Preparation, Thermal Behavior, and Conformational Stability of HMX/Cyclopentanone Cocrystallization
Abstract
1. Introduction
2. Materials and Methods
2.1. Materials
2.2. Preparation of HMX/Cyclopentanone Cocrystalation
2.3. Characterization of HMX/Cyclopentanone Cocrystalation
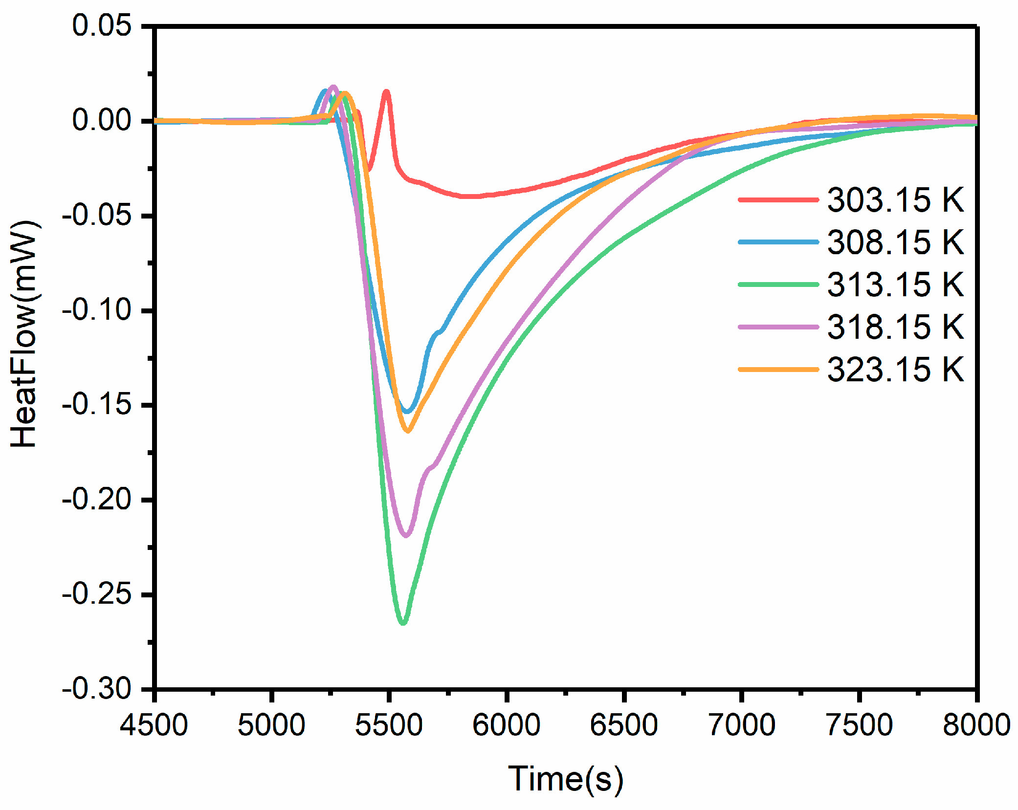
2.4. Calorimeter Experiment of HMX in Cyclopentanone
2.5. Computation
3. Results and Discussion
3.1. Crystal Morphology of HMX/Cyclopentanone Cocrystallization
3.2. Chemical Characterization of HMX/Cyclopentanone Cocrystallization
3.3. Thermochemical Behavior of HMX in Cyclopentanone
3.4. Kinetics of the Dissolution Process
3.5. Conformation Stability of HMX Molecule in Cyclopentanone
4. Conclusions
Author Contributions
Funding
Data Availability Statement
Acknowledgments
Conflicts of Interest
Appendix A
| T (K) | m (mg) | t (s) | −(dH/dt)i (mJ/s) | () i | (kJ/mol) |
|---|---|---|---|---|---|
| 303.15 | 2.58 | 200 | −0.0289 | 0.1277 | 10.5044 |
| 400 | −0.0315 | 0.2932 | |||
| 600 | −0.0300 | 0.4515 | |||
| 800 | −0.0269 | 0.5931 | |||
| 1000 | −0.0235 | 0.7119 | |||
| 1200 | −0.0200 | 0.8051 | |||
| 1400 | −0.0174 | 0.8768 | |||
| 308.15 | 2.82 | 200 | −0.0561 | 0.2833 | 10.9809 |
| 400 | −0.0405 | 0.5069 | |||
| 600 | −0.0293 | 0.6591 | |||
| 800 | −0.0210 | 0.7629 | |||
| 1000 | −0.0168 | 0.8364 | |||
| 1200 | −0.0129 | 0.8899 | |||
| 1400 | −0.0103 | 0.9293 | |||
| 313.15 | 2.88 | 200 | 0.1960 | 0.2295 | 18.8202 |
| 400 | 0.1291 | 0.4536 | |||
| 600 | 0.0832 | 0.6144 | |||
| 800 | 0.0551 | 0.7329 | |||
| 1000 | 0.0328 | 0.8213 | |||
| 1200 | 0.0187 | 0.8868 | |||
| 1400 | 0.0068 | 0.9352 | |||
| 318.15 | 2.77 | 200 | 0.2192 | 0.2527 | 15.8023 |
| 400 | 0.1753 | 0.4945 | |||
| 600 | 0.1350 | 0.6775 | |||
| 800 | 0.1016 | 0.8112 | |||
| 1000 | 0.0727 | 0.9030 | |||
| 1200 | 0.0503 | 0.9595 | |||
| 1400 | 0.0324 | 0.9884 | |||
| 323.15 | 2.56 | 200 | 0.1416 | 0.2280 | 11.9946 |
| 400 | 0.1041 | 0.4934 | |||
| 600 | 0.0687 | 0.6831 | |||
| 800 | 0.0433 | 0.8098 | |||
| 1000 | 0.0278 | 0.8922 | |||
| 1200 | 0.0183 | 0.9456 | |||
| 1400 | 0.0097 | 0.9793 |
References
- Cady, H.H.; Larson, A.C.; Cromer, D.T. The Crystal Structure of α-HMX and a Refinement of the Structure of β-HMX. Acta Crystallogr. 1963, 16, 617–623. [Google Scholar] [CrossRef]
