Mathematical Modeling of Properties and Structures of Crystals: From Quantum Approach to Machine Learning
Abstract
1. Introduction
2. Density Functional Theory (DFT) for the Simulations of Crystal Structures
2.1. One-Element Structures and Alloys
2.1.1. Uranium
2.1.2. Co-Al System
2.1.3. Al-Mn-Pd System and i-AlMnPd Quasicrystal
2.1.4. Phase Stability of Refractory Complex Concentrated Alloys (RCCAs)
2.1.5. NiCoFeAlTiB System
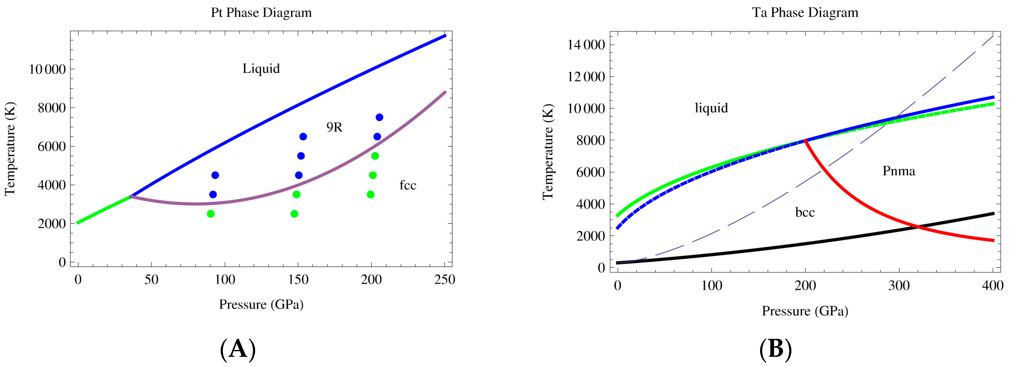
2.1.6. Pt and Ta—The Z Methodology
2.2. Two-Element Structures
CrSi2
2.3. Three-Element Structures
2.3.1. K2SiF6 Structure Prediction
2.3.2. Microporous CHA Frameworks
2.3.3. Cubic BaLiX3 Perovskites
2.3.4. XGaH5 as a Hydrogen Storage Material
2.3.5. Li3YBr6 and Li3LaBr6 as Solid-State Electrolytes
2.3.6. Sc2AX MAX Phase Materials
2.3.7. NaSn2P2 Superconducting System
2.4. Four- and Multiple-Element Structures
2.4.1. Fe-Doped Cs2AgBiCl6 Double Perovskite
2.4.2. Mercury Sulphohalides—AgHgSX
2.4.3. Ettringite—Hydration Phase of Portland Cement
2.4.4. RHEA Alloys
2.5. Examples of the Application of Global Optimization for Crystal Structure Prediction
3. Molecular Dynamics (MD) for the Simulations of Crystal Structures
3.1. Algorithms Used in MD to Integrate Newton’s Equation of Motion
3.1.1. The Verlet Algorithm
3.1.2. The Leap-Frog Algorithm
3.2. Cases of the Usage of Molecular Dynamics for Simulations of Crystals
3.2.1. SiC Crystals
- The positions of peaks do not change.
- The lower height of peaks indicates that the stability and arrangement of atoms is lower, suggesting a change in the molecular system from one phase state, solid, to another phase state, liquid. After exceeding the temperature of 2000 K, the decrease in peak heights is no longer visible, which indicates that the melting point of crystal silicon carbide is 2000 K.
- A number of peaks decrease, and this proves the presence of an ordered crystalline structure. At higher temperatures, some of the peaks disappear, meaning that some of the distances between atoms become less stable.
- Distant weak peaks are smoother, showing that the arrangement of atoms in longer distances undergoes dispersion, and thus, the structure loses its rigidity, becoming liquid.
