Next Article in Journal
Calcification Roasting-Microwave Acid Leaching of Vanadium from Vanadium-Bearing Steel Slag
Previous Article in Journal
Recent Advances in MoS2-Based Nanocomposites: Synthesis, Structural Features, and Electrochemical Applications
 
 
Font Type:
Arial Georgia Verdana
Font Size:
Aa Aa Aa
Line Spacing:
Column Width:
Background:
Article

Experimental Study on the Influence of Waste Stone Powder on the Properties of Alkali-Activated Slag/Metakaolin Cementitious Materials

1
School of Architecture and Electrical Engineering, Hezhou University, Hezhou 542899, China
2
School of Civil and Hydraulic Engineering, Ningxia University, Yinchuan 750021, China
3
Ningxia Center for Research on Earthquake Protection and Disaster Mitigation in Civil Engineering, Yinchuan 750021, China
4
Guangxi University Engineering Research Center for Green and Low-Carbon Urban Regeneration Construction, Hezhou 542899, China
*
Author to whom correspondence should be addressed.
Crystals 2025, 15(12), 1039; https://doi.org/10.3390/cryst15121039
Submission received: 3 November 2025 / Revised: 28 November 2025 / Accepted: 2 December 2025 / Published: 4 December 2025
(This article belongs to the Section Inorganic Crystalline Materials)

Abstract

Waste stone powder, as a solid waste resource, is characterized by its large volume, wide distribution, and low utilization rate. Its resource utilization is one of the important approaches to achieving closed-loop recycling development in the stone industry. This study aims to utilize waste stone powder as a mineral admixture in the preparation of alkali-activated cementitious materials, investigating the influence of parameters such as waste stone powder content, water-binder ratio, and Na2O content on the mechanical properties, fluidity, setting time, and shrinkage behavior of the cementitious materials. The results indicate that both waste stone powder and the water-binder ratio can effectively improve the setting time and fluidity of the paste. However, higher waste stone powder content leads to more severe shrinkage, and a calculation model for material shrinkage was established. The optimal mechanical properties for alkali-activated slag samples were achieved with a Na2O content of 8%, waste stone powder content of 16%, and a water-binder ratio of 0.45. For alkali-activated metakaolin samples, a waste stone powder content of 16% resulted in superior mechanical performance. Furthermore, the failure of all material samples was brittle, primarily exhibiting typical splitting failure. Based on damage theory, a calculation model for the load–displacement curve of the material was developed, providing reference and support for further research and application of this material

1. Introduction

The resource utilization of solid waste can reduce environmental pollution, enhance the economic value of waste materials, and conserve resources, serving as one of the important pathways for achieving sustainable development [1]. Against the backdrop of global carbon neutrality goals, the expansion of infrastructure has directly intensified the exploitation of natural resources. Consequently, the preparation of construction materials through the harmless treatment of solid waste has become a future development trend. Stone powder, as the largest solid waste byproduct of the stone industry, has limited utilization pathways and low recycling rates, leading to environmental pollution issues that constrain the development of the stone industry [2,3]. Alkali-activated materials refer to cementitious materials formed through the reaction of raw materials containing active aluminosilicates under alkali activation, resulting in an amorphous network structure. These materials represent a new type of green, low-carbon, and environmentally friendly construction material [4]. Taking alkali-activated materials as a starting point, the harmless and resourceful utilization of waste stone powder in such materials to produce green, low-carbon building materials holds significant importance [5,6].
In recent years, with the continuous development of alkali-activated cementitious materials, some scholars have conducted performance studies on alkali-activated materials prepared by combining stone powder with raw materials such as slag. Ye et al. [7] investigated the influence of dolomite powder on the properties of alkali-activated slag (AAS) composites. In the AAS system, dolomite powder primarily acted as an inert filler, with no substantial impact on the chemical properties of the reaction products. Zhu et al. [8] explored the effect of limestone powder (LS) on the performance of AAS. The results showed that adding 50% LS improved the fluidity and setting time of the AAS paste but reduced the overall drying shrinkage of AAS mortar. Bayiha et al. [9] demonstrated that limestone powder exerted a retarding effect in geopolymers, with higher dosages leading to more pronounced delays in initial setting time. When the limestone powder content reached 45%, it positively contributed to the material’s strength. Li et al. [10] found that limestone and tuff powders shortened the paste’s setting time, while stone powders with different specific surface areas could potentially reduce the drying shrinkage of mixed mortar. Wang et al. [11] reported that marble waste powder effectively improved slurry fluidity, and the alkali modulus significantly influenced the compressive strength of the cementitious material, with a lower alkali modulus favoring higher compressive strength. Nguyen et al. [12] studied self-compacting slag-cement mortar (SCM) prepared by partially replacing slag with dolomite powder (DP). With ordinary Portland cement (OPC) accounting for 50% of the total powder mass, different DP-to-slag ratios were examined to assess DPs’ impact on modified SCM performance. The results indicated that incorporating DP as a slag substitute enhanced the workability of modified SCM. Increasing DP content slightly reduced the peak and cumulative heat release of hydration in modified slag-cement paste within 24 h. Over time, the addition of DP decreased the compressive strength of modified SCM. Particle size distribution analysis suggested that replacing 30–50% of slag with DP was optimal for improving the microstructure of hardened mortar. Perná et al. [13] comprehensively characterized five types of waste stone powders (feldspar, limestone, marl, dolomite, and marble) and investigated their effects on metakaolin-based geopolymer composites. They found that waste stone powders only marginally improved the mechanical or structural properties of geopolymers but significantly reduced their setting time. Liu et al. [14] attempted to upgrade coal gangue powder (CGF) calcined at 800 °C as a partial substitute for slag in preparing alkali-activated cement (AAC). The AAC incorporating CGF exhibited significant advantages in compressive strength and hydration products. When the CGF content was 10%, the 3d, 7d, and 28d compressive strengths of AAC increased by 8%, 25%, and 13%, respectively. Furthermore, in the study by Çakmak et al. [15] on the effect of obsidian powder on the properties of cement-based materials, a 30% obsidian powder content resulted in a 28-day compressive strength of 44.331 MPa, demonstrating enhanced mechanical performance compared to pure cement materials. Research by Barış [16] on marble powder (MP) in alkali-activated waste clay brick (WCB) systems revealed that the maximum compressive strength was achieved with a mix proportion of 25% WCB and 75% MP. Additionally, Biel et al. [17] investigated the alkaline activation of kaolin group minerals and found that alkali-activated metahalloysite yields superior mechanical properties to metakaolin-based materials.
In summary, while the utilization of stone powder to enhance the properties of alkali-activated materials has demonstrated considerable effectiveness, existing research primarily focuses on fundamental mechanical strength and microstructural analysis. The performance of alkali-activated materials is significantly influenced by raw materials, and there is limited research on the mechanical behavior throughout the entire compression process and properties such as shrinkage of multi-composite alkali-activated cementitious materials incorporating waste stone powder. In particular, studies on the load–displacement relationship under compression and shrinkage models of such cementitious materials are rarely reported. This study employs slag and metakaolin as the primary base materials and utilizes waste stone powder to partially replace them, producing composite alkali-activated slag/metakaolin cementitious materials. It investigates the influence of key variables—including waste stone powder content, Na2O content, and base material type-on drying shrinkage, workability, and mechanical behavior. Furthermore, a computational model for the load–displacement curve under mechanical stress is established for these materials. The findings aim to provide a reference and support the advancement of large-scale application research on waste stone powder in alkali-activated materials.

2. Experimental Scheme

2.1. Raw Materials

2.1.1. Powder Raw Materials

The waste stone powder used in this study was derived from marble solid waste, presenting a white coloration with an average particle size of 23 μm and a density of 3.1 g/cm3. The slag material consisted of commercially available S95 grade ground granulated blast furnace slag (GGBS), exhibiting a density of 2.90 g/cm3 and specific surface area of 430 m2/kg. Metakaolin was procured as a commercial powder product with an average particle size of 10 μm, density of 1.20 g/cm3, and calcination temperature range of 600–800 °C. Figure 1 displays the three distinct main powder raw materials, while their principal chemical compositions are summarized in Table 1.