- Cobbledick, R.E.; Small, R.W.H. The crystal structure of the δ-form of 1,3,5,7-tetranitro-1,3,5,7-tetraazacyclooctane (δ-HMX): Erratum. Acta Crystallogr. Sect. B 1975, 31, 332. [Google Scholar] [CrossRef]
- Main, P.; Cobbledick, R.E.; Small, R.W.H. Structure of the fourth form of 1,3,5,7-tetranitro-1,3,5,7-tetraazacyclooctane (γ-HMX), 2C4H8N8O8.0.5H2O. Acta Crystallogr. 1985, 41, 1351–1354. [Google Scholar] [CrossRef]
- Gao, D.; Huang, J.; Lin, X.; Yang, D.; Wang, Y.; Zheng, H. Phase transitions and chemical reactions of octahydro-1,3,5,7-tetranitro-1,3,5,7-tetrazocine under high pressure and high temperature. RSC Adv. 2019, 9, 5825–5833. [Google Scholar] [CrossRef] [PubMed]
- McCrone, W.C. CRYSTALLOGRAPHIC DATA. 36. Cyclotetramethylene Tetranitramine (HMX). Anal. Chem. 1950, 22, 1225–1226. [Google Scholar] [CrossRef]
- Brill, T.B.; Reese, C.O. Analysis of intra- and intermolecular interactions relating to the thermophysical behavior of .alpha.-, .beta.-, and .delta.-octahydro-1,3,5,7-tetranitro-1,3,5,7-tetraazocine. J. Phys. Chem. 1980, 84, 1376–1380. [Google Scholar] [CrossRef]
- Bedard, M.; Huber, H.; Myers, J.L.; Wright, G.F. The Crystalline Form of 1,3,5,7-Tetranitro-1,3,5,7-tetrazacyclooctane (HMX). Can. J. Chem. 1962, 40, 2278–2299. [Google Scholar]
- Cobbledick, R.E.; Small, R.W.H. The crystal structure of the complex formed between 1,3,5,7-tetranitro-1,3,5,7-tetraazacyclooctane (HMX) and N,N-dimethylformamide (DMF). Acta Crystallogr. Sect. B 1975, 31, 2805–2808. [Google Scholar] [CrossRef]
- Haller, T.M.; Rheingold, A.L.; Brill, T.B. Structure of the 1/1 complex between octahydro-1,3,5,7-tetranitro-1,3,5,7-tetrazocine (HMX), C4H8N8O8, and N-methyl-2-pyrrolidinone (NMP), C5H9NO. Acta Crystallogr. Sect. C 1985, 41, 963–965. [Google Scholar] [CrossRef]
- Liu, Y.; Xu, J.; Huang, S.; Li, S.; Wang, Z.; Li, J.; Jia, J.; Huang, H. Microstructure and performance of octahydro-1,3,5,7-tetranitro-1,3,5,7-tetrazocine (HMX) crystal clusters obtained by the solvation-desolvation process. J. Energetic Mater. 2019, 37, 282–292. [Google Scholar] [CrossRef]
- Zhao, H.; Gu, G.; Shen, J.; Zhao, X.; Wang, J.; Lan, G. Preparation of Spherical HMX/DMF Solvates, Spherical HMX Particles, and HMX@NTO Composites: A Way to Reduce the Sensitivity of HMX. ACS Omega 2023, 8, 14041–14046. [Google Scholar] [CrossRef] [PubMed]