3.2.2. SiC Polytypes Deformation
3.2.3. Metals with Face-Centered Cubic and Body-Centered Cubic Crystal Structures
3.2.4. The Surface of CdSe Crystals
3.2.5. The Crystallization of Polymers
3.2.6. Interactions of Ligands with Guanosine 5′-Monophosphate
3.2.7. The Dynamics of Water in Photosystem II (PS II)
3.2.8. The Crystallization of Long Polymer Chains
3.2.9. The Crystallization of Thermolysin
3.2.10. The Hybrid Machining Process of the Single-Crystal Silicon
4. Cellular Automata (CA) Models for the Simulations of Crystal Structures
4.1. Examples of the Application of CA Models in the Simulations of the Crystalline State of Matter
4.1.1. Dendritic Solidification
4.1.2. Uranium Crystallization Process
- (1)
- The cell can only transform from liquid to solid with no reverse.
- (2)
- The cell can transform when there is at least one solid cell in the neighborhood.
- (3)
- The cell changes its state if the following formula is true:
4.1.3. The Modeling of Dynamic Recrystallization
- -
- The first step is the initial generation of the microstructure by the growth of randomly generated nuclei in a homogeneous medium, by the simulation of SRX with a rule stating that recrystallization may occur with the probability of 50 % if at least one of the Moore neighbors is already recrystallized.
- -
- The second step is the sequential realization of following three steps:
- (a)
- The evolution of the dislocation density;
- (b)
- Recrystallization realized by the growth of grains;
- (c)
- The nucleation of embryos of new grains.
4.1.4. The Crystallization of Pure Water
4.1.5. The Modeling of the Static Recrystallization of an Aluminum Alloy
- (1)
- The cell cannot crystallize if there are not any already crystallized neighbors.
- (2)
- The random number generated by the system is greater than the random transition probability of each cell:
- (3)
- The driving pressure is greater than zero, and the migration center is larger than the cell size itself:
- (4)
- The described CA model that was coupled with metallurgical principles was able to predict the microstructural evolution of 5754 aluminum during hot working (Figure 22). The recrystallized volume fraction and the mean grain size do increase with the increasing deformation temperature and delayed time. The recrystallized volume fraction increased with the increase in the strain rate, but the average grain size was slightly reduced. Overall, based on experimental data, the presented CA model did really well, so it is capable of studying microstructure evolution during the pass interval period.
5. Machine Learning Models for the Simulations of Crystal Structures
A Review of Examples of Machine Learning in Crystal Structure Prediction
6. Conclusions
Funding
Data Availability Statement
Conflicts of Interest
References
- Song, X.; Ji, X.; Li, M.; Lin, W.; Luo, X.; Zhang, H. A Review on Development Prospect of CZTS Based Thin Film Solar Cells. Int. J. Photoenergy 2014, 2014, 613173. [Google Scholar] [CrossRef]
- Hohenberg, P.; Kohn, W. Inhomogeneous Electron Gas. Phys. Rev. 1964, 136, B864. [Google Scholar] [CrossRef]
- Schleder, G.R.; Padilha, A.C.M.; Acosta, C.M.; Costa, M.; Fazzio, A. From DFT to machine learning: Recent approaches to materials science—A review. J. Phys. Mater. 2019, 2, 032001. [Google Scholar] [CrossRef]
- Kresse, G.; Hafner, J. Ab initio molecular dynamics for open-shell transition metals. Phys. Rev. B Condens. Matter 1993, 48, 13115. [Google Scholar] [CrossRef]
- Neugebauer, J.; Hickel, T. Density functional theory in materials science. WIREs Comput. Mol. Sci. 2013, 3, 438–448. [Google Scholar] [CrossRef] [PubMed]
- Organov, A.R.; Ma, Y.; Glass, C.W.; Valle, M. Evolutionary crystal structure prediction: Overview of the USPEX method and some of its applications. Psi-K Newsl. 2007, 84, 142–171. [Google Scholar]
- Zhang, W.W.; Organov, A.R.; Goncharov, A.F.; Zhu, Q.; Boulfelfel, S.E.; Lyakhov, A.O.; Stavrou, E.; Somayazulu, M.; Prakapenka, V.B.; Konopkova, Z. Unexpected Stable Stoichiometries of Sodium Chlorides. Science 2013, 342, 1502–1505. [Google Scholar] [CrossRef] [PubMed]
- Zurek, E.; Hoffmann, R.; Ashcroft, N.W.; Organov, A.R.; Lyakhov, A.O. A little bit of lithium does a lot for hydrogen. Proc. Natl. Acad. Sci. USA 2009, 106, 17640–17643. [Google Scholar] [CrossRef] [PubMed]
- Butler, K.T.; Davies, D.W.; Cartwright, H.; Isayev, O.; Walsh, A. Machine learning for molecular and materials science. Nature 2018, 559, 547–555. [Google Scholar] [CrossRef]
- Kuzmanovski, I.; Dimitrovska-Lazova, S.; Aleksovska, S. Examination of the influence of different variables on prediction of unit cell parameters in perovskites using counter-propagation artificial neural networks. J. Chemom. 2012, 26, 1–6. [Google Scholar] [CrossRef]
- Hey, T.; Tansley, S.; Tolle, K. The Fourth Paradigm: Data-Intensive Scientific Discovery; Microsoft Research: Washington, DC, USA, 2009. [Google Scholar]
- Materials Genome Initiative. Available online: https://www.mgi.gov/ (accessed on 30 November 2024).