2.1.2. Alkali Activator Materials

The alkaline activator used in the experiments was prepared by combining sodium silicate (water glass), NaOH, and water. The chemical formula of sodium silicate is R2O·nSiO2, where R2O represents alkali metal oxide, and n denotes the modulus of the water glass. The sodium silicate used in the tests contained sodium (Na) as the alkali metal and was commercially available liquid Na2SiO3·9H2O, with technical specifications provided by the manufacturer in Table 2. The NaOH was industrial-grade flake alkali, with a purity of ≥99%, purchased in packaged form. The water used was standard municipal drinking tap water.

2.2. Experimental Design

2.2.1. Material Mix Proportion

The study employed slag and metakaolin as the base powder materials. A total of 20 test groups were designed by varying the parameters waste stone powder content, slag and metakaolin content, Na2O content, and W/B. The investigation focused on analyzing the effects of these parameters on setting time, fluidity, load–displacement curves, and shrinkage characteristics of the waste stone powder-alkali-activated slag composite cementitious material. The detailed experimental design parameters and mix proportions are presented in Table 3. The experiment number designation system in Table 3 is deciphered as follows, using the example of F1.2G0N-8; F1.2 is the modulus (silicate ratio) of the alkali-activator. G is the ground granulated blast furnace slag (GGBS). 0 is the incorporation rate (0%) of waste stone powder. N is the water-to-binder ratio of 0.45. 8 is the Na2O content (8% by mass of the binder).

2.2.2. Specimen Preparation Process

First, the alkali activator was prepared by accurately weighing and mixing water glass, NaOH, and water according to the proportions specified in Table 3. The prepared activator solution was then sealed and aged for 24 h before use. Next, the solid powder materials were weighed according to the designed mix proportions. The dry powders were first placed in the mixing bowl and blended at low speed for 2 min to achieve uniform distribution. An older people alkali activator was then added to the powder mixture and mixed at low speed for 120 s. The mixing process was paused for 15 s to scrape down any paste adhering to the mixing blades and bowl walls, followed by high-speed mixing for an additional 120 s. After the fresh paste was mixed, the flow spread test was conducted within 1–2 min. The paste was then poured into molds for the setting time test according to the test method. Additionally, the fresh paste was cast into Φ50 mm × 100 mm cylindrical molds and 40 mm × 40 mm × 160 mm triple shrinkage molds. The specimens were demolded after 1 day of sealed curing at room temperature. Following demolding, the shrinkage specimens were cured at room temperature, while the remaining specimens were cured at a temperature of 20 ± 2 °C and a relative humidity of ≥95% until the designated testing ages, after which their properties were tested. The specimen preparation process is shown in Figure 2.

2.3. Test Instruments and Methods

The uniaxial compression test on the cementitious material was conducted in accordance with the Chinese standard GB/T 50081-2019, “Standard for Test Methods of Concrete Physical and Mechanical Properties.” [18] The loading was applied using a computer-controlled rock triaxial testing system. To effectively capture the favorable post-peak softening behavior curve of this cementitious material, the test employed displacement-controlled loading at a rate of 0.002 mm/s until specimen failure, at which point the test was terminated. For the shrinkage test, the drying shrinkage performance was evaluated in accordance with the Chinese standard JGJ/T70-2009 “Standard for Test Method of Basic Properties of Construction Mortar” [19]. Specimens measuring 40 mm × 40 mm × 160 mm with embedded copper studs were cured under natural room conditions: temperature 20 ± 5 °C, relative humidity 30–50%. A mortar shrinkage instrument was used to measure the shrinkage values from 1 to 28 days, with daily measurements recorded. The setting time of the paste was determined according to the standard method specified in GB/T1346-2011 “Test Methods for Water Requirement of Normal Consistency, Setting Time and Soundness of the portland Cement” [20]. The fluidity of the paste was tested in accordance with GB/T 8077-2012 “Methods for Testing Uniformity of Concrete Admixtures” [21].

3. Experimental Results and Analysis

3.1. Drying Shrinkage Properties of Hardened Paste

For materials containing large but sparse pores, the loss of free water has an insignificant effect on drying shrinkage, whereas the loss of free water from small and numerous capillary micropores is the main cause of material shrinkage [22]. Figure 3 presents the drying shrinkage test results of the specimens. As shown in Figure 3, the shrinkage rate of different specimens continuously increases with drying time. The specimen curves generally exhibit a bilinear trend; the shrinkage rate changes significantly in the early stage ≤3d but stabilizes in the later stage, basically consistent with findings in Ref. [23]. This behavior can be attributed to the incomplete polymerization reaction and limited hydration products in the early stage, resulting in lower strength and concurrent contributions from drying shrinkage, autogenous shrinkage, and other shrinkage mechanisms, leading to a more pronounced early-stage shrinkage rate. Additionally, the presence of abundant free water in the early stage facilitates moisture loss and subsequent shrinkage, which aligns with observations in cement-based materials [24].
Figure 3a shows the alkali-activated metakaolin specimens with waste stone powder. As observed in Figure 3a, the influence of waste stone powder on alkali-activated metakaolin (AAM) cementitious materials is not significant. However, with increasing waste stone powder content, the drying shrinkage rate of the specimens exhibited a progressively increasing trend. The reference specimen F1.2M0A-12 showed a 28-day drying shrinkage rate of 0.469%. In comparison, specimens F1.2M8A-12, F1.2M16A-12, F1.2M24A-12, F1.2M32A-12, F1.2M40A-12, and F1.2M48A-12 exhibited 28-day shrinkage rates that were 1.06, 1.09, 1.14, 1.17, 1.22, and 1.27 times higher than that of F1.2M0A-12, respectively. This indicates that the incorporation of waste stone powder reduces the volumetric stability of alkali-activated metakaolin materials. The most significant reduction in stability occurred at a 48% waste stone powder content, with a shrinkage rate of 0.598%. The primary reason is that, after replacing metakaolin with waste stone powder, the stone powder adsorbs alkaline solution to form a liquid film. Due to the slow reaction of stone powder in the alkali-activated metakaolin system, the released Ca2+ reacts to form C-A-S-H gel, which fills matrix pores. This process increases microporous pressure due to water loss, thereby exacerbating drying shrinkage [25,26]. Additionally, the reactivity of waste stone powder is significantly lower than that of metakaolin, leading to excess alkaline solution. During drying, the loss of free water further intensifies shrinkage. From Figure 3b, the 28-day shrinkage rate of specimen F1.2G0N-8 was 1.35%, which was 2.87 times higher than that of F1.2M0A-12. This demonstrates that the volumetric stability of pure alkali-activated slag (AAS) cementitious material is far inferior to that of alkali-activated metakaolin. The reason lies in the high CaO content in alkali-activated slag, which provides abundant calcium sources, primarily forming C-S-H and C-(A)-S-H gels with high capillary porosity. These gels are the main factors influencing alkali-activated slag materials. Moreover, alkali-activated slag contains less chemically bound water [27]. In contrast, alkali-activated metakaolin generates N-A-S-H and C-(A)-S-H gels during polymerization, producing H2O that compensates for internal moisture loss, resulting in significantly lower shrinkage. With increasing waste stone powder content, the shrinkage rate of the specimens continued to rise. Specimens F1.2G8N-8, F1.2G16N-8, F1.2G24N-8, F1.2G32N-8, F1.2G40N-8, and F1.2G48N-8 exhibited 28-day shrinkage rates that were 1.04, 1.07, 1.21, 1.49, 1.56, and 1.79 times higher than that of F1.2G0N-8, respectively. This indicates that waste stone powder negatively affects the volumetric stability of alkali-activated slag. When the waste stone powder content was ≤24%, the impact was not significant. However, at ≥32%, the shrinkage rate increased by more than 1.5 times, demonstrating a pronounced effect. The primary reason is that waste stone powder has a relatively small particle size and high specific surface area, leading to strong surface tension that adsorbs alkaline solution and forms a liquid film, requiring a higher water demand. Under the compaction of hydration products, the adsorbed liquid film increases pore water pressure, facilitating moisture loss and resulting in severe drying shrinkage.
According to the specimen shrinkage test results, it can be seen that the relationship between shrinkage rate and shrinkage time for different specimens follows a similar pattern, and the correlation between the two can be expressed using a functional model. The evolution formula for the material shrinkage rate in this paper is described using a rational function form. This approach is primarily adopted because this form effectively characterizes the physical process in which the shrinkage rate initially increases rapidly over time and then gradually approaches a saturation limit ∞. Compared to the classical exponential decay model, the rational function form offers higher accuracy in describing the nonlinear behavior during the initial shrinkage stage (≤7d), which will be verified in subsequent Figure 3. In the model, “t” represents the characteristic shrinkage time, which is related to the material’s moisture diffusion coefficient and environmental conditions, and determines the rate of shrinkage development. Based on this, a linear functional equation is established by considering the influence of different factors in relation to time.
f ( t ) = t + χ
in the equation, t represents the shrinkage time, and χ denotes a constant coefficient.
The deformation function is established based on the distribution pattern of the experimental data.
h ( t ) = 1 α f 2 ( t ) + β f ( t ) + γ
where α, β, and γ are shape control coefficients.
By combining Equations (1) and (2), the expression for the specimen shrinkage rate function η(t) is derived.
η ( t ) = f t h t
the solution can be derived from the coupled Equations (1)–(3):
η t = t + χ α ( t + χ ) 2 + β ( t + χ ) + γ
in the equation, t denotes shrinkage time; α, β, and γ represent shape control coefficients; and χ is a constant coefficient.
The experimental results were fitted using the constructed specimen shrinkage model function, Equation (4). The fitted curve of the specimen shrinkage test is shown in Figure 3, and the fitting results of the shrinkage calculation model are presented in Table 4. As evident from Table 4, the control coefficient β in this model can characterize the influence of parameters on the specimen’s shrinkage performance. A smaller β value corresponds to a greater shrinkage capacity, with the two exhibiting an approximately linear relationship.

