC) and Thermogravimetric Analysis (TGA): Oxidation and decomposition behaviors of the synthesized powders were investigated using a STA 449 F3 instrument (Netzsch, Selb, Germany) coupled with a mass spectrometer. The analysis was conducted in an alumina crucible with a heating rate of 10 °C/min in the temperature range of 30–600 °C under air and argon atmospheres.
- Thermodynamic Calculations: Thermodynamic data were obtained using the HSC Chemistry software (7.0).
3. Results
3.1. Thermodynamic Assessment of the Formation of Metallic Rhenium by Solution Combustion Synthesis
The reduction of metals during the Solution Combustion Synthesis (SCS) process is believed to occur through the interaction of the resulting inert oxides with gases released during fuel combustion, such as H2, NH3, CH4, and CO. In an inert atmosphere, the reduction of ammonium perrhenate proceeds stepwise: upon heating, ammonium perrhenate decomposes to form Re2O7 (Equation (3)), which then reacts with the released gases and is gradually reduced to metallic rhenium via intermediate oxides such as ReO3 and ReO2 [,]. In the presence of a reducing atmosphere (e.g., during SCS with fuel in excess of the stoichiometric amount, φ > 1), the synthesis of metallic rhenium involves the interaction of the intermediate oxides (ReO2, ReO3, and Re2O7) with reducing gases such as H2, CH4, and CO (Equations (4)–(7)):
