Preparation of High-Purity Potassium Chloride Crystal Particles in an Octadecylamine Hydrochloride–Water System: The Correlation Between Morphology and Purity
Abstract
1. Introduction
2. Materials and Methods
2.1. Materials and Instruments
2.2. Agglomeration and Dispersion
2.3. Experiment
2.3.1. Crystal Natural Growth Experiment
2.3.2. Solubility Experiment
2.3.3. Cooling Crystallization Experiment
2.3.4. Morphological Characterization
2.3.5. Product Purity Determination
2.3.6. Particle Size Analysis
2.3.7. Flow Performance
3. Results and Discussion
3.1. Crystallization of KCl in Aqueous Solution of ODA-H
3.1.1. The Effect of ODA-H Concentration on the Solubility of KCl
3.1.2. Effects of ODA-H on KCl Morphology and Its Mechanisms
3.1.3. The Influence of Cooling Rate on Crystal Morphology
3.1.4. Influence of Stirring Rate on Crystal Morphology
3.2. The Relationship Between Crystal Morphology and Purity
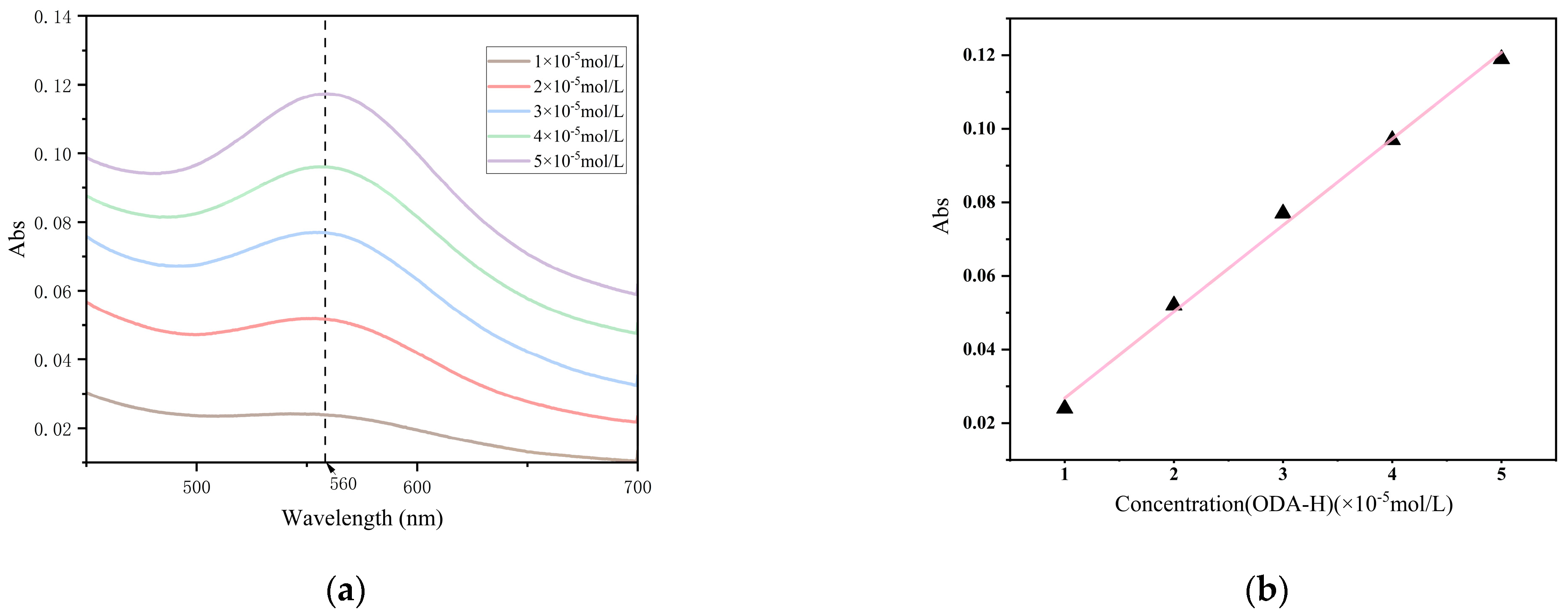
3.2.1. Standard Curve
3.2.2. Analysis of Sample Purity
4. Conclusions
Supplementary Materials
Author Contributions
Funding
Data Availability Statement
Conflicts of Interest
References
- Torabian, S.; Farhangi-Abriz, S.; Qin, R.; Noulas, C.; Sathuvalli, V.; Charlton, B.; Loka, D.A. Potassium: A Vital Macronutrient in Potato Production—A Review. Agronomy 2021, 11, 543. [Google Scholar] [CrossRef]
- Shin, J.M.; Sachs, G. Gastric H,K-ATPase as a drug target. Dig. Dis. Sci. 2006, 51, 823–833. [Google Scholar] [CrossRef] [PubMed]
- Chen, R.X.; Liu, X.C.; Xiang, J.Y.; Sun, W.Z.; Tomasevic, I. Prospects and challenges for the application of salty and saltiness-enhancing peptides in low-sodium meat products. Meat Sci. 2023, 204, 10. [Google Scholar] [CrossRef] [PubMed]
- Zhang, T.; He, X.; Chen, B.; He, L.; Tang, X. Effects of Different Potassium (K) Fertilizer Rates on Yield Formation and Lodging of Rice. Phyton-Int. J. Exp. Bot. 2021, 90, 815–826. [Google Scholar] [CrossRef]