3.2. Setting Time

Figure 4 presents the setting time results of alkali-activated waste stone powder-slag cementitious materials. As shown in Figure 4a, both the initial and final setting times exhibited an approximately linear increase with higher waste stone powder content, yet remained shorter than those of the cement reference samples. At 48% waste stone powder content, the maximum initial and final setting times reached 45 min and 65 min, respectively, representing 50% and 51.16% increases compared to the F1.2G0N-8 sample. This demonstrates that increasing waste stone powder content effectively prolongs the setting time. From Section 2.1 material properties analysis, the finer waste stone powder particles adsorb onto slag particle surfaces during reaction, reducing the contact area between slag and alkaline solution. This decreases the curing reaction rate and consequently extends setting time. Figure 4b reveals that Na2O content showed insignificant influence on setting time. However, the initial setting time gradually increased with higher Na2O content. The setting characteristics primarily result from Ca2+ dissolution from slag under alkaline conditions, reacting with [SiO4]4− and [AlO4]5− to form C-(A)-S-H gel [28]. Elevated Na2O content increases OH concentration, causing Ca2+ to preferentially form Ca(OH)2 rather than directly producing C-(A)-S-H gel [29], thereby extending initial setting. Final setting time first increased then decreased with rising Na2O content, peaking at 45 min for the 8% Na2O sample—21.62% and 12.5% longer than 6% and 10% Na2O samples, respectively. Figure 4c demonstrates that higher W/B linearly prolonged both setting times. At W/B = 0.55, the maximum initial and final settings reached 38 min and 50 min, respectively, 26.67% and 38.89% longer than the W/B = 0.35 samples. This delay occurs because water acts as a reaction medium; thicker interparticle water films require more hydration products for solidification. Additionally, higher W/B dilute OH concentration, slowing Ca2+ dissolution from slag, and further extending the setting. Figure 5 shows that all samples exhibited an initial setting of >420 min and a final setting of >500 min. Setting times increased nearly linearly with waste stone powder content. When content rose from 0% to 48%, the initial setting extended from 440 min to 470 min, and the final setting from 505 min to 546 min, longer than the cement samples. This confirms waste stone powder delays setting by adsorbing onto metakaolin particles, hindering alkaline contact and slowing dissolution.

3.3. Fluidity Results of Paste

Figure 6 presents the fluidity of alkali-activated slag cementitious materials incorporating waste stone powder. As shown in Figure 6a, the fluidity of the paste initially increases and then decreases with increasing waste stone powder content. The maximum fluidity of 23.2 mm is achieved at 40% waste stone powder content, representing a 20.83% improvement compared to the F1.2G0N-8 sample 0% waste stone powder. However, when the content reaches 48%, the fluidity decreases to 22.5 mm, showing a 3.11% reduction relative to F1.2G40-8. At certain waste stone powder contents, the surface tension of stone powder particles leads to alkali solution adsorption and liquid film formation. The weak reaction between the liquid film and marble powder enhances transmission effects, where the stone powder acts as an indirect “lubricant” macroscopically improving paste fluidity [30]. However, at higher stone powder contents, comparison with slag particles reveals that the smaller particle size and higher surface tension of stone powder increase water demand, consequently increasing paste viscosity [9]. Figure 6b demonstrates that paste fluidity follows a trend of initial increase followed by a decrease with increasing Na2O content. The F1.2G16N-8 sample 8% Na2O exhibits the highest fluidity of 22.5 mm, representing improvements of 12.66% and 2.30% compared to F1.2G16N-6 and F1.2G16N-10, respectively. This observation is consistent with findings reported in Ref. [31]. Figure 6c shows the effect of water-to-binder ratio on paste fluidity. As the W/B increases, the fluidity gradually improves. The minimum fluidity of 16.8 mm occurs at a water-to-binder ratio of 0.35, while the maximum fluidity of 24.4 mm is observed at 0.55, representing a 45.24% increase. Higher W/B results in lower alkali concentration, slower particle hydration, reduced liquid flow resistance between powder particles, and consequently greater paste fluidity. Moreover, as the water-to-binder ratio increases, the liquid-to-solid mass ratio in the paste rises, reducing the interparticle resistance among solid particles and thereby enhancing the fluidity of the paste.
Figure 7 displays the fluidity of alkali-activated metakaolin cementitious materials containing waste stone powder. As shown in Figure 7, increasing waste stone powder content leads to greater paste fluidity, a trend that differs from that observed in alkali-activated slag systems. When the waste stone powder content increases from 0% to 48%, the paste fluidity improves from 14.3 mm to 19.5 mm, a 36.36% enhancement. This indicates that stone powder content has a more pronounced effect on the fluidity of alkali-activated metakaolin pastes compared to slag-based systems. The waste stone powder exhibits lower reactivity with alkaline activator than metakaolin or slag, and the depolymerization rate of the glass phase in metakaolin under OH is slower than in slag. As the depolymerized monomers from metakaolin remain attached to particle surfaces without timely migration, interparticle adhesion and viscous resistance increase, leading to reduced fluidity. The mechanism by which stone powder content affects fluidity in metakaolin-based systems is fundamentally similar to that in slag-based systems.