For the compounds used in the synthesis process (glucose and urea), thermodynamic calculations of the equilibrium composition of the system suggest that ammonia, carbon monoxide, and methane will be formed during thermolysis (Equations (8)–(10)). These pyrolysis gases, as discussed earlier, act as active reducing agents for rhenium oxides.
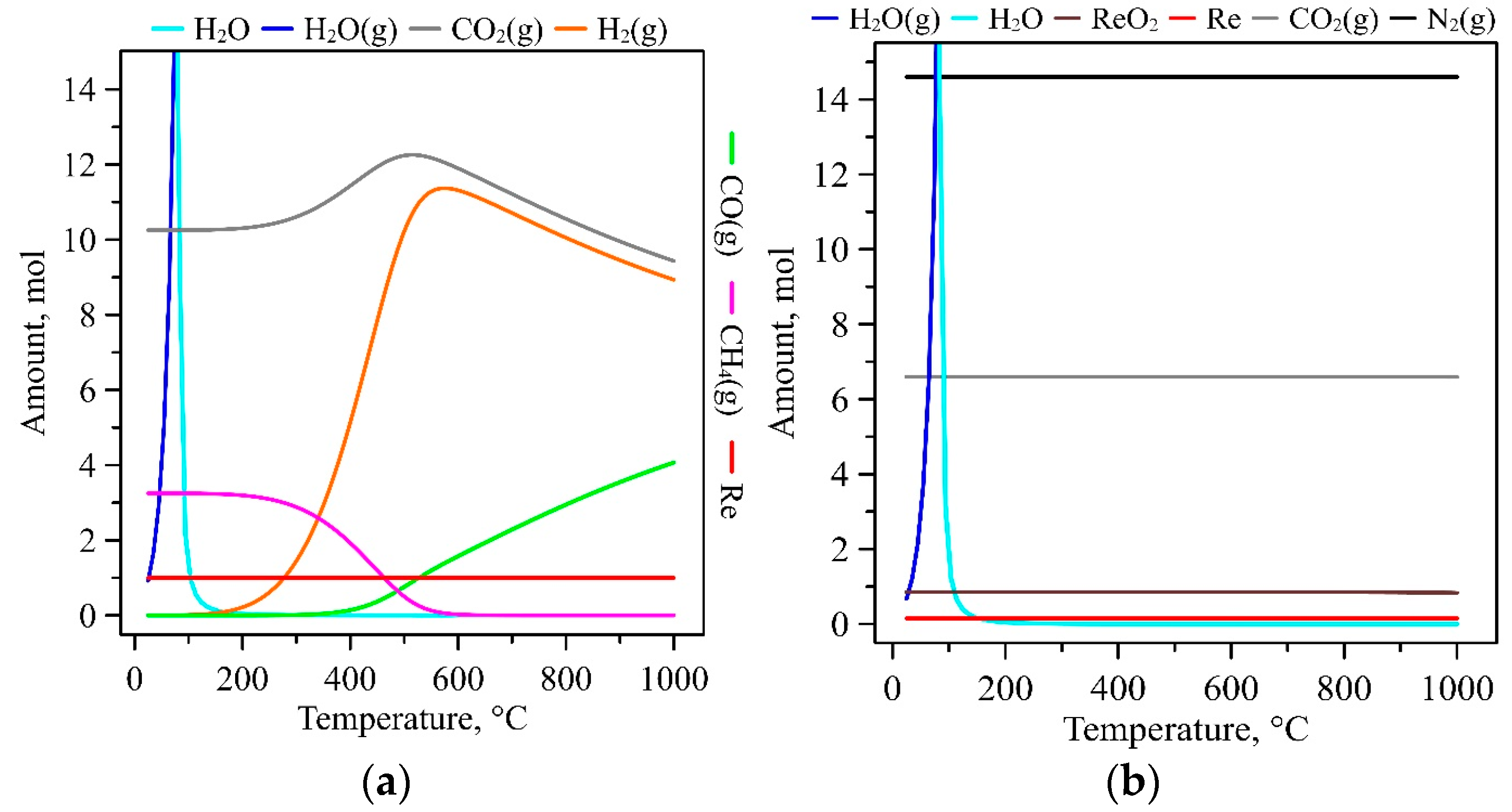
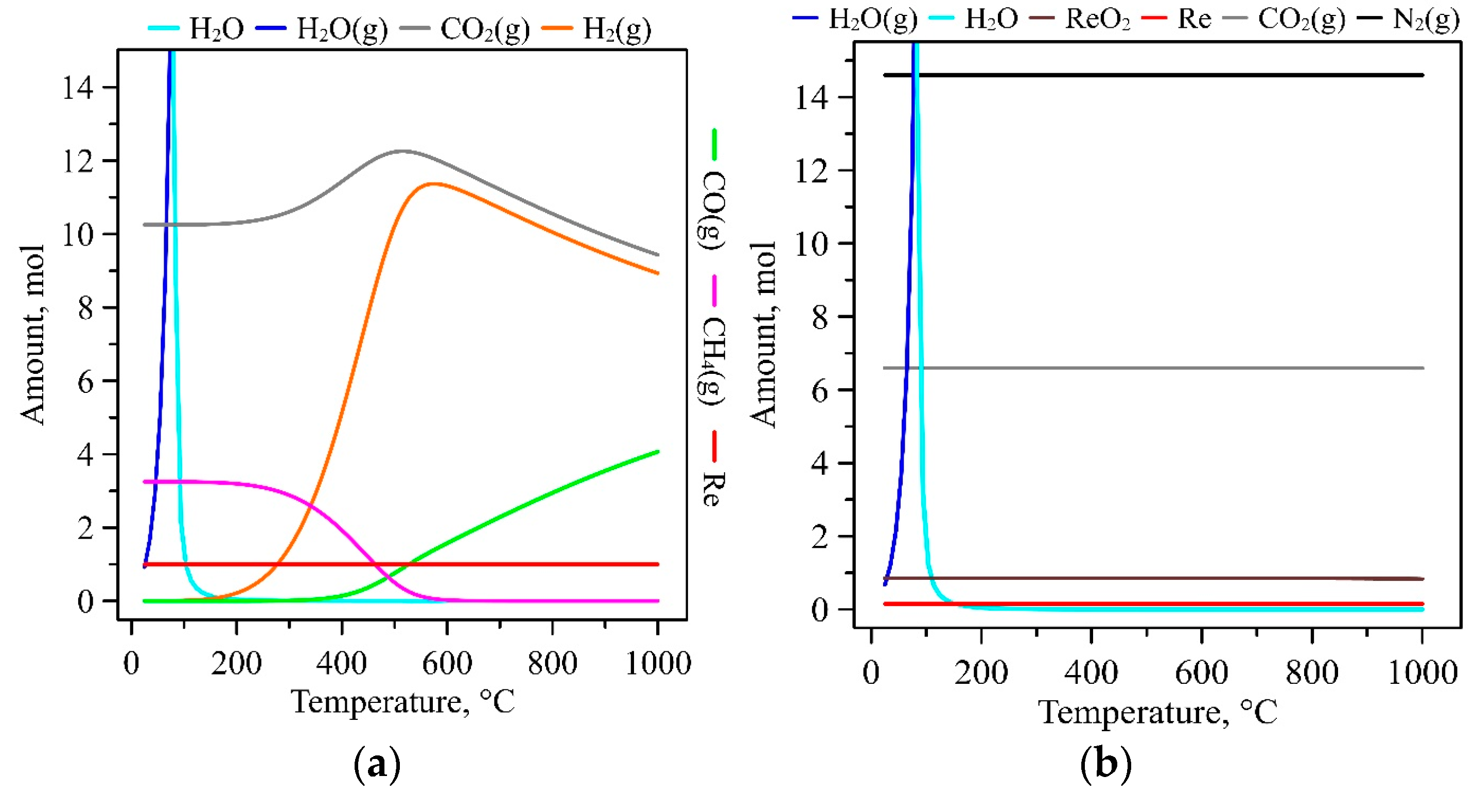
To assess the equilibrium composition of the combustion products, thermodynamic modeling was carried out using a small excess of fuel (φ = 1.25, composition 5, Table 1) to establish a reducing atmosphere. The results of the calculations (Figure 1a) indicate that metallic rhenium is the primary product of the reduction of ammonium perrhenate over the entire temperature range (25–1000 °C).
Figure 1.
Results of equilibrium composition during the SCS process: (a) φ = 1.25, (b) φ = 0.4.
In contrast, when the system is modeled with a significant excess of oxidizing agents (φ = 0.4, sample 1, Table 1), the predominant reduction product of ammonium perrhenate is rhenium dioxide, with a minor amount of metallic rhenium present across the entire temperature range (Figure 1b). The presence of ReO₂ in the reaction products suggests that, under oxidizing conditions, the majority of ammonium perrhenate undergoes thermal decomposition or is oxidized. The formation of metallic rhenium, even under a clear shortage of reducing agents, implies that rhenium may act as an oxidizer during the combustion process, analogous to molybdenum []. However, while molybdenum typically reduces from +6 to +4, rhenium, in this case, may reduce from +7 to 0, yielding metallic rhenium.