- Du, Y.-H.; Liu, F.-S.; Liu, Q.-J.; Tang, B.; Zhong, M.; Zhang, M.-J. HMX/NMP cocrystal explosive: First-principles calculations. J. Mol. Model. 2021, 27, 254. [Google Scholar] [CrossRef] [PubMed]
- Duan, X.; Yu, H.; Jie, C.; Li, H. Theoretical Investigation on Structure and Intermolecular Interaction for HMX/DMF Solvate. Chin. J. Energetic Mater. 2012, 20, 454–458. [Google Scholar]
- Landenberger, K.B.; Matzger, A.J. Cocrystals of 1,3,5,7-Tetranitro-1,3,5,7-tetrazacyclooctane (HMX). Cryst. Growth Des. 2012, 12, 3603–3609. [Google Scholar] [CrossRef]
- Mäki-Arvela, P.; Shcherban, N.; Lozachmeur, C.; Eränen, K.; Aho, A.; Smeds, A.; Kumar, N.; Peltonen, J.; Peurla, M.; Russo, V.; et al. Aldol Condensation of Cyclopentanone with Valeraldehyde Over Metal Oxides. Catal. Lett. 2019, 149, 1383–1395. [Google Scholar] [CrossRef]
- Xiao-Hong, L.; Feng-Qi, Z.; Si-Yu, X.; Xue-Hai, J. Molecular dynamics simulation on miscibility of trans-1,4,5,8-tetranitro-1,4,5,8 -tetraazadecalin (TNAD) with some propellants. J. Mol. Model. 2013, 19, 2391–2397. [Google Scholar] [CrossRef] [PubMed]
- Chen, X.; He, L.; Li, X.; Zhou, Z.; Ren, Z. Molecular Simulation Studies on the Growth Process and Properties of Ammonium Dinitramide Crystal. J. Phys. Chem. C 2019, 123, 10940–10948. [Google Scholar] [CrossRef]
- Wu, H.; Zhang, Y.; Chang, P.; Hao, H.; Zhai, L.; Wang, B. Solubility, dissolution properties and molecular dynamic simulation of 2,6-bis(picrylamino)-3,5-dinitropyridine in pure and binary solvents. J. Mol. Liq. 2022, 368, 120567. [Google Scholar] [CrossRef]
- Kilday, M. Enthalpy of Solution of SRM 1655 (KCl) in H2O. J. Res. Natl. Bur. Stand. 1980, 85, 467–481. [Google Scholar] [CrossRef]
- Chai, J.D.; Head-Gordon, M. Long-Range Corrected Double-Hybrid Density Functionals. J. Chem. Phys. 2009, 131, 174105. [Google Scholar] [CrossRef]
- Boys, S.F.; Bernardi, F. The calculation of small molecular interactions by the differences of separate total energies. Some procedures with reduced errors. Mol. Phys. 2002, 19, 553–566. [Google Scholar] [CrossRef]
- Frisch, M.J.; Trucks, G.W.; Schlegel, H.B.; Scuseria, G.E.; Robb, M.A.; Cheeseman, J.R.; Scalmani, G.; Barone, V.; Petersson, G.A.; Nakatsuji, H.; et al. Gaussian 09, Revision A.02; Gaussian, Inc.: Wallingford, CT, USA, 2016. [Google Scholar]
- Materials Studio 2018, Accelrys Inc.: San Diego, CA, USA, 2017.