3.4. Uniaxial Compression Performance of Cementitious Materials

3.4.1. Specimen Loading Process and Failure Characteristics

Figure 8 shows the typical failure patterns of specimens. As shown in Figure 8, the loading and failure processes of waste stone powder composite cementitious materials with three different base powders are fundamentally similar. During initial loading, no obvious phenomena occur in the specimens. As the load increases, internal microcracks develop and form macroscopic cracks. As failure approaches, crack development enters an unstable stage where cracks widen and continuously extend and connect. The final failure characteristics show typical splitting failure patterns [32]. For waste stone powder alkali-activated slag specimens, the failure cracks exhibit multiple connected vertical cracks, mainly forming crack zones parallel to the vertical direction, along with completely penetrating vertical cracks. The waste stone powder alkali-activated metakaolin specimens mainly feature vertically penetrating cracks as the dominant failure mode. During compression, these specimens produce loud “bang” sounds and exhibit even more severe material spalling. The main consideration lies in the different base powders; alkali-activated slag materials primarily form hydration products such as C-S-H and N-A-S-H gels, while alkali-activated metakaolin mainly produces C-A-S-H and N-A-S-H gels. The key difference between them lies in the varying Ca/Si ratios that lead to differences in C-S-H gel hydration products. C-S-H gels can undergo relatively good viscous flow during compression [31], whereas C-A-S-H and N-A-S-H gels have three-dimensional network structures that exhibit greater brittleness during failure, macroscopically manifesting as more severe material damage.

3.4.2. The Stress–Strain Curve of the Specimen

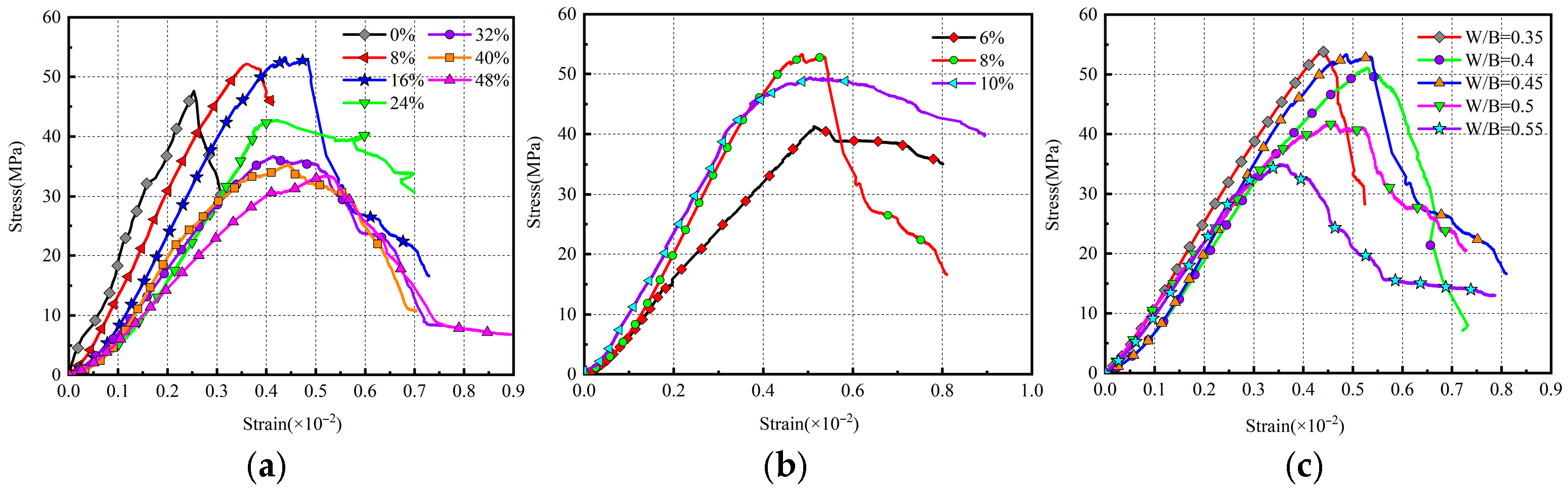
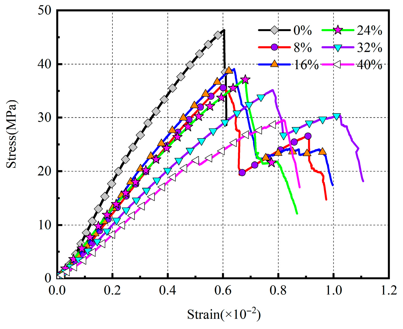
Figure 9, Figure 10 and Figure 11 show the stress–strain curves of alkali-activated slag/metakaolin composite cementitious materials incorporating waste stone powder. The trends of the stress–strain curves for different specimens are generally similar. Compared to pure alkali-activated slag specimens, the incorporation of waste stone powder effectively increases the peak strain of the cementitious material.
The stress–strain curves of the specimens can be divided into four main stages. Stage I initial loading phase: The slope of the curve is relatively small, primarily due to incomplete contact between the specimen and the loading plate, as well as uncompacted internal microcracks in the cementitious material. The specimen exhibits low stiffness at this stage. Stage II linear elastic phase: The stress and strain exhibit an approximately linear relationship, with no significant observable phenomena in the specimen. Stage III elastic-plastic phase: The slope of the curve gradually decreases, and the stress–strain relationship becomes nonlinear. This is attributed to the progressive development of cracks under loading, leading to increasing damage and stiffness degradation in the specimen. Stage IV post-peak softening Phase: In this stage, the load decreases with increasing deformation. The specimen undergoes material failure due to excessive deformation.

3.4.3. Characteristic Parameters Analysis of Stress–Strain Curves

The stress–strain curve serves as a fundamental basis for understanding the complete stress response of materials. Through curve analysis, key mechanical parameters under compression can be determined, including peak strength (fc), ultimate strength (fcu), peak strain (εc), and ultimate strain (εcu). Furthermore, the compressive performance of specimens was evaluated by calculating characteristic indices, ductility coefficient (μ), and initial elastic modulus (E). The calculation results of these characteristic parameters are summarized in Table 5. In Table 5, the initial elastic modulus is defined as the slope of the elastic stage on the stress–strain curve. The selection of the ultimate stress point on the curve was based on considerations of structural safety and energy-based failure mechanisms. Due to the brittle nature of the material, when the stress level drops to approximately 50% of the peak load or lower, the material enters the stage of “unstable crack propagation,” which falls outside the scope of its safety analysis. Moreover, the failure of materials and structures is fundamentally energy-driven, and the 85% peak load point serves as an effective characteristic parameter for calculating energy dissipation [33]. Therefore, the ultimate stress in this study is defined as the point on the descending branch of the curve corresponding to 85% of the peak stress. The ductility coefficient μ was calculated using the following equation:
μ = ε cu / ε c
where εc is the peak displacement; εcu is the ultimate displacement.

