Abstract
Oxymetholone [C21H32O3] and metribolone [C19H24O2] are synthetic anabolic-androgenic agents which are included in the steroid class. Their ability to form new solid forms and their possibility to be included in host-guest β-cyclodextrin complexes was explored. The recrystallization of the compounds in a wide variety of solvents was accomplished. Two oxymetholone polymorphs and one oxymetholone acetic acid solvate were obtained:, while metribolone is reported only in the starting form. Their crystal structures were elucidated using single-crystal X-ray diffraction and the energies of intermolecular interactions were analyzed. Moreover, oxymetholone also showed the ability to be complexed in a new form of oxymetholone-β-cyclodextrin complex. The materials were also investigated by powder X-ray diffraction, DSC/DTA/TGA analysis, and FT-IR spectroscopy.
1. Introduction
Steroids are biologically active compounds that can be naturally occurring or synthetic and structurally all have the core backbone structure consisting of four rings in common. The steroid core can be found in insects, vertebrates, plants, birds, and humans as well. In humans, the steroid hormones can be divided into five classes such as androgens (testosterone and its analogues), estrogen (estradiol and its derivatives), progestin (progesterone and its derivatives), glucocorticoids (cortisol/corticosterone derivatives), and mineralocorticoids (aldosterone) [1]. From all of these, we will limit ourselves to the group of anabolic steroids which are synthetic chemically derivatives of testosterone, the main male hormone. In the human body, they exert the development and maintenance of male characteristics [2]. The purpose of synthesizing various testosterone analogues was conducted with the scope to provide lower masculinization (androgenic activity) side effects compared with testosterone but to boost or maintain an adequate anabolic component as well [3]. They are molecules that bind to the androgen receptors which are found in various tissues, as well as within muscles and bones where they signal the anabolism providing enhanced protein synthesis [4]. The treatment of several medical conditions is approached with the use of anabolics such as muscle wasting conditions [5,6], treatment of osteoporosis bone loss [7], and increase in muscle mass in the elderly [8,9].
The actual paper is focused on two oral-active synthetic dihydrotestosterone/testosterone derivatives that are oxymetholone and metribolone, respectively. These are C-17 alkylated steroids (specifically added a methyl group in the position of carbon C17) with the purpose of becoming orally active [10].
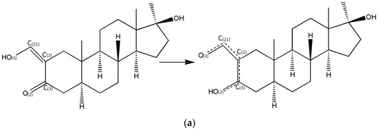
Oxymetholone (2-Hydroxymethylene-17α-methyl-5α-androstan-17β-ol-3-one) (see Figure 1a), also known as “Anadrol” and “Anapolon”, is a popular dihydrotestosterone derivative [11,12] which is used in the treatment of osteoporosis, anemia and in the case of muscle wasting syndrome caused by HIV [13]. However, its use is limited due to the liver toxicity. Oxymetholone is widely used in sports as a performance-enhancing drug due to its increased anabolism in muscle tissues and speed of recovery [13].
Figure 1.
Chemical diagrams of studied compounds indicating the A, B, C, D labelling of steroid core: oxymetholone polymorphs, Oxy-1 and Oxy-2 (a); oxymetholone-acetic acid solvate, Oxy-acetic (b); metribolone, Metr (c).
Metribolone (17α-Methylestra-4,9,11-trien-17β-ol-3-one) (see Figure 1c), known by the name of methyl trenbolone is another anabolic-androgenic compound which is a testosterone derivative (more specifically a 19-nortestosterone derivative; chemically is the 17α methylated form of trenbolone), which from a medical perspective, was only briefly tested in the treatment of breast cancer in women but was discontinued due to its harsh side effects related to hepatotoxicity [14]. It is a very potent anabolic agent that is used in sports for its high protein synthesis feature and muscle recovery [15]. Both are considered banned substances in sports and are found on the list of the World Anti-Doping Agency.
Currently, the literature does not provide the crystal structures and any information related to the structural features of both compounds, and this is the scope of the actual paper. Considering the high hepatotoxicity of both compounds, we tried the complexation with β-cyclodextrin of both, which would possibly offer an increased solubility and bioavailability.
The cyclodextrins (such as α, β, and γ-cyclodextrin) are cyclic oligosaccharides that are comprised of multiple glucose molecules bounded by α-(1,4) glycosidic bonds, among which the β-cyclodextrin is the most popular form [16]. Compounds that belong to a wide variety of classes are suited to be embedded in cyclodextrin preparations, which would offer an increased bioavailability [17,18]. The literature describes many available methods used for cyclodextrin inclusion complexes preparations, among which co-precipitation was applied in the case of oxymetholone complex. Steroids are substances known to possess low aqueous solubility, which impedes the use of steroidal oral drugs in medicine [19]. As a conclusion, the purposes of the actual study are to evaluate the capabilities of oxymetholone and metribolone to grow in the form of new polymorphs, solvates, and β-cyclodextrin inclusion complexes.