- Xue, L.; Zhao, F.; Xing, X.; Zhou, Z.; Wang, K.; Xu, S.; Yi, J.; Hu, R. Dissolution Thermodynamics of 1,2,3-Triazole Nitrate in Water. J. Solut. Chem. 2012, 41, 17–24. [Google Scholar] [CrossRef]
- Gao, H.-X.; Zhao, F.-Q.; Hu, R.-Z.; Pan, Q.; Wang, B.-Z.; Yang, X.-W.; Gao, Y.; Gao, S.-L. Thermochemical Properties, Thermal Behavior and Decomposition Mechanism of 1,1-Diamino-2,2-dinitroethylene (DADE). Chin. J. Chem. 2006, 24, 177–181. [Google Scholar] [CrossRef]
- Xing, X.L.; Xue, L.; Zhao, F.Q.; Gao, H.X.; Hu, R.Z. Thermochemical properties of 1,1-diamino-2,2-dinitroethylene (FOX-7) in dimethyl sulfoxide (DMSO). Thermochim. Acta 2009, 491, 35–38. [Google Scholar] [CrossRef]
- Hu, R.Z.; Gao, S.L.; Zhao, F.Q.; Shi, Q.Z.; Zhang, T.L.; Zhang, J.G. Thermal Analysis Kinetics, 2nd ed.; Science Press: Beijing, China, 2008. [Google Scholar]
- Kolker, A.; Safonova, L. Molar heat capacities of the (water + acetonitrile) mixtures at T = (283.15, 298.15, 313.15, and 328.15) K. J. Chem. Thermodyn. 2010, 42, 1209–1212. [Google Scholar] [CrossRef]
- Miller, G.R.; Garroway, A.N. A Review of the Crystal Structures of Common Explosives; Part I: RDX, HMX, TNT, PETN, and Tetryl; Naval Research Laboratory: Washington, DC, USA, 2001. [Google Scholar]
- Ravindran, T.R.; Rajan, R.; Venkatesan, V. Review of Phase Transformations in Energetic Materials as a Function of Pressure and Temperature. J. Phys. Chem. C 2019, 123, 29067–29085. [Google Scholar] [CrossRef]











| T (K) | a (mol) | b (mol/L) | Q (J) | dissH (kJ/mol) |
|---|---|---|---|---|
| 303.15 | 8.71 | 0.87 | 0.0915 | 10.50 |
| 308.15 | 9.52 | 0.95 | 0.1046 | 10.98 |
| 313.15 | 9.72 | 0.97 | 0.1868 | 19.21 |
| 318.15 | 9.35 | 0.94 | 0.1496 | 16.00 |
| 323.15 | 8.67 | 0.86 | 0.1047 | 12.11 |
| T (K) | n | lnk | r |
|---|---|---|---|
| 303.15 | 0.3549 | −5.6641 | 0.9940 |
| 308.15 | 0.7911 | −5.0505 | 0.9940 |
| 313.15 | 1.3185 | −4.1569 | 0.9935 |
| 318.15 | 0.4623 | −4.2205 | 0.9901 |
| 323.15 | 0.7517 | −4.2940 | 0.9947 |
| Etot (a.u.) | s 1 (kcal/mol) | EBSSE 2 (kcal/mol) | ’s 3 (kcal/mol) | |
|---|---|---|---|---|
| α-HMX/cyclopentanone | −1467.05 | −14.04 | 2.29 | −11.75 |
| α-HMX dimer | −2392.99 | −16.45 | 3.15 | −13.30 |
| Cyclopentanone dimer | −541.12 | −9.73 | 2.24 | −7.49 |
Disclaimer/Publisher’s Note: The statements, opinions and data contained in all publications are solely those of the individual author(s) and contributor(s) and not of MDPI and/or the editor(s). MDPI and/or the editor(s) disclaim responsibility for any injury to people or property resulting from any ideas, methods, instructions or products referred to in the content. |
© 2024 by the authors. Licensee MDPI, Basel, Switzerland. This article is an open access article distributed under the terms and conditions of the Creative Commons Attribution (CC BY) license (https://creativecommons.org/licenses/by/4.0/).
Share and Cite
Tao, Y.; Jin, S.; Wang, T.; She, C.; Chen, K.; Wang, J.; Li, L. Preparation, Thermal Behavior, and Conformational Stability of HMX/Cyclopentanone Cocrystallization. Crystals 2024, 14, 711. https://doi.org/10.3390/cryst14080711
Tao Y, Jin S, Wang T, She C, Chen K, Wang J, Li L. Preparation, Thermal Behavior, and Conformational Stability of HMX/Cyclopentanone Cocrystallization. Crystals. 2024; 14(8):711. https://doi.org/10.3390/cryst14080711
Chicago/Turabian StyleTao, Yuting, Shaohua Jin, Tongbin Wang, Chongchong She, Kun Chen, Junfeng Wang, and Lijie Li. 2024. "Preparation, Thermal Behavior, and Conformational Stability of HMX/Cyclopentanone Cocrystallization" Crystals 14, no. 8: 711. https://doi.org/10.3390/cryst14080711
APA StyleTao, Y., Jin, S., Wang, T., She, C., Chen, K., Wang, J., & Li, L. (2024). Preparation, Thermal Behavior, and Conformational Stability of HMX/Cyclopentanone Cocrystallization. Crystals, 14(8), 711. https://doi.org/10.3390/cryst14080711