3.4.4. Analysis of Parameter Effects on Specimen Characteristics

As shown in Figure 11, the peak strength fc and ultimate strength fcu of alkali-activated slag cementitious materials incorporating waste stone powder first increased and then decreased with increasing stone powder content. At 16% waste stone powder content, fc and fcu exhibited significant improvement, with a maximum increase of 11.64%. The peak strain εc and ultimate strain εcu generally increased with higher waste stone powder content. Compared to the reference specimen 0% content, all other specimens showed increased εc and εcu, indicating that waste stone powder enhances the deformability of alkali-activated slag cementitious materials. The elastic modulus E and ductility coefficient μ did not follow a clear trend with increasing waste stone powder content. However, compared to the 0% content specimen, all other specimens exhibited an increase in μ, ranging from 4.72% to 40.57%. When the waste stone powder content was ≤16%, E remained relatively unaffected. However, at higher contents, E decreased significantly, with a maximum reduction of 43.01%. This behavior is primarily attributed to the “dilution effect” caused by the replacement of slag powder with waste stone powder. The reduced reaction products weakened the material’s load-bearing capacity, leading to a decrease in elastic modulus.
Figure 12 shows the influence of Na2O content on the characteristic parameters of waste stone powder-modified alkali-activated slag cementitious materials. The Na2O content significantly affects key specimen parameters, including peak strength fc, ultimate strength fcu, and peak strain εc. With increasing Na2O content, both the peak strength fc and ultimate strength fc initially increase and then decrease, which is consistent with the trend described in Section 3.2. The maximum strength occurs at 8% Na2O content, showing 29.17% and 7.98% improvements compared to specimens with 6% and 10% Na2O content, respectively. In contrast, the peak strain εc and ultimate strain εcu first decrease and then increase with rising Na2O content. The specimens with 8% Na2O content exhibit the minimum strain values of 0.0044ε and 0.005ε for εc and εcu, respectively.
These results demonstrate that Na2O content can significantly enhance the mechanical properties of the specimens, primarily because an appropriate Na2O content facilitates optimal performance of the raw materials, as analyzed in Section 3.2. The elastic modulus varies with Na2O content, reaching its maximum value of 13,854.36 MPa in specimen F1.2G16N-8, while the ductility coefficient decreases markedly. This variation is attributed to differences in the dissolution capacity of the alkali solution for raw material aluminosilicates at different Na2O contents, leading to considerable changes in both elastic modulus and ductility coefficient of the specimens.
Figure 13 shows the effect of W/B on the characteristic index of waste stone powder alkali slag cementitious material. From the comparison of Figure 13, it is found that when the W/B of the sample is 0.35, 0.4, and 0.45, the peak strength fc is 53.98 MPa, 51.09 MPa, and 53.31 MPa, respectively; the ultimate strength fcu is 45.89 MPa, 43.43 MPa, and 45.31 MPa, respectively. This shows that the W/B of the sample is lower than 0.45, the sample fc and fcu change little, and the W/B is higher than 0.45, the sample fc and fcu gradually decrease. Mainly due to the W/B, the internal porosity of the large cementitious material increases, and the strength decreases. However, the peak strain εc, ultimate strain εcu, and elastic modulus E of the sample have no obvious law with the change in water-binder ratio. The minimum values of εc, εcu, and E of the sample with W/B of 0.55 are 0.0035ε, 0.0043ε, and 10,969.11 MPa, respectively. Compared with the F1.2G0N-8 sample, εc and εcu increased by 40% and 59.26%, respectively, and the elastic modulus E decreased by 25.06%. The ductility coefficient μ of the specimen increases with the increase in W/B, which indicates that increasing the W/B is beneficial to improve the ductility of the cementitious material.
As shown in Figure 14, compared to specimen F1.2M0A-12, all other specimens exhibited reductions in both peak strength fc and ultimate strength fcu. The specimen F1.2M16A-12 with 16% waste stone powder content showed the smallest reductions, fc is 39.44 MPa and fcu is 33.52 MPa, representing a 15.74% decrease. In contrast, specimen F1.2M40A-12 with 40% content demonstrated the greatest strength reduction fc is 29.52 MPa and fcu is 25.10 MPa, corresponding to a 36.34% decline. These results indicate that waste stone powder significantly deteriorates the strength of alkali-activated metakaolin, primarily due to its non-reactive nature in the alkali-activated metakaolin system, which aligns with findings from Ref. [34]. The peak strain εc and ultimate strain εcu exhibited progressive increases with higher stone powder content. Compared to F1.2M0A-12, other specimens showed εc and εcu increases ranging from 1.67% to 36.67% and 6.56% to 37.7%, respectively, demonstrating the material’s enhanced deformation capacity. The elastic modulus displayed a significant reduction with increasing stone powder content. The reference specimen F1.2M0A-12 had an elastic modulus of 10,372.96 MPa, while the elastic modulus of F1.2M16A-12 with 16% stone powder content is 7008.23 MPa, which is 32.44% lower than that of F1.2M0A-12. Ductility coefficients increased with stone powder addition. The reference specimen F1.2M0A-12 had a ductility coefficient of 1.0, while specimens with 8%, 16%, 32%, and 40% content showed improvements of 6%, 4%, 2%, and 3%, respectively. This demonstrates that stone powder incorporation enhances the ductility of alkali-activated metakaolin, with F1.2M0A-12 exhibiting typical brittle behavior. The improved ductility is attributed to microstructural modifications in the metakaolin matrix induced by the stone powder addition.

3.5. Computational Model for Complete Load–Displacement Curves of Specimens

Similarly toSimilar to conventional concrete materials, the waste stone powder modified alkali-activated slag composite cementitious material exhibits elastoplastic damage behavior. Based on the compressive load–displacement curves of the developed cementitious material in this study, the damage variable D was derived by applying the Najar damage theory [35] and incorporating previous research findings [36].
D = 1 F 2 K 0 W s 2 K 0 2
in the equation, K0 represents the initial elastic stiffness of the curve; F denotes the load value at any point on the curve; s corresponds to the displacement value at any given point; W signifies the strain energy at any point on the curve.
For Equation (6), the calculation formula for strain energy W is given by:
W = 0 s F d s = m = 1 n F m 1 + F m 2 ( s m s m 1 )
in the equation: Fm-1 and Fm represent the compressive loads at the left and right boundaries of a given segment on the curve, respectively; sm-1 and sm denote the compressive displacement values at the corresponding left and right boundaries of the segment.
The cementitious material is similar to the concrete compression process, to characterize the stiffness degradation of the material during loading, an internal variable damage factor D, based on continuum damage mechanics, is introduced. The formulation of its damage evolution equation takes into account the relationship between the damage driving force and the effective stress. The model is developed with reference to the strain equivalence principle, aiming to more accurately represent the damage accumulation characteristics of the material in the plastic stage. Where the damage curve is S-shaped. Previous studies have shown that the S-shaped damage evolution curve approximately obeys the Weibull statistical distribution based on the empirical formula. The Weibull theoretical model and Guo Zhenhai model [36] were used to calculate the damage of waste stone powder alkali slag composite cementitious material, and the corresponding damage variable expression was established:
D = 1 exp [ 1 m s s c m ] , s s c 1 ρ c a s s c 1 b + s s c , s s c
in the equation: s is the displacement value of any point on the curve; sc is the displacement value corresponding to the peak load; m = 1 ln ( K 0 s c / F ) , ρ c = F / K 0 s c is the strength coefficient value, and a and b are the deformation control parameters of the descending section and the convergence section.
The load–displacement curve expression of cementitious material can be constructed by substituting the strain equivalence principle into Equation (8).
F = K 0 s exp [ 1 m s s c m ] , s s c ρ c K 0 s a s s c 1 b + s s c , s s c
In order to verify the calculation model of the load–displacement curve constructed above, considering that there are many test samples, some of the test samples in this paper are calculated by Equation (9). The calculation results are shown in Figure 15. As shown in Figure 15, the theoretical model calculation curve results are basically in good agreement with the experimental results. Figure 16 shows the comparison between theoretical and experimental values of the specimen. It can be observed that the errors in the mechanical characteristic parameters of the specimen are generally within ±15%, indicating high computational accuracy. This shows that the theoretical model can reflect the mechanical properties of different stages of the test and can predict the test results more accurately.