3.2. Thermal Decomposition of NH4ReO4
The thermal decomposition of ammonium perrhenate in an oxygen-free inert atmosphere was studied in detail. Heating NH4ReO4 in argon revealed the absence of adsorbed moisture, as indicated by the constant mass of the sample between 25 and 300 °C. Two significant thermal events were observed: an endothermic peak at 428 °C and an exothermic peak at 465 °C. Additionally, two smaller effects were observed, corresponding to slight inflections on the DSC curve at 385 °C (endothermic) and 513 °C (exothermic) (Figure 2a). The TGA analysis (Figure 2b) revealed four distinct sections with varying rates of mass change, which became more pronounced when plotting the rate of mass change (differential thermal gravimetric analysis—DTG). These results suggest four main processes during the decomposition of ammonium perrhenate in argon, including the formation of rhenium trioxide, its further decomposition to rhenium dioxide, the polymorphic transformation of ReO2 from the monoclinic to orthorhombic phase, and the final reduction of ReO2 to metallic rhenium.
Figure 2.
(a) DTA-TGA and (b) DTG analysis of NH4ReO4 in an argon atmosphere.
The observed mechanisms were confirmed through additional experiments conducted in a tube furnace under an argon atmosphere. Due to the slow cooling rates (<1 °C/min), it was not possible to obtain single-phase rhenium oxide samples. However, the phase composition of the resulting mixture was consistent with the proposed decomposition pathway (Figure 3).
Figure 3.
XRD pattern of NH4ReO4 decomposition products.
The general decomposition pathway is in agreement with previous reports [], although our results suggest a more complex multi-stage process, which is evident in the differential thermogravimetric curve. Notably, the mass change rates for the monoclinic and orthorhombic phases of ReO2 differ significantly. The orthorhombic phase exhibits a very slow rate of mass change, indicating an extremely slow release of oxygen, while the monoclinic phase decomposes more rapidly.
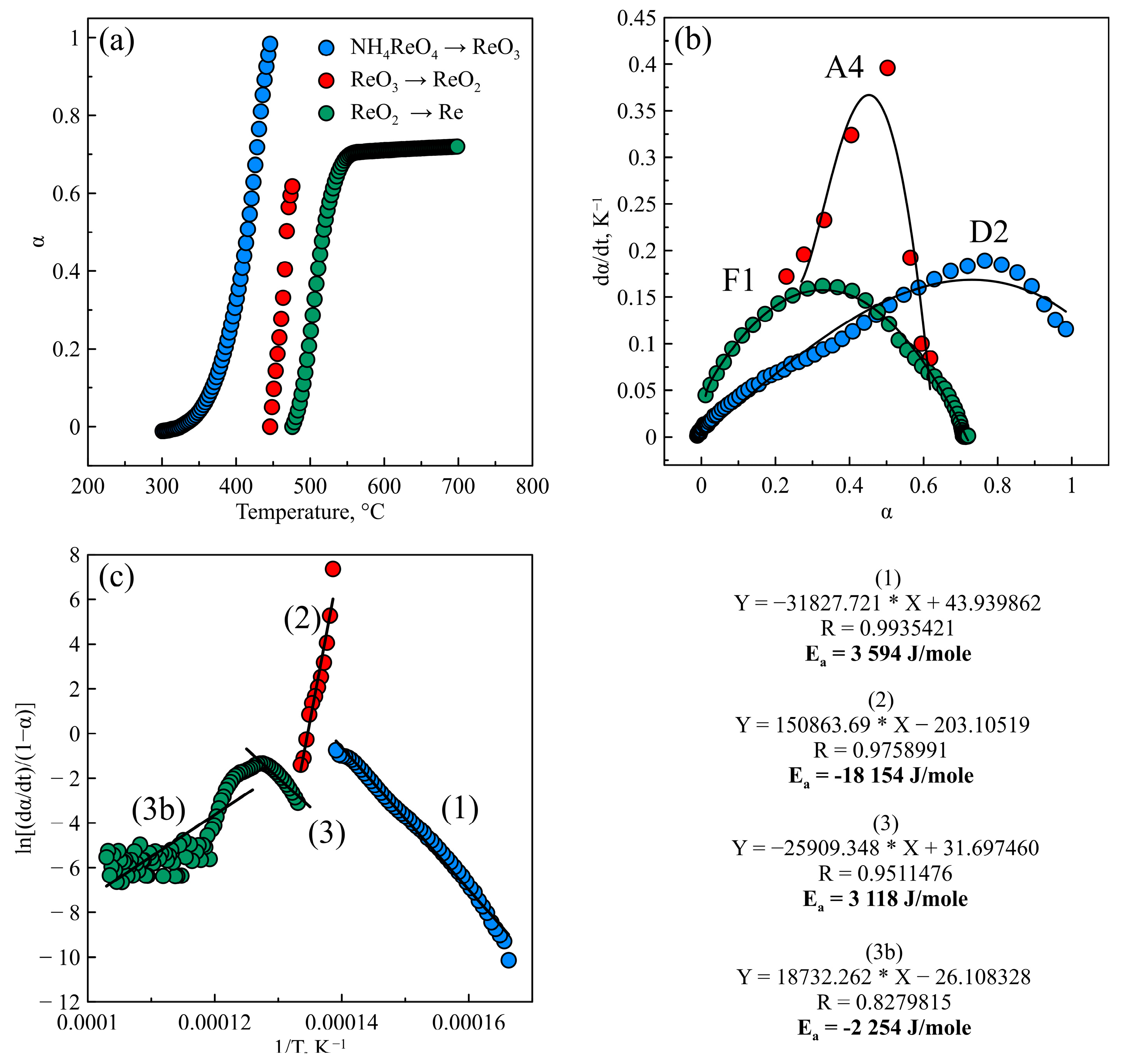
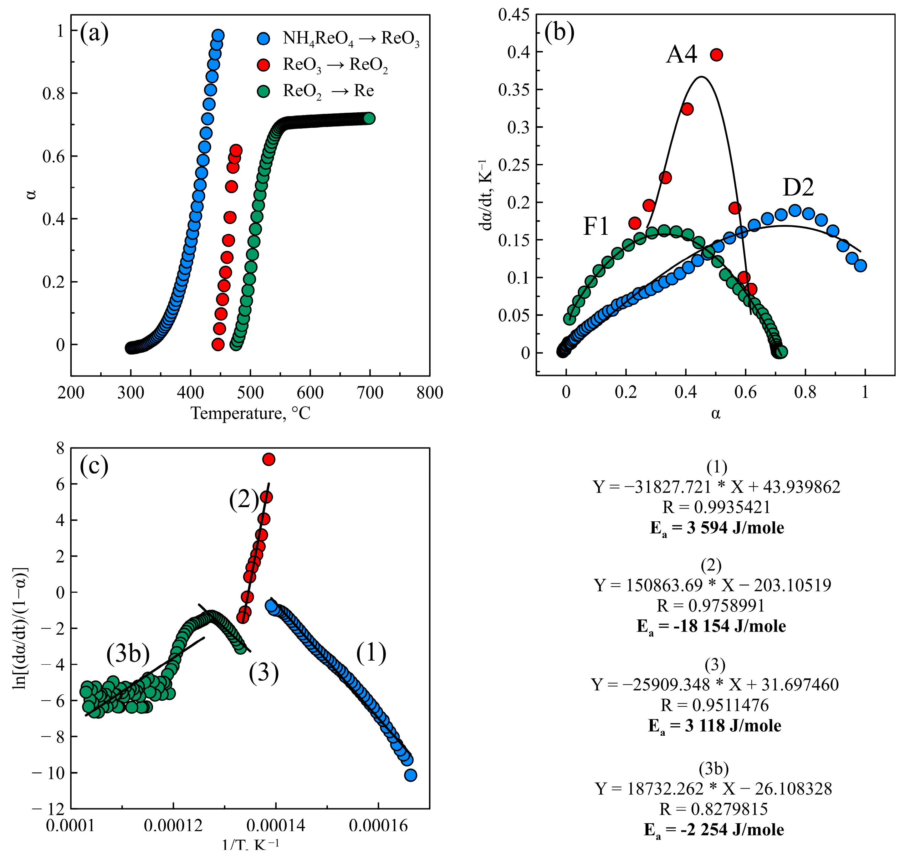