- de Pablo, J.J.; Jackson, N.E.; Webb, M.A.; Chen, L.-Q.; Moore, J.E.; Morgan, D.; Jacobs, R.; Pollock, T.; Schlom, D.G.; Toberer, E.S.; et al. New frontiers for the materials genome initiative. Npj Comput. Mater. 2019, 5, 41. [Google Scholar] [CrossRef]
- Kruglov, I.A.; Yanilkin, A.; Organov, A.R.; Korotaev, P. Phase diagram of uranium from ab initio calculations and machine learning. Phys. Rev. B 2019, 100, 174104. [Google Scholar] [CrossRef]
- Shao, W.; Hou, H.; Liu, S.; Llorca, J. First-principles prediction of the Co-Al phase diagram including configurational, vibrational and magnetic contributions. J. Mater. Res. Technol. 2024, 31, 1518–1534. [Google Scholar] [CrossRef]
- Mihalkovic, M.; Widom, M. Formation enthalpies of Al-Mn-Pd and the structure of the i-AlMnPd quasicrystal. Rendiconti Lincei. Sci. Fis. E Nat. 2023, 34, 671–680. [Google Scholar] [CrossRef]
- Shechtman, D.; Blech, I.; Gratias, D.; Cahn, J.W. Metallic Phase with Long-Range Orientational Order and No Translational Symmetry. Phys. Rev. Lett. 1984, 53, 1951–1953. [Google Scholar] [CrossRef]
- Zhang, Z.; Li, M.; Cavin, J.; Flores, K.; Mishra, R. A Fast and Robust Method for Predicting the Phase Stability of Refractory Complex Concentrated Alloys using Pairwise Mixing Enthalpy. Acta Mater. 2022, 241, 118389. [Google Scholar] [CrossRef]
- Wang, Z.; Yang, T. Chemical order/disorder phase transitions in NiCoFeAlTiB multi-principal element alloys: A Monte Carlo analysis. Acta Mater. 2025, 285, 120635. [Google Scholar] [CrossRef]
- Burakovsky, L.; Chen, S.P.; Preston, D.L.; Sheppard, D.G. Z methodology for phase diagram studies: Platinum and tantalum as examples. J. Phys. Conf. Ser. 2014, 500, 162001. [Google Scholar] [CrossRef]
- Pan, Y. Structural Prediction and Overall Performances of CrSi2 Disilicides: DFT Investigations. ACS Sustain. Chem. Eng. 2020, 8, 11024. [Google Scholar] [CrossRef]
- Rusevich, L.L.; Brik, M.G.; Gryaznov, D.; Srivastava, A.M.; Chervyakov, I.; Zvejnieks, G.; Bocharov, D.; Kotomin, E.A. First-Principles Linear Combination of Atomic Orbitals Calculations of K2SiF6 Crystal: Structural, Electronic, Elastic, Vibrational and Dielectric Properties. Materials 2024, 17, 4865. [Google Scholar] [CrossRef]
- Erba, A.; Desmarais, J.K.; Casassa, S.; Civalleri, B.; Dona, L.; Bush, I.J.; Searle, B.; Maschio, L.; Edith-Daga, L.; Cossard, A.; et al. CRYSTAL23: A Program for Computational Solid State Physics and Chemistry. J. Chem. Theory Comput. 2022, 19, 6891–6932. [Google Scholar] [CrossRef] [PubMed]