- Huang, Z.; Cheng, C.; Zhong, H.; Li, L.; Guo, Z.; Yu, X.; He, G.; Han, H.; Deng, L.; Fu, W. Flotation of sylvite from potash ore by using the Gemini surfactant as a novel flotation collector. Miner. Eng. 2019, 132, 22–26. [Google Scholar] [CrossRef]
- De Silva, V.R.S.; Ranjith, P.G. Evaluation of injection well patterns for optimum fracture network generation host-rock formations: An application in in-situ leaching. Miner. Eng. 2019, 137, 319–333. [Google Scholar] [CrossRef]
- Wang, X.R.; Wu, J.G.; Xia, S.M.; Yang, K.L.; Jia, R.; Liu, X. Cation-regulated in-situ desorption of octadecylamine hydrochloride from the surface of potassium chloride in high-salt solution. Surf. Interfaces 2025, 58, 8. [Google Scholar] [CrossRef]
- Ling, L. Basic Research on Flotation Separation of Potassium Chloride and Sodium Chloride. Master’s Thesis, Central South University, Changsha, China, 2013. [Google Scholar]
- Chen, G.; Nengzi, L.-C.; Li, B.; Gao, Y.; Zhu, G.; Cheng, X. Octadecylamine degradation through catalytic activation of peroxymonosulfate by FeMn layered double hydroxide. Sci. Total Environ. 2019, 695, 133963. [Google Scholar] [CrossRef]
- Garcia-Herrero, I.; Margallo, M.; Onandía, R.; Aldaco, R.; Irabien, A. Environmental challenges of the chlor-alkali production: Seeking answers from a life cycle approach. Sci. Total Environ. 2017, 580, 147–157. [Google Scholar] [CrossRef]
- Li, H.C.; Liang, T.; Liao, W.Y.; Zhang, J.J. Purification of potassium chloride from salt lake industry using activated biological bovine bone char. Chem. Miner. Process. 2021, 50, 42–44. Available online: https://qikan.cqvip.com/Qikan/Article/Detail?id=7105137479 (accessed on 1 October 2025).
- Li, F.; Yang, Y.; Wu, Z.G.; Liu, Q.; Tian, P.J.; Shan, L.Y. Exploratory Research on the Removal Process of Amine Substances in Domestic Potassium Chloride. Salt Sci. Chem. Ind. 2024, 53, 31–34. Available online: https://qikan.cqvip.com/Qikan/Article/Detail?id=7111421442 (accessed on 1 October 2025).