4. Conclusions

(1) The incorporation of waste stone powder adversely affects the volumetric stability of both cementitious materials. The drying shrinkage rate changes significantly at an early age (≤3 days) and stabilizes in later stages. Drying shrinkage increases with higher stone powder content. For the alkali-activated metakaolin material with waste stone powder, when the content reaches 48%, the 28-day shrinkage increases by 1.27 times. In the case of alkali-activated slag cementitious material with waste stone powder, when the content exceeds 32%, the shrinkage increases significantly by 1.5 times. A shrinkage model based on experimental data was established, with correlation coefficients R2 all above 0.9, effectively predicting this trend.
(2) Incorporating an appropriate amount of waste stone powder significantly improves the fluidity and setting time of alkali-activated cementitious materials. For alkali-activated slag materials with waste stone powder, fluidity changes notably with increasing stone powder content and water-to-binder ratio, generally showing an increasing trend, while the setting time correspondingly prolongs. In alkali-activated metakaolin materials with waste stone powder, the “lubricating” effect of the stone powder also significantly enhances fluidity, with a maximum improvement of 36.36%. The setting time increases almost linearly with higher stone powder content, with the initial and final setting times prolonged by up to 6.82% and 7.72%, respectively.
(3) The incorporation of waste stone powder significantly enhances the deformation capacity and ductility of alkali-activated cementitious materials, though its effects on strength and elastic modulus vary with the base material. In alkali-activated slag systems, a 16% stone powder content optimizes both the peak and ultimate strength, whereas in alkali-activated metakaolin systems, strength decreases while deformation performance is consistently improved. Additionally, adjusting the Na2O content to 8% and increasing the water-to-binder ratio further optimizes the mechanical properties. Overall, the alkali-activated slag system with 8% Na2O content, 16% waste stone powder, and a water-to-binder ratio of 0.45 exhibits relatively well-balanced mechanical performance. For alkali-activated metakaolin systems, a 16% waste stone powder content yields superior mechanical properties.
(4) Based on material damage theory, a model for the complete axial compressive load–displacement curve of specimens was established. This model effectively reflects the entire mechanical response process of alkali-activated slag/metakaolin cementitious materials with waste stone powder, and the calculated results show good agreement with experimental data, verifying its reliability. It provides an effective computational model for predicting the mechanical behavior of these cementitious materials at different stages.
(5) Waste stone powder, a solid by-product of the stone processing industry, exhibits considerable variability due to differences in geological origins and mineral compositions. Although some studies have explored the use of stone powder in alkali-activated composite cementitious materials, existing research remains limited and insufficiently thorough. This study investigates the incorporation of waste stone powder into alkali-activated composite cementitious systems, which not only diversifies the raw material sources for producing alkali-activated materials but also reduces their production costs. The research provides a new application pathway for the resource utilization of waste stone powder, thereby contributing to the achievement of carbon peak and carbon neutrality goals.

Author Contributions

Data curation, T.W.; Methodology, T.W., H.W. and C.L.; Formal analysis, T.W.; Investigation, T.W.; Validation, T.W.; Writing—original draft, T.W.; Writing—review and editing, T.W. and H.W.; Funding acquisition, T.W., H.W. and C.L.; Conceptualization, H.W. and C.L.; Resources, H.W.; Project administration, H.W.; Supervision. H.W. and C.L. All authors have read and agreed to the published version of the manuscript.

Funding

The research was funded by the Natural Science Foundation of Ningxia Project [grant number, 2025AAC050016], the Scientific Research Fund for Doctor of Hezhou University [grant number, 2025BSQD05], the Improving the Basic Research Ability of Young and Middle-aged Teachers in Guangxi Universities [grant number, 2024KY0724], the Science and Technology Development Program Project of Hezhou [grant number, 2023006; 2024105].

Data Availability Statement

The original contributions presented in this study are included in the article. Further inquiries can be directed to the corresponding author.

Conflicts of Interest

The authors declare that they have no known competing financial interests or personal relationships that could have appeared to influence the work reported in this paper.