- Chen, X.-F. Periodic Density Functional Theory (PDFT) Simulating Crystal Structures with Microporous CHA Framework: An Accuracy and Efficiency Study. Inorganics 2023, 11, 215. [Google Scholar] [CrossRef]
- Pingak, R.K.; Bouhmaidi, S.; Setti, L.; Pasangka, B.; Bernandus, B.; Sutaji, H.I.; Nitti, F.; Ndii, M.Z. Structural, Electronic, Elastic, and Optical Properties of Cubic BaLiX3 (X = F, Cl, Br, or I) Perovskites: An Ab-initio DFT Study. Indones. J. Chem. 2023, 23, 843. [Google Scholar] [CrossRef]
- Soler, M.J.; Artacho, E.; Gale, J.D.; Garcia, A.; Junquera, J.; Ordejón, P.; Sanchez-Portal, D. The SIESTA method for ab initio order-N materials simulation. J. Phys. Condens. Matter 2002, 14, 2745. [Google Scholar] [CrossRef]
- Yamçıçıer, Ç.; Kürkçü, C. Ab initio study of the structural, mechanical, optoelectronic and thermo-physical properties of XGaH5 (X=Ba, Ca, and Mg) compounds for hydrogen storage applications. Int. J. Hydrogen Energy 2024, 81, 391. [Google Scholar] [CrossRef]
- Li, Y.; McCoy, D.; Bordonaro, J.; Simonson, J.; Liu, S.-Y.; Wang, S. High ionic conductivity materials Li3YBr6 and Li3LaBr6 for solid-state batteries: First-principles calculations. J. Phys. Condens. Matter. 2024, 36, 445702. [Google Scholar] [CrossRef]
- Akther, R.; Jahan, N.; Ali, M.A. Study of new MAX phase materials: Sc2AX (A= Bi, Br; X=C, N, B) via Ab-initio method. Mater. Today Commun. 2024, 40, 109679. [Google Scholar] [CrossRef]
- Parvin, F.; Naqib, S.H. Pressure dependence of structural, elastic, electronic, thermodynamic, and optical properties of van der Waals-type NaSn2P2 pnictide superconductor: Insights from DFT study. Results Phys. 2021, 21, 103848. [Google Scholar] [CrossRef]
- Thawarkar, S.; Rondiya, S.R.; Dzade, N.Y.; Khupse, N.; Jadkar, S. Experimental and Theoretical Investigation of the Structural and Opto-electronic Properties of Fe-Doped Lead-Free Cs2AgBiCl6 Double Perovskite. Chem. Eur. J. 2021, 27, 7408. [Google Scholar] [CrossRef]
- Hariharan, M.; Eithiraj, R.D. Comprehensive study on structural, electronic, optical, elastic, and transport properties of natural mercury sulphohalides via DFT computation. Sci. Rep. 2024, 14, 18593. [Google Scholar] [CrossRef] [PubMed]
- Blaha, P.; Schwarz, K.; Tran, F.; Laskowski, R.; Madsen, G.K.H.; Marks, L.D. WIEN2k: An APW+lo program for calculating the properties of solids. J. Chem. Phys. 2020, 152, 074101. [Google Scholar] [CrossRef]
- Colmenero, F.; Fernández, A.M.; Almendros-Ginestà, O.; Missana, T. Density Functional Theory Study of the Crystal Structure and Infrared Spectrum of a Synthetized Ettringite Mineral. Minerals 2024, 14, 824. [Google Scholar] [CrossRef]