- Nordstrom, F.L.; Sirota, E.; Hartmanshenn, C.; Kwok, T.T.; Paolello, M.; Li, H.Y.; Abeyta, V.; Bramante, T.; Madrigal, E.; Behre, T.; et al. Prevalence of Impurity Retention Mechanisms in Pharmaceutical Crystallizations. Org. Process Res. Dev. 2023, 27, 723–741. [Google Scholar] [CrossRef]
- Liu, M.; Wang, G.F.; Zhao, F.Y.; Li, W.F.; Zhu, G.; Liang, G.C.; Jian, W.; Liao, L.B.; Lv, G.C. Advances in purification technologies and applications of high-purity quartz resources. Prog. Nat. Sci. Mater. Int. 2025, 35, 51–64. [Google Scholar] [CrossRef]
- Sun, D.F.; Liu, L.; Wang, G.D.; Yu, J.X.; Li, Q.B.; Tian, G.; Wang, B.F.; Xu, X.G.; Zhang, L.; Wang, S.Z. Research Progress in Liquid Phase Growth of GaN Crystals. Chem. A Eur. J. 2024, 30, e202303710. [Google Scholar] [CrossRef]
- Capellades, G.; Bonsu, J.O.; Myerson, A.S. Impurity incorporation in solution crystallization: Diagnosis, prevention, and control. Cryst. Eng. Commun. 2022, 24, 1989–2001. [Google Scholar] [CrossRef]
- Jin, S.S.; Chen, M.Y.; Li, Z.F.; Wu, S.G.; Du, S.C.; Xu, S.J.; Rohani, S.; Gong, J.B. Design and mechanism of the formation of spherical KCl particles using cooling crystallization without additives. Powder Technol. 2018, 329, 455–462. [Google Scholar] [CrossRef]
- Feng, S.S.; Yao, M.H.; Guo, S.L.; Lin, J.W.; Ao, Z.X.; Yu, C.Y.; Li, K.L.; Xun, C.; Yang, L.M.; He, J.; et al. Morphology and microstructure regulation of inorganic salts in an additive-free water system via the self-organization of hierarchical crystal clusters: Mechanism, model, and applications. Chem. Eng. Sci. 2022, 262, 12. [Google Scholar] [CrossRef]
- Yuan, Y.; Zhan, W.Q.; Zhang, W.; Yao, R.Y.; Chen, P.; Jia, F.F.; Yi, H.; Song, S.X.; Valdivieso, A.L. Controllably Constructing morphology and structure of potassium chloride crystal by green supersaturation modulation. Surf. Interfaces 2024, 52, 10. [Google Scholar] [CrossRef]
- Chen, M.Y.; Wu, S.G.; Xu, S.J.; Yu, B.; Shilbayeh, M.; Liu, Y.; Zhu, X.W.; Wang, J.K.; Gong, J.B. Caking of crystals: Characterization, mechanisms and prevention. Powder Technol. 2018, 337, 51–67. [Google Scholar] [CrossRef]
- Chen, M.; Wu, S.; Tang, W.; Gong, J. Caking and adhesion free energy of maltitol: Studying of mechanism in adhesion process. Powder Technol. 2015, 272, 235–240. [Google Scholar] [CrossRef]
- Russel, W.B.; Saville, D.A.; Schowalter, W.R. Colloidal Dispersions; Cambridge University Press: Cambridge, UK, 1989. [Google Scholar]
- Xu, S.J.; Zhang, H.M.; Qiao, B.G.; Wang, Y.F. Review of Liquid-Liquid Phase Separation in Crystallization: From Fundamentals to Application. Cryst. Growth Des. 2021, 21, 7306–7325. [Google Scholar] [CrossRef]
- Li, J.J.; Gao, Y.; Wang, J.S.; Niu, L.; Ge, Y.Z.; Zhang, Y.L.; Chen, M.Y.; Gong, J.B. Preparation of (NH4)2SO4 Spherical Particles with Functions of Sustained-Release and Anticaking by an Organic Solvent-Free Process. Ind. Eng. Chem. Res. 2024, 63, 18212–18220. [Google Scholar] [CrossRef]