Given the complexity of the thermal decomposition process, the analysis of the kinetics of the solid-phase reactions was carried out. The entire decomposition process can be divided into three stages, each accompanied by a change in the sample mass (Equations (11)–(13)). The temperature-dependent yield (α) is shown in Figure 4a. To select the most accurate models for describing the experimental data, we used Equation (14) for fitting:
where dα/dT is the reaction rate under non-isothermal conditions, β is the heating rate, A is the pre-exponential factor, Ea is the activation energy, T is the absolute temperature, R is the gas constant, and f(α) is the reaction model []. The differing nature of the obtained dependences reflects the various limiting factors of the reaction.
Figure 4.
Non-isothermal (a) α, (b) dα/dT, (c) Arrhenius plots for NH4ReO4 decomposition in argon atmosphere.
The first stage of ammonium perrhenate decomposition corresponds to the diffusion-controlled reaction. The decomposition of ReO3 follows the Avrami-Erofeyev nucleation model, while the formation of metallic rhenium proceeds according to a reaction-order model. Interestingly, diffusion appears to be the main limiting factor in the decomposition of ammonium perrhenate, likely due to the formation of a product layer (ReO₃) on the surface of the particles, which hinders further decomposition.
The best fit for the second process was obtained using the A4 model based on nucleus growth by absorbing existing nuclei through ingestion or coalescence. This suggests that crystallite growth occurs as a result of the reduction of ReO3 to ReO2, which is consistent with the industrial reduction of ammonium perrhenate using hydrogen.
The final stage, the decomposition of rhenium dioxide, is best described by the simple reaction-order model. This is typical for homogeneous processes, and the reaction is considered first-order (F1), which is a special case of the Avrami-Erofeyev model []. It can be assumed that at this stage, the size of the metallic rhenium particles increases relative to the initial rhenium oxide.