- Bhandari, U.; Zhang, C.; Zeng, C.; Guo, S.; Yang, S. Computational and experimental investigation of refractory high entropy alloy Mo15Nb20Re15Ta30W20. J. Mater. Res. Technol. 2020, 9, 8929. [Google Scholar] [CrossRef]
- Matyszczak, G.; Sutuła, S.; Januszewski, R.; Zakrzewska, A.; Cieślukowska, K.; Gołędowska, M.; Jóźwik, P.; Woźniak, K. Synthesis, characterization, crystal structure prediction, and ab initio study of bandgap of Cu3VSe4. J. Solid State Chem. 2021, 301, 122336. [Google Scholar] [CrossRef]
- Matyszczak, G.; Sutuła, S.; Krawczyk, K.; Woźniak, K. Experimental and theoretical study of crystal structure and bandgap of CdBi2S4. J. Solid State Chem. 2022, 305, 122695. [Google Scholar] [CrossRef]
- Matyszczak, G.; Sutuła, S.; Jóźwik, P.; Krawczyk, K.; Woźniak, K. Study of the Bandgap and Crystal Structure of Cu4TiSe4: Theory vs. Experiment. Crystals 2023, 13, 331. [Google Scholar] [CrossRef]
- Wang, Y.; Lv, J.; Zhu, L.; Ma, Y. CALYPSO: A method for crystal structure prediction. Comput. Phys. Commun. 2012, 183, 2063. [Google Scholar] [CrossRef]
- Shao, X.; Lv, J.; Liu, P.; Shao, S.; Gao, P.; Liu, H.; Wang, Y.; Ma, Y. A symmetry-orientated divide-and-conquer method for crystal structure prediction. J. Chem. Phys. 2022, 156, 014105. [Google Scholar] [CrossRef] [PubMed]
- Falls, Z.; Avery, P.; Wang, X.; Hilleke, K.P.; Zurek, E. The XtalOpt Evolutionary Algorithm for Crystal Structure Prediction. J. Phys. Chem. C 2021, 125, 1601–1620. [Google Scholar] [CrossRef]
- Sarkisov, P.D.; Butusov, O.B.; Meshalkin, V.P.; Sevast’yanov, V.G.; Pashaev, V.B. Computer molecular-dynamics simulation of the structure of Crystal Nanomaterials. Theor. Found. Chem. Eng. 2013, 47, 83–88. [Google Scholar] [CrossRef]
- Luo, C.; Kröger, M.; Sommer, J.-U. Entanglements and Crystallization of Concentrated Polymer Solutions: Molecular Dynamics Simulations. Macromolecules 2016, 49, 9017–9025. [Google Scholar] [CrossRef]
- Wu, N.; Liu, D.; Zhong, M.; Zheng, Q.; Fang, C.; Jiang, Y. Analysis of crystal structure transition of polycrystalline 3C-SiC in nanocrystalline grinding based on molecular dynamics simulation. Solid State Ion. 2023, 399, 116297. [Google Scholar] [CrossRef]
- Semenov, A.S.; Semenova, M.N.; Bebikhov, Y.V.; Zakharov, P.V.; Korznikova, E.A. Simulating Nonlinear Dynamics of a 3D Crystal Lattice of Metals. J. Phys. Conf. Ser. 2021, 2131, 032092. [Google Scholar] [CrossRef]
- Glossop, W. (2020) Solid State NMR and Molecular Dynamics Studies of Solid Crystal Systems, Theses. Available online: https://etheses.dur.ac.uk/13635/ (accessed on 16 November 2024).