References

  1. Li, L.G.; Huang, Z.H.; Tan, Y.P.; Kwan, A.K.H.; Liu, F. Use of marble dust as paste replacement for recycling waste and improving durability and dimensional stability of mortar. Constr. Build. Mater. 2018, 166, 423–432. [Google Scholar] [CrossRef]
  2. Rana, A.; Kalla, P.; Csetenyi, L.J. Sustainable use of marble slurry in concrete. J. Clean. Prod. 2015, 94, 304–311. [Google Scholar] [CrossRef]
  3. Alyamac, K.E.; Ghafari, E.; Ince, R. Development of eco-efficient self-compacting concrete with waste marble powder using the response surface method. J. Clean. Prod. 2017, 144, 192–202. [Google Scholar] [CrossRef]
  4. Musaddiq Laskar, S.; Talukdar, S. Development of ultrafine slag-based geopolymer mortar for use as repairing mortar. J. Mater. Civil. Eng. 2017, 29, 04016292. [Google Scholar] [CrossRef]
  5. Simão, L.; Hotza, D.; Ribeiro, M.J.; Novais, R.M.; Montedo, O.R.K.; Raupp-Pereira, F. Development of new geopolymers based on stone cutting waste. Constr. Build. Mater. 2020, 257, 119525. [Google Scholar] [CrossRef]
  6. Alyamaç, K.E.; Aydin, A.B. Concrete properties containing fine aggregate marble powder. KSCE J. Civ. Eng. 2015, 19, 2208–2216. [Google Scholar] [CrossRef]
  7. Ye, H.; Fu, C.; Yang, G. Influence of dolomite on the properties and microstructure of alkali-activated slag with and without pulverized fly ash, Cement. Concrete. Comp. 2019, 103, 224–232. [Google Scholar] [CrossRef]
  8. Zhu, X.; Kang, X.; Deng, J.; Yang, K.; Jiang, S.; Yang, C. Chemical and physical effects of high-volume limestone powder on sodium silicate-activated slag cement (AASC). Constr. Build. Mater. 2021, 292, 123257. [Google Scholar] [CrossRef]
  9. Bayiha, B.N.; Billong, N.; Yamb, E.; Kaze, R.C.; Nzengwa, R. Effect of limestone dosages on some properties of geopolymer from thermally activated halloysite. Constr. Build. Mater. 2019, 217, 28–35. [Google Scholar] [CrossRef]
  10. Li, H.; Wang, Z.; Sun, R.; Huang, F.; Yi, Z.; Yuan, Z.; Wen, J.; Lu, L.; Yang, Z. Effect of different lithological stone powders on properties of cementitious materials. J. Clean. Prod. 2021, 289, 125820. [Google Scholar] [CrossRef]
  11. Wang, T.; Qiu, X.; Yang, W.; Ma, C. Study on properties and mechanism of alkali-activated geopolymer cementitious materials of marble waste powder. Dev. Built. Environ. 2023, 16, 100249. [Google Scholar] [CrossRef]
  12. Nguyen, H.A. Enhancement of engineering properties of slag-cement based self-compacting mortar with dolomite powder. J. Build. Eng. 2019, 24, 100738. [Google Scholar] [CrossRef]
  13. Perná, I.; Novotná, M.; Řimnáčová, D.; Šupová, M. New metakaolin-based geopolymers with the addition of different types of waste stone powder. Crystals 2021, 11, 983. [Google Scholar] [CrossRef]
  14. Liu, C.; Wang, C.; Wu, J.; Gao, M. Calcined coal gangue fines as the substitute for slag in the production of alkali-activated cements and its mechanism. Processes 2022, 10, 1557. [Google Scholar] [CrossRef]
  15. Çakmak, T.; Gürbüz, A.; Kurt, Z.; Ustabaş, İ. Mechanical and microstructural properties of mortars: Obsidian powder effect. J. Sustain. Const. Mater. Technol. 2024, 9, 170–176. [Google Scholar] [CrossRef]
  16. Barış, K.E. One-part alkali-activated mortars based on clay brick waste, natural pozzolan waste, and marble powder waste. J. Sustain. Const. Mater. Technol. 2024, 9, 391–401. [Google Scholar] [CrossRef]
  17. Biel, O.; Rożek, P.; Florek, P.; Mozgawa, W.; Król, M. Alkaline activation of kaolin group minerals. Crystals 2020, 10, 268. [Google Scholar] [CrossRef]
  18. GB/T 50081-2019; Standard for Test Methods of Concrete Physical and Mechanical Properties. China Architecture & Building Press: Beijing, China, 2019. (In Chinese)
  19. JGJ/T70-2009; Standard for Test Method of Basic Properties of Construction Mortar. China Architecture & Building Press: Beijing, China, 2009. (In Chinese)
  20. GB/T1346-2011; Test Methods for Water Requirement of Normal Consistency, Setting Time and Soundness of the Portland Cement. Standards Press of China: Beijing, China, 2011. (In Chinese)
  21. GB/T 8077-2012; Test Methods for Uniformity of Concrete Admixtures. Standards Press of China: Beijing, China, 2012. (In Chinese)
  22. Zhang, B.; Chen, Y.; Ma, Y.; Ji, T. Effect of hydration assemblage on the autogenous shrinkage of alkali-activated slag mortars. Mag. Concr. Res. 2023, 75, 447–463. [Google Scholar] [CrossRef]
  23. Jiao, Z.; Wang, Y.; Zheng, W.; Huang, W. Effect of dosage of sodium carbonate on the strength and drying shrinkage of sodium hydroxide based alkali-activated slag paste. Constr. Build. Mater. 2018, 179, 11–24. [Google Scholar] [CrossRef]
  24. Song, W.; Zhu, Z.; Pu, S.; Wan, Y.; Huo, W.; Song, S.; Zhang, J.; Yao, K.; Hu, L. Efficient use of steel slag in alkali-activated fly ash-steel slag-ground granulated blast furnace slag ternary blends. Constr. Build. Mater. 2020, 259, 119814. [Google Scholar] [CrossRef]
  25. Ye, H.; Radlińska, A. Shrinkage mitigation strategies in alkali-activated slag. Cem. Concr. Res. 2017, 101, 131–143. [Google Scholar] [CrossRef]
  26. Xue, L.; Zhang, Z.; Liu, H.; Jiang, Y.; Wang, H. Drying shrinkage behavior of hybrid alkali activated cement (HAAC) mortars. Constr. Build. Mater. 2022, 316, 126068. [Google Scholar] [CrossRef]
  27. Qu, Z.Y.; Yu, Q.; Ji, Y.D.; Gauvin, F.; Voets, I.K. Mitigating shrinkage of alkali activated slag with biofilm. Cem. Concr. Res. 2020, 138, 106234. [Google Scholar] [CrossRef]
  28. Cheah, C.B.; Tan, L.E.; Ramli, M. Recent advances in slag-based binder and chemical activators derived from industrial by-products-A review. Constr. Build. Mater. 2021, 272, 121657. [Google Scholar] [CrossRef]
  29. Bernal, S.A. Effect of the activator dose on the compressive strength and accelerated carbonation resistance of alkali silicate-activated slag/metakaolin blended materials. Constr. Build. Mater. 2015, 98, 217–226. [Google Scholar] [CrossRef]
  30. Li, Z.F.; Chen, J.P.; Yang, L.; Qi, Y.H.; Zhang, J.; Zhang, C. Influence mechanism of limestone powder on red mud-based grouting material. Chin. J. Eng. 2021, 40, 768–777. (In Chinese) [Google Scholar]
  31. Jiao, Z.; Wang, Y.; Zheng, W.; Huang, W. Effect of dosage of alkaline activator on the properties of alkali-activated slag pastes. Adv. Mater. Sci. Eng. 2018, 2018, 8407380. [Google Scholar] [CrossRef]
  32. Neville, A.M. Properties of Concrete; Pearson: Harlow, UK, 2011. [Google Scholar]
  33. Chen, Z.; Tan, K.; Xu, J.; Li, W. Mechanical performance experiment and bearing capacity calculation of middle long columns made of angle steel restrained concrete and subjected to axial compression. J. Exp. Mech. 2016, 31, 57–66. (In Chinese) [Google Scholar]
  34. Komnitsas, K.; Soultana, A.; Bartzas, G. Marble waste valorization through alkali activation. Minerals 2021, 11, 46. [Google Scholar] [CrossRef]
  35. Voyiadjis, G.Z.; Kattan, P.I. Damage Mechanics; CRC Press: Boca Raton, FL, USA, 2013. [Google Scholar]
  36. Xiao, Y.; Peng, G.; Huang, C.; Luo, X.; Peng, Z. Damage evolution study of concrete under joint action of compression and shear. Hydro-Sci. Eng. 2018, 2, 112–119. (In Chinese) [Google Scholar]
Figure 1. Main powder raw materials.
Figure 1. Main powder raw materials.
Crystals 15 01039 g001
Figure 2. Specimen preparation process.
Figure 2. Specimen preparation process.
Crystals 15 01039 g002
Figure 3. Shrinkage test results and fitting curve of alkali-activated waste stone powder-slag/metakaolin composite cementitious material. (a) Waste stone powder alkali-activated metakaolin cementitious material; (b) Waste stone powder alkali-activated slag cementitious material.
Figure 3. Shrinkage test results and fitting curve of alkali-activated waste stone powder-slag/metakaolin composite cementitious material. (a) Waste stone powder alkali-activated metakaolin cementitious material; (b) Waste stone powder alkali-activated slag cementitious material.
Crystals 15 01039 g003
Figure 4. The setting time results of alkali-activated waste stone powder-slag cementitious materials. (a) Waste stone powder content; (b) Na2O content; (c) W/B.
Figure 4. The setting time results of alkali-activated waste stone powder-slag cementitious materials. (a) Waste stone powder content; (b) Na2O content; (c) W/B.
Crystals 15 01039 g004
Figure 5. Setting time of alkali-activated metakaolin cementitious materials containing waste stone material.
Figure 5. Setting time of alkali-activated metakaolin cementitious materials containing waste stone material.
Crystals 15 01039 g005
Figure 6. The fluidity of alkali-activated slag cementitious materials incorporating waste stone powder. (a) Waste stone powder content; (b) Na2O content; (c) W/B.
Figure 6. The fluidity of alkali-activated slag cementitious materials incorporating waste stone powder. (a) Waste stone powder content; (b) Na2O content; (c) W/B.
Crystals 15 01039 g006
Figure 7. The fluidity of alkali-activated metakaolin cementitious materials containing waste stone powder.
Figure 7. The fluidity of alkali-activated metakaolin cementitious materials containing waste stone powder.
Crystals 15 01039 g007
Figure 8. The typical failure patterns of specimens.
Figure 8. The typical failure patterns of specimens.
Crystals 15 01039 g008
Figure 9. The stress–strain curves of alkali-activated slag cementitious materials incorporating waste stone powder. (a) Waste stone powder content; (b) Na2O content; (c) W/B.
Figure 9. The stress–strain curves of alkali-activated slag cementitious materials incorporating waste stone powder. (a) Waste stone powder content; (b) Na2O content; (c) W/B.
Crystals 15 01039 g009
Figure 10. The stress–strain curves of alkali-activated metakaolin cementitious materials containing waste stone powder.
Figure 10. The stress–strain curves of alkali-activated metakaolin cementitious materials containing waste stone powder.
Crystals 15 01039 g010
Figure 11. Effect of stone powder content on characteristic parameters of alkali-activated slag cementitious materials with waste stone powder. (a) fc, fcu characteristic parameters; (b) εc, εcu. characteristic parameters; (c) E, μ characteristic parameters.
Figure 11. Effect of stone powder content on characteristic parameters of alkali-activated slag cementitious materials with waste stone powder. (a) fc, fcu characteristic parameters; (b) εc, εcu. characteristic parameters; (c) E, μ characteristic parameters.
Crystals 15 01039 g011
Figure 12. The influence of Na2O content on the characteristic parameters of waste stone powder-modified alkali-activated slag cementitious materials. (a) fc, fcu characteristic parameters; (b) εc, εcu characteristic parameters; (c) E, μ characteristic parameters.
Figure 12. The influence of Na2O content on the characteristic parameters of waste stone powder-modified alkali-activated slag cementitious materials. (a) fc, fcu characteristic parameters; (b) εc, εcu characteristic parameters; (c) E, μ characteristic parameters.
Crystals 15 01039 g012
Figure 13. The effect of W/B on the characteristic index of waste stone powder alkali slag cementitious material. (a) fc, fcu characteristic parameters; (b) εc, εcu characteristic parameters; (c) E, μ characteristic parameters.
Figure 13. The effect of W/B on the characteristic index of waste stone powder alkali slag cementitious material. (a) fc, fcu characteristic parameters; (b) εc, εcu characteristic parameters; (c) E, μ characteristic parameters.
Crystals 15 01039 g013
Figure 14. Effect of stone powder content on the characteristic parameters of waste stone powder alkali metakaolin cementitious material. (a) fc, fcu characteristic parameters; (b) εc, εcu characteristic parameters; (c) E, μ characteristic parameters.
Figure 14. Effect of stone powder content on the characteristic parameters of waste stone powder alkali metakaolin cementitious material. (a) fc, fcu characteristic parameters; (b) εc, εcu characteristic parameters; (c) E, μ characteristic parameters.
Crystals 15 01039 g014
Figure 15. The theoretical calculation value is compared with the experimental results. (a)F1.2G8N-8; (b) F1.2G16N-8; (c) F1.2G24N-8; (d) F1.2G32N-8; (e) F1.2M16A-12; (f) F1.2M32A-12.
Figure 15. The theoretical calculation value is compared with the experimental results. (a)F1.2G8N-8; (b) F1.2G16N-8; (c) F1.2G24N-8; (d) F1.2G32N-8; (e) F1.2M16A-12; (f) F1.2M32A-12.
Crystals 15 01039 g015
Figure 16. Comparison between predicted and experimental values.
Figure 16. Comparison between predicted and experimental values.
Crystals 15 01039 g016
Table 1. Principal chemical constituents of waste marble powder (data from the research team).
Table 1. Principal chemical constituents of waste marble powder (data from the research team).
SampleSiO2Al2O3Fe2O3CaOMgOK2O
GGBS27.8815.110.3541.209.780.48
Waste stone powder0.230.170.0997.621.770.03
Metakaolin47.5645.962.890.440.160.35
Table 2. Key technical specifications.
Table 2. Key technical specifications.
Material NameSiO2 Content Na2O Content Water Content BeModulus
Water glass26.8%9.18%57.04%39.5°3.22
Table 3. Experimental design parameters and mix proportions.
Table 3. Experimental design parameters and mix proportions.
Experiment NumberWaste Stone Powder ContentNa2O ContentModulusW/BWaste Stone PowderGGBSMetakaolinWater GlassNaOHWater
%%--gggggg
F1.2G0N-8081.20.45-500-167.0433.29117.28
F1.2G8N-8881.20.4540460-167.0433.29117.28
F1.2G16N-81681.20.4580420-167.0433.29117.28
F1.2G24N-82481.20.45120380-167.0433.29117.28
F1.2G32N-83281.20.45160340-167.0433.29117.28
F1.2G40N-84081.20.45200300-167.0433.29117.28
F1.2G48N-84881.20.45240260-167.0433.29117.28
F1.2M0A-128121.20.550-500250.5749.94113.42
F1.2M8A-128121.20.5540-460250.5749.94113.42
F1.2M16A-1216121.20.5580-420250.5749.94113.42
F1.2M24A-1224121.20.55120-380250.5749.94113.42
F1.2M32A-1232121.20.55160-340250.5749.94113.42
F1.2M40A-1240121.20.55200-300250.5749.94113.42
F1.2M48A-1248121.20.55240-260250.5749.94113.42
F1.2G16N-61661.20.4580420-125.2824.97144.21
F1.2G16N-1016101.20.4580420-208.8141.6190.36
F1.2G16B-81681.20.3580420-167.0433.2967.27
F1.2G16Z-81681.20.480420-167.0433.2992.28
F1.2G16H-81681.20.580420-167.0433.29142.28
F1.2G16D-81681.20.5580420-167.0433.29167.27
Table 4. The fitting results of the shrinkage calculation model.
Table 4. The fitting results of the shrinkage calculation model.
SampleχαβγR2
F1.2G0N-8−0.03185−0.00470.8461.5350.990
F1.2G8N-8−0.02057−0.00800.9091.2370.989
F1.2G16N-8−0.02609−0.00580.8151.2030.986
F1.2G24N-8−0.03310−0.00500.7151.0800.983
F1.2G32N-8−0.03529−0.00590.6281.0940.983
F1.2G40N-8−0.04351−0.00640.6121.1070.984
F1.2G48N-80.00102−0.00860.5921.3640.988
F1.2M0A-120.00004−0.01422.5130.6100.999
F1.2M8A-120.00003−0.01272.3540.5860.999
F1.2M16A-120.00006−0.01112.2490.6010.999
F1.2M24A-120.00011−0.00942.1200.6020.999
F1.2M32A-12−0.00006−0.00652.0050.5620.999
F1.2M40A-12−0.00003−0.00551.8870.6130.998
F1.2M48A-12−0.00012−0.00571.8290.5690.999
Table 5. Calculation results of characteristic parameters from load–displacement curves.
Table 5. Calculation results of characteristic parameters from load–displacement curves.
Specimen NumberfcfcuεcεcuEμ
MPaMPaεεMPa-
F1.2G0N-847.5740.440.00250.002714,637.531.06
F1.2G8N-852.2244.390.00360.004216,244.401.17
F1.2G16N-853.3145.310.00440.00513,854.361.14
F1.2G24N-842.7436.330.00420.00639502.541.49
F1.2G32N-836.7031.190.00410.00539425.371.29
F1.2G40N-835.3130.020.00450.005712,073.041.27
F1.2G48N-833.4028.380.00520.00588342.171.11
F1.2M0A-1246.3739.410.0060.006110,372.961
F1.2M8A-1235.8230.600.00610.00656899.391.06
F1.2M16A-1239.0733.210.00640.00667008.231.04
F1.2M24A-1237.1931.610.00680.00696280.571.02
F1.2M32A-1235.1629.890.00780.00815403.761.03
F1.2M40A-1229.5225.100.00820.00844601.631.03
F1.2G16N-641.2735.080.00510.0089631.471.56
F1.2G16N-1049.3741.960.00510.008412,723.091.67
F1.2G16B-853.9845.890.00440.004713,640.991.07
F1.2G16Z-851.0943.430.00530.004211,377.911.13
F1.2G16H-841.8335.560.00460.005412,133.091.19
F1.2G16D-834.9929.740.00350.004310,969.111.22
Disclaimer/Publisher’s Note: The statements, opinions and data contained in all publications are solely those of the individual author(s) and contributor(s) and not of MDPI and/or the editor(s). MDPI and/or the editor(s) disclaim responsibility for any injury to people or property resulting from any ideas, methods, instructions or products referred to in the content.