By logarithmically transforming Equation (14), we can determine the activation energy for each process (Figure 4c) []:
The first two processes exhibit a nearly linear relationship, which supports the validity of the selected models. Notably, the activation energy for the decomposition of ammonium perrhenate to rhenium trioxide is positive (3.6 kJ/mol), whereas the formation of rhenium dioxide is associated with a negative activation energy (−18.2 kJ/mol). The latter process involves the polymorphic transformation of rhenium dioxide from its low-temperature monoclinic form to the high-temperature orthorhombic phase, which is also well-described by a linear relationship. In contrast, the oxygen release into the gas phase is less accurately described, likely due to the simultaneous reduction of both rhenium dioxide phases (Figure 4c). It is also noteworthy that the activation energy for the decomposition of rhenium dioxide is positive for the polymorphic transformation but becomes negative for the process of oxygen release into the gas phase.
3.3. Investigation of the Reaction Mechanism via the SCS Method
To assess the combustion reactions during solution combustion synthesis (SCS), it is essential to investigate the process under varying fuel-to-oxidizer ratios (φ), covering conditions of excess oxidizer (φ < 1), stoichiometric combustion (φ = 1) and excess reducing agent (φ > 1). Glucose was selected as the fuel due to its ability to form stable complexes with rhenium [], chelating the metal and forming a gel that ignites upon thermal decomposition. Glycine and urea were considered additional fuels to enhance the combustion intensity and temperature. While glycine did not contribute significantly to the combustion reaction near stoichiometric conditions (φ = 1), intense combustion was observed with urea. To optimize the chelating ability of the fuel mixture, a glucose-to-urea molar ratio of 2:1.5 was used.
The reaction mechanism of metallic rhenium synthesis by SCS was experimentally investigated by measuring the combustion temperatures of samples at different φ values. It is well-established that the stoichiometric ratio of oxidizing agents and fuels (Equation (16), φ = 1) corresponds to the highest combustion temperature. Deviations from this ratio, resulting in excess fuel or oxidizer, lead to thermal decomposition of the excess component, an endothermic process that lowers the overall combustion temperature. Figure 5 presents the experimental temperature profiles for the reaction of ammonium perrhenate with a mixed fuel (glucose and urea in a 2:1.5 ratio). The stoichiometric combustion (φ = 1) can be represented by the following reaction:
∆G0 = −8798 kJ/mole at 200 °C
Figure 5.
Effect of fuel content on combustion temperature.
Interestingly, unlike typical SCS reactions where nitrate ions primarily act as oxidizing agents and metal cations retain their oxidation state or are oxidized, in this case, Re7+ also acts as an oxidizer. Excluding the reactions where Re7+ functions as an oxidizer (Reactions (17) and (18)), the maximum combustion temperature shifts to the region with an excess oxidizer (φ < 1), implying an oxidant-deficient environment. However, when the reduction of Re7+ to metallic Re0 is considered, the maximum temperature aligns with the stoichiometric condition (φ = 1), as expected from thermodynamic principles. This suggests that during combustion, rhenium is reduced to Re0 rather than being reduced by the gases released, as previously assumed. A similar behavior has been observed in the case of another highly charged metal, molybdenum [].
Theoretical calculations of the adiabatic temperature of SCS reactions, based on the methodology described by Varma et al. [], suggest a maximum combustion temperature of approximately 1600 °C (Figure 5). The discrepancy between the experimental and theoretical temperature values can be attributed to heat losses through the end part and walls of the glass container during combustion []. However, both experimental and theoretical results indicate that the maximum combustion temperature corresponds to the same sample composition, reinforcing the active role of Re7+ in the combustion reaction.
In traditionally calculated adiabatic temperature profiles, the temperature continues to rise for φ values exceeding 1, reflecting the oxidation of excess fuel—an unrealistic scenario in practical conditions. To address this discrepancy, endothermic reactions related to the thermal decomposition of glucose and urea (Reactions (8)–(10)) were incorporated into the adiabatic temperature calculations for φ > 1, thereby yielding a more accurate depiction of the experimental observations.
3.4. Phase Composition
Samples with the highest combustion temperatures (φ = 1 and φ = 1.25) exhibited the highest crystallinity, with narrow diffraction peaks of high intensity in their XRD patterns, corresponding to metallic rhenium (Figure 6). In contrast, with increasing fuel content, i.e., a more reducing atmosphere during combustion, the intensity of the diffraction peaks decreased, accompanied by a reduction in combustion temperature. Additionally, diffraction peaks associated with impurity rhenium oxides (ReO2 and ReO3) appeared. This behavior can be attributed to the presence of excess fuel, which induces parallel endothermic decomposition reactions that consume part of the released energy, thereby lowering both the combustion temperature and the crystallinity of the sample. Lower temperatures during combustion may also impede the complete reduction of rhenium, leading to the presence of its oxide phases.
Figure 6.
XRD patterns of SCS products.
Crystallite size, as determined by the Scherrer method, decreased from 31.03 nm to 13.39 nm (Figure 7) within combustion temperature reduction, simultaneously with the formation of ReO2 and ReO3 nanoparticles. The increase in fuel content and subsequent decrease in combustion temperature resulted in an incomplete reduction of Re7+ to Re0, leading to the presence of intermediate reduction products (Re4+ and Re6+) and a decrease in crystallite size due to the additional gases formed.