- Kordonskaya, Y.V.; Timofeev, V.I.; Marchenkova, M.A.; Pisarevsky, Y.V.; Silvestrova, S.Y.; Dyakova, Y.A.; Kovalchuk, M.V. Effect of Temperature on the Stability of the Precursor Cluster of the Thermolysin Crystal. Crystallogr. Rep. 2024, 69, 577–582. [Google Scholar] [CrossRef]
- Wang, H.; Gao, S.; Kang, R.; Guo, X.; Li, H. Mechanical Load-Induced Atomic-Scale Deformation Evolution and Mechanism of SiC Polytypes Using Molecular Dynamics Simulation. Nanomaterials 2022, 12, 2489. [Google Scholar] [CrossRef] [PubMed]
- Louzguine-Luzgin, D.V.; Bazlov, A.I. Crystallization of FCC and BCC Liquid Metals Studied by Molecular Dynamics Simulation. Metals 2020, 10, 1532. [Google Scholar] [CrossRef]
- Stelmakh, S.; Skrobas, K.; Gierlotka, S.; Palosz, B. Effect of the surface on the internal structure of CdSe crystal lattice based on molecular dynamics simulations. J. Nanoparticle Res. 2017, 19, 170. [Google Scholar] [CrossRef]
- Yu, X.; Kong, B.; Yang, X. Molecular Dynamics Study on the Crystallization of a Cluster of Polymer Chains Depending on the Initial Entanglement Structure. Macromolecules 2008, 41, 6733–6740. [Google Scholar] [CrossRef]
- Nemoto, N.; Baba, S.; Kawai, G.; Sampei, G. Crystal structure of guanosine 5′-monophosphate synthetase from the thermophilic bacterium Thermus thermophilus HB8. Acta Crystallogr. Sect. F Struct. Biol. Commun. 2024, 80, 278–285. [Google Scholar] [CrossRef]
- Doyle, M.D.; Bhowmick, A.; Lassalle, L.; Simon, P.S.; Holton, J.; Sauter, N.K.; Yachandra, V.K.; Kern, J.F.; Yano, J.; Wall, M.E. Water Networks in Photosystem II Using Crystalline Molecular Dynamics Simulations and Room-Temperature XFEL Serial Crystallography. J. Am. Chem. Soc. 2023, 145, 14621–14635. [Google Scholar] [CrossRef]
- Liu, C.; He, W.; Chu, J.; Zhang, J.; Chen, X.; Xiao, J.; Xu, J. Molecular Dynamics Simulation on Cutting Mechanism in the Hybrid Machining Process of Single-Crystal Silicon. Nanoscale Res. Lett. 2021, 16, 66. [Google Scholar] [CrossRef] [PubMed]
- Anton, O.O.B.; Dmitry, A.S.; Alexey, G.G.; Flavio, M. Cellular Automata Application for Simulation of Uranium Crystallization Process. Chem. Eng. Trans. 2016, 52, 379–384. [Google Scholar] [CrossRef]
- Jianmin, L.; Jindong, D.; Chengyu, H.; Junkai, Z.; Jiali, A.; Chi, Z.; Xiaolin, L.; Wei, S. Simulation of the Crystalization Process based on Cellular Automata—Snowflake Formation from Pure Water System. 30th Eur. Symp. Comput. Aided Chem. Eng. 2020, 48, 187–192. [Google Scholar] [CrossRef]
- Shumylyak, L.; Zhikharevich, V.; Ostapov, S. Cellular automata modeling of impurities segregation in the melt crystallization process. Int. J. Comput. 2015, 14, 216–226. [Google Scholar] [CrossRef]
- Zyska, A.; Konopka, Z.; Łągiewka, M.; Nadolski, M. Modelling of the Dendritic Crystallization by the Cellular Automaton Method. Arch. Foundry Eng. 2015, 16, 99–106. [Google Scholar] [CrossRef][Green Version]
- Zaeem, M.A.; Yin, H.; Felicelli, S.D. Modeling dendritic solidification of Al–3% Cu using cellular automaton and phase-field methods. Appl. Math. Model. 2013, 37, 3495–3503. [Google Scholar] [CrossRef]
- Kroc, J. Application of Cellular Automata Simulations to Modelling of Dynamic Recrystallization. In International Conference on Computational Science; Springer: Berlin, Heidelberg, 2002; pp. 773–782. [Google Scholar] [CrossRef]
- Huang, C.; Jia, X.; Zhang, Z. Modeling and Simulation of the Static Recrystallization of 5754 Aluminium Alloy by Cellular Automaton. Metals 2018, 8, 585. [Google Scholar] [CrossRef]
- Jain, A.; Ong, S.P.; Hautier, G.; Chen, W.; Richards, W.D.; Dacek, S.; Cholia, S.; Gunter, D.; Skinner, D.; Ceder, G.; et al. Commentary: The Materials Project: A materials genome approach to accelerating materials innovation. APL Mater. 2013, 1, 011002. [Google Scholar] [CrossRef]
- Grazulis, S.; Chateigner, D.; Downs, R.T.; Yokochi, A.F.T.; Quiros, M.; Lutterotti, L.; Manakova, E.; Butkus, J.; Moeck, P.; Le Bail, A. Crystallography Open Database—an open-access collection of crystal structures. J. Appl. Crystallogr. 2009, 42, 726–729. [Google Scholar] [CrossRef] [PubMed]
- Saal, J.E.; Kirklin, S.; Aykol, M.; Meredig, B.; Wolverton, C. Materials design and discovery with high-throughput density functional theory: The open quantum materials database (OQMD). JOM 2013, 65, 1501–1509. [Google Scholar] [CrossRef]
- Pearson’s Crystal Data: Crystal Structure Database for Inorganic Compounds (on dvd); Release 2020/21; ASM International: Materials Park, OH, USA, 2021.