Share and Cite

MDPI and ACS Style

Wang, T.; Wang, H.; Li, C. Experimental Study on the Influence of Waste Stone Powder on the Properties of Alkali-Activated Slag/Metakaolin Cementitious Materials. Crystals 2025, 15, 1039. https://doi.org/10.3390/cryst15121039

AMA Style

Wang T, Wang H, Li C. Experimental Study on the Influence of Waste Stone Powder on the Properties of Alkali-Activated Slag/Metakaolin Cementitious Materials. Crystals. 2025; 15(12):1039. https://doi.org/10.3390/cryst15121039

Chicago/Turabian Style

Wang, Tongkuai, Haibo Wang, and Chunmei Li. 2025. "Experimental Study on the Influence of Waste Stone Powder on the Properties of Alkali-Activated Slag/Metakaolin Cementitious Materials" Crystals 15, no. 12: 1039. https://doi.org/10.3390/cryst15121039

APA Style

Wang, T., Wang, H., & Li, C. (2025). Experimental Study on the Influence of Waste Stone Powder on the Properties of Alkali-Activated Slag/Metakaolin Cementitious Materials. Crystals, 15(12), 1039. https://doi.org/10.3390/cryst15121039

Note that from the first issue of 2016, this journal uses article numbers instead of page numbers. See further details here.

Article Metrics

Back to TopTop