Figure 7.
Crystallite size of SCS products.
3.5. Chemical Composition
To evaluate the content of unreacted organic impurities (unburned glucose and/or urea) in the synthesized rhenium powders, samples were heated to 250 °C in a vacuum. For samples with φ significantly different from 1 (more than ±0.2), a considerable mass loss (5.5 ± 0.4%) was observed, attributed to the thermolysis of unreacted organic compounds (Figure 8). In contrast, for samples near the stoichiometric ratio (φ = 1), the mass loss did not exceed 0.5%, indicating minimal organic impurities. Notably, the high temperature of the process was not a fundamental requirement for achieving a low organic impurity content. The combustion temperature at φ = 1.25, for example, was higher than that at φ = 0.8. A small fuel shortage (φ slightly less than 1) resulted in better outcomes for the synthesis of metallic rhenium, in contrast with the other metals studied [,,].
Figure 8.
SCS products weight loss after post-heat treatment.
The DSC/TGA analysis of the rhenium metal powder synthesized at φ = 0.8, conducted in both argon and air atmospheres, revealed a primary endothermic effect associated with the absorbed moisture removal and decomposition of unreacted organics up to 150 °C. Further temperature increases led to a strong exothermic effect caused by the oxidation of metallic rhenium to Re2O7 (Figure 9a), followed by its sublimation (Figure 9b). Notably, the exothermic oxidation reaction produced a significantly larger effect than the endothermic sublimation process, which remained largely undetectable by DSC but was confirmed by an almost complete mass loss in the TGA analysis. The mass loss in the argon atmosphere was likely due to the reduction of amorphous rhenium oxides remaining after combustion. A more precise determination of the chemical composition of the powders after SCS will be addressed in future studies.
Figure 9.
(a) DSC and (b) TGA analysis of Re powder obtained via SCS at φ = 0.8.
3.6. Microstructure of Samples
Scanning electron microscopy (SEM) analysis of the synthesized rhenium samples revealed the presence of large agglomerates composed of primary particles, a characteristic feature commonly observed in materials synthesized via the solution combustion synthesis (SCS) method (Figure 10). The microstructure exhibited a notable increase in porosity with higher fuel content, corresponding to increased oxidizer-to-fuel ratios (φ values). This trend is attributed to the larger volumes of gas released during combustion, resulting from the higher content of organic compounds in the precursor solution.

Figure 10.
SEM images of samples obtained via SCS with φ = (a) 0.4, (b) 0.8, (c) 1.0, (d) 1.2, (e) 1.3, (f) 1.5, (g) 1.7.
At φ values significantly deviating from unity (±0.3), the combustion temperature was found to decrease substantially, leading to the formation of side phases such as rhenium oxides. Under these conditions, nanodispersed particles were observed to deposit on floccular structures (Figure 10a,e,f). Conversely, higher combustion temperatures promoted the formation of denser, angular metal particles (Figure 10b–d), while lower temperatures (<600 °C) resulted in the formation of softer, less-defined particles. This behavior is likely due to variations in the organic impurity content: at 0.8 < φ < 1.2, a lower concentration of residual unburned gel was observed, which contributed to the distinct morphological differences between particles synthesized under varying conditions.
Submicron spherical particles were observed in several samples (e.g., Figure 10c–f), a morphology that can be linked to the dynamics of gas release during gelation. The gases released are absorbed by the polymer gel, which may act as a template, forming spherical “bubbles” within the particles. Similar phenomena have been reported in studies of molybdenum synthesized via SCS, where the release and entrapment of gases during combustion played a crucial role in determining particle morphology [].
The morphology of SCS-synthesized particles demonstrates a strong dependence on the combustion temperature. At higher combustion temperatures, increased energy availability promotes rapid nucleation and growth, leading to the formation of angular or faceted particles with reduced porosity. In contrast, lower combustion temperatures result in incomplete combustion, leaving residual organic materials that contribute to softer and more porous particles. Additionally, the temperature influences the kinetics of gas release during combustion, which directly impacts the size, shape, and uniformity of the particles. These observations highlight the importance of optimizing combustion parameters, particularly φ and temperature, to tailor the morphology and properties of SCS-derived materials.
4. Conclusions
This study investigates the synthesis of metallic rhenium via the solution combustion synthesis (SCS) method, focusing on thermodynamic, kinetic, and structural aspects. The findings highlight the critical role of the fuel-to-oxidizer ratio (φ) in determining phase composition, combustion temperature, and reduction efficiency. Under stoichiometric conditions (φ = 1), metallic rhenium is predominantly formed, with minimal impurities, while deviations from stoichiometry lead to incomplete reduction and the formation of rhenium oxides.
Thermodynamic modeling confirmed that a reducing atmosphere favors the complete reduction of rhenium, with pyrolysis gases (e.g., H2, CH4, CO) playing a key role in oxide reduction. Kinetic studies revealed a multi-step reduction process involving intermediate oxides (ReO3 and ReO2), culminating in metallic rhenium. Structural analysis demonstrated that higher fuel content increases porosity and reduces particle size due to gas evolution during combustion.