- Zagorac, D.; Muller, H.; Ruehl, S.; Zagorac, J.; Rehme, S. Recent developments in the inorganic crystal structure database: Theoretical crystal structure data and related features. J. Appl. Crystallogr. 2019, 52, 918–925. [Google Scholar] [CrossRef]
- Venkatraman, V.; Carvalho, P.A. On the value of popular crystallographic databases for machine learning prediction of space groups. Acta Mater. 2022, 240, 118353. [Google Scholar] [CrossRef]
- Schutt, K.T.; Glawe, H.; Brockherde, F.; Sanna, A.; Muller, K.R.; Gross, K.U. How to represent crystal structures for machine learning: Towards fast prediction of electronic properties. Phys. Rev. B 2014, 89, 205118. [Google Scholar] [CrossRef]
- Li, S.; Liu, Y.; Chen, D.; Jiang, Y.; Nie, Z.; Pan, F. Encoding the atomic structure for machine learning in materials science. WIREs Comput. Mol Sci. 2022, 12, e1558. [Google Scholar] [CrossRef]
- Wengert, S.; Csányi, G.; Reuter, K.; Margraf, J.T. Data-efficient machine learning for molecular crystal structure prediction. Chem. Sci. 2021, 12, 4536–4546. [Google Scholar] [CrossRef]
- Kusaba, M.; Liu, C.; Yoshida, R. Crystal structure prediction with machine learning-based element substitution. Comput. Mater. Sci. 2022, 211, 111496. [Google Scholar] [CrossRef]
- Kilgour, M.; Rogal, J.; Tuckerman, M. Geometric deep learning for molecular crystal structure prediction. J. Chem. Theory Comput. 2023, 19, 4743–4756. [Google Scholar] [CrossRef] [PubMed]
- Yamashita, T.; Kanehira, S.; Sato, N.; Kino, H.; Terayama, K.; Sawahata, H.; Sato, T.; Utsuno, F.; Tsuda, K.; Miyake, T.; et al. CrySPY: A crystal structure prediction tool accelerated by machine learning. Sci. Technol. Adv. Mater. Methods 2021, 1, 87–97. [Google Scholar] [CrossRef]
- Hong, C.; Choi, J.M.; Jeong, W.; Kang, S.; Ju, S.; Lee, K.; Jung, J.; Youn, Y.; Han, S. Training machine-learning potentials for crystal structure prediction using disordered structures. Phys. Rev. B 2020, 102, 224104. [Google Scholar] [CrossRef]
- Wu, G.; Yion, W.T.G.; Dang, K.L.N.Q.; Wu, Z. Physics-informed machine learning for MPC: Application to a batch crystallization process. Process Saf. Environ. Prot. 2023, 192, 556–569. [Google Scholar] [CrossRef]
- Egorova, O.; Hafizi, R.; Woods, D.C.; Day, G.M. Multifidelity Statistical Machine Learning for Molecular Crystal Structure Prediction. J. Phys. Chem. A 2020, 124, 8065–8078. [Google Scholar] [CrossRef]
- Kapil, V.; Engel, E.A. A complete description of thermodynamic stabilities of molecular crystals. Proc. Natl. Acad. Sci. USA 2022, 119, e2111769119. [Google Scholar] [CrossRef] [PubMed]
- Gusev, V.V.; Adamson, D.; Deligkas, A.; Antypov, D.; Collins, C.M.; Krysta, P.; Potapov, I.; Darling, G.R.; Dyer, M.S.; Spirakis, P.; et al. Optimality guarantees for crystal structure prediction. Nature 2023, 619, 68–72. [Google Scholar] [CrossRef] [PubMed]