- Lu, M.; Ma, L.; Ye, X.S.; Liu, H.N.; Yao, Q.L.; Wu, Z.J.; Li, M.Z. Novel Method for Rapid Determination of Octadecylamine Using UV Spectrophotometry. J. Appl. Spectrosc. 2023, 6, 1101–1106. [Google Scholar] [CrossRef]








| Concentration (ODA-H) (×10−5 mol/L) | Abs |
|---|---|
| 1 | 0.024 |
| 2 | 0.052 |
| 3 | 0.077 |
| 4 | 0.097 |
| 5 | 0.119 |
| Operation | Concentration (ODA-H) (×10−5 mol/L) | Crystal Morphology | Sampling Quality (g) | Abs (Maximum) |
|---|---|---|---|---|
| Before washing | 4 | Ellipsoidal | 1.9744 | 0.068 |
| 4 | Spherical | 0.208 | 0.111 | |
| 4 | Cubic | 0.6172 | 0.112 | |
| 6 | Ellipsoidal | 0.4938 | 0.046 | |
| 6 | Spherical | 0.1738 | 0.167 | |
| 6 | Cubic | 0.1229 | 0.056 | |
| 10 | Ellipsoidal | 1.0169 | 0.054 | |
| 10 | Cubic | 1.0031 | 0.183 | |
| After washing | 10 | Ellipsoidal | 1.9824 | 0.097 |
| 10 | Cubic | 1.2132 | Values below the detection limit are counted as 0.03 |
Disclaimer/Publisher’s Note: The statements, opinions and data contained in all publications are solely those of the individual author(s) and contributor(s) and not of MDPI and/or the editor(s). MDPI and/or the editor(s) disclaim responsibility for any injury to people or property resulting from any ideas, methods, instructions or products referred to in the content. |
© 2025 by the authors. Licensee MDPI, Basel, Switzerland. This article is an open access article distributed under the terms and conditions of the Creative Commons Attribution (CC BY) license (https://creativecommons.org/licenses/by/4.0/).
Share and Cite
Ren, Y.; Song, L.; Chen, M.; Feng, H.; Li, M.; Peng, J. Preparation of High-Purity Potassium Chloride Crystal Particles in an Octadecylamine Hydrochloride–Water System: The Correlation Between Morphology and Purity. Crystals 2025, 15, 958. https://doi.org/10.3390/cryst15110958
Ren Y, Song L, Chen M, Feng H, Li M, Peng J. Preparation of High-Purity Potassium Chloride Crystal Particles in an Octadecylamine Hydrochloride–Water System: The Correlation Between Morphology and Purity. Crystals. 2025; 15(11):958. https://doi.org/10.3390/cryst15110958
Chicago/Turabian StyleRen, Yuchun, Linjin Song, Mingyang Chen, Haitao Feng, Mingxuan Li, and Jiaoyu Peng. 2025. "Preparation of High-Purity Potassium Chloride Crystal Particles in an Octadecylamine Hydrochloride–Water System: The Correlation Between Morphology and Purity" Crystals 15, no. 11: 958. https://doi.org/10.3390/cryst15110958
APA StyleRen, Y., Song, L., Chen, M., Feng, H., Li, M., & Peng, J. (2025). Preparation of High-Purity Potassium Chloride Crystal Particles in an Octadecylamine Hydrochloride–Water System: The Correlation Between Morphology and Purity. Crystals, 15(11), 958. https://doi.org/10.3390/cryst15110958