In conclusion, optimizing the fuel-to-oxidizer ratio is essential for achieving high-purity metallic rhenium via SCS. This work enhances the understanding of the complex reduction mechanisms in rhenium synthesis and lays the groundwork for further refinement of process parameters to improve scalability and product quality.
Author Contributions
Conceptualization, R.S.; methodology, R.S. and A.A.P.; validation, R.S. and A.A.P.; formal analysis, R.S.; investigation, R.S. and A.A.P.; resources, R.S.; data curation, R.S. and A.A.P.; writing—original draft preparation, A.A.P.; writing—review and editing, R.S.; visualization, A.A.P. and R.S.; supervision, R.S.; funding acquisition, R.S. All authors have read and agreed to the published version of the manuscript.
Funding
This research was funded by a state assignment of the Institute of Solid State Chemistry Ural Branch of the Russian Academy, grant number 124020600004-7.
Data Availability Statement
The raw data supporting the conclusions of this article will be made available by the authors upon request due to privacy.
Conflicts of Interest
The authors declare no conflicts of interest.
Abbreviations
The following abbreviations are used in this manuscript:
| SCS | Solution combustion synthesis |
| DSC | Differential scanning calorimetry |
| TGA | Thermal gravimetric analysis |
| DTG | Differential gravimetric analysis |
| XRD | X-Ray diffraction |
| SEM | Scanning electron microscopy |
References
- Wang, J.; Bai, S.; Ye, Y.; Zhang, H.; Zhu, L. Microstructure and Mechanical Properties of Rhenium Prepared by Electroforming in NaCl-KCl-CsCl-K2ReCl6 Molten Salts. Int. J. Refract. Met. Hard Mater. 2018, 72, 263–269. [Google Scholar] [CrossRef]
- Millensifer, T.A.; Sinclair, D.; Jonasson, I.; Lipmann, A. Rhenium. In Critical Metals Handbook; Wiley Online Library: Minneapolis, MN, USA, 2013; pp. 340–360. [Google Scholar] [CrossRef]
- Tang, J.; Sun, Y.; Zhang, C.; Wang, L.; Zhou, Y.; Fang, D.; Liu, Y. Reaction Mechanism and Process Control of Hydrogen Reduction of Ammonium Perrhenate. Metals 2020, 10, 640. [Google Scholar] [CrossRef]
- Sharif Javaherian, S.; Aghajani, H.; Tavakoli, H. Investigation on Ammonium Perrhenate Behaviour in Nitrogen, Argon and Hydrogen Atmosphere as a Part of Rhenium Extraction Process. In Mineral Processing and Extractive Metallurgy; Sage: Washington, DC, USA, 2018; Volume 127, pp. 182–188. [Google Scholar] [CrossRef]
- Malekpouri, B.; Ahammed, K.; Huang, Q. Electrodeposition and Superconductivity of Rhenium-Iron Alloy Films from Water-in-Salt Electrolytes. J. Alloys Compd. 2022, 912, 165077. [Google Scholar] [CrossRef]
- Zhulikov, V.V.; Gamburg, Y.D. Electrodeposition of Rhenium and Its Alloys. Russ. J. Electrochem. 2016, 52, 847–857. [Google Scholar] [CrossRef]
- Bai, M.; Liu, Z.H.; Zhou, L.J.; Liu, Z.Y.; Zhang, C.F. Preparation of Ultrafine Rhenium Powders by CVD Hydrogen Reduction of Volatile Rhenium Oxides. Trans. Nonferrous Met. Soc. China 2013, 23, 538–542. [Google Scholar] [CrossRef]
- Ranjbar Bahadori, S.; Hart, R.; Hao, Y.W. Synthesis of Cobalt, Palladium, and Rhenium Nanoparticles. Tungsten 2020, 2, 261–288. [Google Scholar] [CrossRef]
- Wang, Y.; Liu, W.; Yuan, J.; Tang, J. A Novel Method for Preparing Ultrafine Molybdenum-rhenium Alloy Powders. Int. J. Refract. Met. Hard Mater. 2023, 117, 106429. [Google Scholar] [CrossRef]
- Dobrzańska-Danikiewicz, A.D.; Wolany, W. A Rhenium Review—From Discovery to Novel Applications. Arch. Mater. Sci. Eng. 2016, 82, 70–78. [Google Scholar] [CrossRef]
- Deganello, F.; Tyagi, A.K. Solution Combustion Synthesis, Energy and Environment: Best Parameters for Better Materials. Prog. Cryst. Growth Charact. Mater. 2018, 64, 23–61. [Google Scholar] [CrossRef]
- Carlos, E.; Martins, R.; Fortunato, E.; Branquinho, R. Solution Combustion Synthesis: Towards a Sustainable Approach for Metal Oxides. Chem. A Eur. J. 2020, 26, 9099–9125. [Google Scholar] [CrossRef]
- Varma, A.; Mukasyan, A.S.; Rogachev, A.S.; Manukyan, K.V. Solution Combustion Synthesis of Nanoscale Materials. Chem. Rev. 2016, 116, 14493–14586. [Google Scholar] [CrossRef] [PubMed]