- Wtiman, M.D.; Bartelt, N.C.; Ling, S.; Guan, P.-W.; Way, L.; Allendorf, M.D.; Stavila, V. Phase Diagrams of Alloys and Their Hydrides via On-Lattice Graph Neural Networks and Limited Training Data. J. Phys. Chem. Lett. 2024, 15, 1500–1506. [Google Scholar] [CrossRef] [PubMed]





























| Material | V [Å3] | ρ [g/cm3] | Ef [eV/atom] | E [GPa] | θD [K] | Kmin [W/mK] | E-Ef [eV] |
|---|---|---|---|---|---|---|---|
| MgGaH5 | 365.04 | 1.80 | −0.039 | 26.08 | 345.96 | 0.68 | 3.61 |
| CaGaH5 | 194.14 | 1.96 | −0.237 | 22.93 | 306.24 | 0.59 | 4.05 |
| BaGaH5 | 201.30 | 3.50 | −0.296 | 33.50 | 265.83 | 0.51 | 3.08 |
| Phase | Efor [eV/atom] This Study | Efor [eV/atom] Previous Study | Difference [eV/atom] | Difference [%] |
|---|---|---|---|---|
| Sc2BiC | −0.66 | −0.62 | −0.04 | 6.45 |
| Sc2BrC | −1.36 | −1.04 | −0.22 | 21.15 |
| Sc2BrN | −1.79 | −1.62 | −0.17 | 10.49 |
| Metal | T [K] | UN [m/s] |
|---|---|---|
| Fe | 1100 | 48 |
| 900 | 20 | |
| Cu | 850 | 18 |
| 750 | 16 |
Disclaimer/Publisher’s Note: The statements, opinions and data contained in all publications are solely those of the individual author(s) and contributor(s) and not of MDPI and/or the editor(s). MDPI and/or the editor(s) disclaim responsibility for any injury to people or property resulting from any ideas, methods, instructions or products referred to in the content. |
© 2025 by the authors. Licensee MDPI, Basel, Switzerland. This article is an open access article distributed under the terms and conditions of the Creative Commons Attribution (CC BY) license (https://creativecommons.org/licenses/by/4.0/).
Share and Cite
Matyszczak, G.; Jasiak, C.; Rusinkiewicz, G.; Domian, K.; Brzozowski, M.; Krawczyk, K. Mathematical Modeling of Properties and Structures of Crystals: From Quantum Approach to Machine Learning. Crystals 2025, 15, 61. https://doi.org/10.3390/cryst15010061
Matyszczak G, Jasiak C, Rusinkiewicz G, Domian K, Brzozowski M, Krawczyk K. Mathematical Modeling of Properties and Structures of Crystals: From Quantum Approach to Machine Learning. Crystals. 2025; 15(1):61. https://doi.org/10.3390/cryst15010061
Chicago/Turabian StyleMatyszczak, Grzegorz, Christopher Jasiak, Gabriela Rusinkiewicz, Kinga Domian, Michał Brzozowski, and Krzysztof Krawczyk. 2025. "Mathematical Modeling of Properties and Structures of Crystals: From Quantum Approach to Machine Learning" Crystals 15, no. 1: 61. https://doi.org/10.3390/cryst15010061
APA StyleMatyszczak, G., Jasiak, C., Rusinkiewicz, G., Domian, K., Brzozowski, M., & Krawczyk, K. (2025). Mathematical Modeling of Properties and Structures of Crystals: From Quantum Approach to Machine Learning. Crystals, 15(1), 61. https://doi.org/10.3390/cryst15010061