- Manukyan, K.V.; Cross, A.; Roslyakov, S.; Rouvimov, S.; Rogachev, A.S.; Wolf, E.E.; Mukasyan, A.S. Solution Combustion Synthesis of Nano-Crystalline Metallic Materials: Mechanistic Studies. J. Phys. Chem. C 2013, 117, 24417–24427. [Google Scholar] [CrossRef]
- González-Cortés, S.L.; Imbert, F.E. Fundamentals, Properties and Applications of Solid Catalysts Prepared by Solution Combustion Synthesis (SCS). Appl. Catal. A Gen. 2013, 452, 117–131. [Google Scholar] [CrossRef]
- Tadić, M.; Marković, D.; Panjan, M.; Spasojević, V. Solution Combustion Synthesis Method and Magnetic Properties of Synthesized Polycrystalline Calcium Manganite CaMnO3−δ Powder. Ceram. Int. 2016, 42, 19365–19371. [Google Scholar] [CrossRef]
- Sherikar, B.N.; Sahoo, B.; Umarji, A.M. One-Step Synthesis of Diopside (CaMgSi2O6) Ceramic Powder by Solution Combustion Method. Adv. Powder Technol. 2020, 31, 3492–3499. [Google Scholar] [CrossRef]
- Han, C.G.; Zhu, C.; Saito, G.; Akiyama, T. Glycine/Sucrose-Based Solution Combustion Synthesis of High-Purity LiMn2O4 with Improved Yield as Cathode Materials for Lithium-Ion Batteries. Adv. Powder Technol. 2015, 26, 665–671. [Google Scholar] [CrossRef]
- Podbolotov, K.B.; Khort, A.A.; Tarasov, A.B.; Trusov, G.V.; Roslyakov, S.I.; Mukasyan, A.S. Solution Combustion Synthesis of Copper Nanopowders: The Fuel Effect. Combust. Sci. Technol. 2017, 189, 1878–1890. [Google Scholar] [CrossRef]
- Roslyakov, S.I.; Kovalev, D.Y.; Rogachev, A.S.; Manukyan, K.; Mukasyan, A.S. Solution Combustion Synthesis: Dynamics of Phase Formation for Highly Porous Nickel. Dokl. Phys. Chem. 2013, 449, 48–51. [Google Scholar] [CrossRef]
- Paryshev, A.A.; Shishkin, R.A.; Eltsov, O.S. Thermodynamic Analysis and Synthesis of Metallic Molybdenum Powder via the Solution Combustion Synthesis Process. Combust. Sci. Technol. 2025, 1–21. [Google Scholar] [CrossRef]
- Fantin, A.; Scherb, T.; Seeger, J.; Schumacher, G.; Gerhards, U.; Ivanova, M.E.; Meulenberg, W.A.; Dittmeyer, R.; Banhart, J. Relation between Composition and Vacant Oxygen Sites in the Mixed Ionic-Electronic Conductors La5.4W1−yMyO12−δ (M = Mo, Re; 0 ≤ y ≤ 0.2) and Their Mother Compound La6−xWO12−δ (0.4 ≤ x ≤ 0.8). Solid. State Ion. 2017, 306, 104–111. [Google Scholar] [CrossRef]
- Kingsley, J.J.; Suresh, K.; Patil, K.C. Methods for Synthesizing High Purity Niobium or Rhenium Powders. J. Mater. Sci. 2017, 25, 1305–1312. [Google Scholar] [CrossRef]
- Zhuravlev, V.D.; Bamburov, V.G.; Beketov, A.R.; Perelyaeva, L.A.; Baklanova, I.V.; Sivtsova, O.V.; Vasil’Ev, V.G.; Vladimirova, E.V.; Shevchenko, V.G.; Grigorov, I.G. Solution Combustion Synthesis of α-Al2O3 Using Urea. Ceram. Int. 2013, 39, 1379–1384. [Google Scholar] [CrossRef]
- Khawam, A.; Flanagan, D.R. Solid-State Kinetic Models: Basics and Mathematical Fundamentals. J. Phys. Chem. B 2006, 110, 17315–17328. [Google Scholar] [CrossRef] [PubMed]
- Pérez-Maqueda, L.A.; Criado, J.M.; Sánchez-Jiménez, P.E. Combined Kinetic Analysis of Solid-State Reactions: A Powerful Tool for the Simultaneous Determination of Kinetic Parameters and the Kinetic Model without Previous Assumptions on the Reaction Mechanism. J. Phys. Chem. A 2006, 110, 12456–12462. [Google Scholar] [CrossRef] [PubMed]
- Schibli, R.; Dumas, C.; Petrig, J.; Spadola, L.; Scapozza, L.; Garcia-Garayoa, E.; Schubiger, P.A. Synthesis and in Vitro Characterization of Organometallic Rhenium and Technetium Glucose Complexes against Glut 1 and Hexokinase. Bioconjug. Chem. 2004, 16, 105–112. [Google Scholar] [CrossRef]
Disclaimer/Publisher’s Note: The statements, opinions and data contained in all publications are solely those of the individual author(s) and contributor(s) and not of MDPI and/or the editor(s). MDPI and/or the editor(s) disclaim responsibility for any injury to people or property resulting from any ideas, methods, instructions or products referred to in the content. |
© 2025 by the authors. Licensee MDPI, Basel, Switzerland. This article is an open access article distributed under the terms and conditions of the Creative Commons Attribution (CC BY) license (https://creativecommons.org/licenses/by/4.0/).