The crystal structures of two oxymetholone polymorphs, one oxymetholone acetic acid solvate, and the start structure of metribolone were determined by single-crystal X-ray diffraction. The intermolecular interaction energies within the lattice were investigated quantitatively in terms of magnitudes and their nature. The obtained solid forms and the inclusion of oxymetholone in a new β-cyclodextrin complex were explored by powder X-ray diffraction, FT-IR spectroscopy, and DTA/TGA analysis. The aqueous solubility of the prepared inclusion complex was also evaluated.
2. Materials and Methods
2.1. Crystallization Experiments
White crystalline oxymetholone powder and yellowish crystalline metribolone powder with a purity of 99% were received from Wuhan Shu Mai Technology Co., while the solvents were purchased from Merck (Taufkirchen, Germany).
Suitable single crystals for X-ray diffraction analysis were grown via high-throughput screening for new solid forms using the crystallization platform Crissy XL light where up to 24 vials can be prepared simultaneously. Various solvents and mixtures were added in three consecutive steps to obtain a volume of 1 mL of solution in such a way that the materials were completely dissolved. Single crystals that are suitable for X-ray single diffraction analysis were prepared by slow evaporation as presented below:
- (i)
- Oxymetholone, the first polymorph, starting compound (denoted Oxy-1) was crystallized from acetone solution (Figure 1a);
- (ii)
- Oxymetholone, second polymorph (denoted Oxy-2) was crystallized from dichloromethane solution (Figure 1a);
- (iii)
- Oxymetholone-acid acetic solvate (denoted Oxy-acetic) was crystallized in a mixture of acetic acid-water in 1:1 volumetric proportions (Figure 1b);
- (iv)
- Metribolone, found as a start form (denoted Metr) was crystallized from a solution of ethanol (Figure 1c).
2.2. Preparation of β-Cyclodextrin Inclusion Complex of Oxymetholone
The inclusion complex was prepared considering a molar ratio of 2:1 (steroid to β-cyclodextrin), with the steroid being dissolved in ethanol and the cyclodextrin in distilled water. The solutions were mixed up, and the steroid solution was added dropwise in the cyclodextrin solution. Afterward, the obtained mixture was stirred for 6 h at a temperature of 50 °C. Solvents (ethanol and water) were evaporated slowly at ambient temperature and a white and fine crystalline powder of the complex was obtained.
2.3. Powder X-ray Diffraction
Powder diffraction patterns were recorded with monochromatic radiation (CuKα1; λ = 1.54056 Å) using a Bruker D8 Advance diffractometer (40 kV, 40 mA), (Karlsruhe, Germany) equipped with a germanium monochromator placed in the incident beam and a LYNXEYE detector. A scan rate of 0.01° s−1 was used for the acquisition of data by the DIFFRAC plus XRD Commander program.
2.4. Single-Crystal X-ray Diffraction and Refinement
Suitable single crystals for data collection were placed and coated on a nylon loop using inert oil and mounted on the goniometer of a SuperNova diffractometer (50 kV and 0.8 mA), (Rigaku, Tokyo, Japan), which is equipped with dual Cu and Mo micro-sources and an Eos CCD detector. Collection, correction for Lorentz, polarization, and absorption effects of experimental data were accomplished by CrysAlis PRO software ((version 40_64.84a, Yarnton, Oxfordshire, UK)) [20]. All structures were approached in Olex2 software (version 1.2.10, Durham, UK) [21] and solved with the SHELXT program [22] using Intrinsic Phasing and were further refined using SHELXL [23] by Least Squares minimization.
H atoms bound to C atoms were approached by the standard riding procedure with the isotropic displacement parameter of their parent atom, e.g., Uiso(H) = 1.2Ueq(C) for ternary CH groups [C-H = 0.98 Å], secondary CH2 groups [C-H = 0.97 Å] and 1.5Ueq(C) considered for the methyl CH3 groups [C-H = 0.96 Å]. The hydroxyl O-H atoms were treated and refined as riding with O-H = 0.82 Å.
2.5. Computational Chemistry
The intermolecular interactions were analyzed in terms of nature and magnitudes for all asymmetric units and the molecules located at distances equal to or shorter than the sum of van der Waals radii. The interaction energies were computed pairwise based on the sum of four different energy terms: electrostatic (Eele), polarization (Epol), dispersion (Edis), and the exchange repulsion term (Erep) [24,25]. The wave function at the [B3LYP/6–31H(d,p)] level of theory was used for the computation in CrystalExplorer software (version 20, Perth, Australia) [24]. Scaling factors involved in the CE-B3LYP model are kele = 1.057, kpol = 0.740, kdisp = 0.871, and krep = 0.618. All C-H and O-H bonds were moved at normalized distances specific to neutron diffraction C-H = 1.083 Å and O-H = 0.983 Å [26].
2.6. Differential Scanning Calorimetry (DSC), Differential Thermal Analysis (DTA) and Thermogravimetric Analysis (TGA)
Differential scanning calorimetry (DSC) analyses were performed on a DSC-60 thermal analyzer (Shimadzu, Kyoto, Japan). The investigated samples were placed in closed aluminum crucibles with perforated lids. The measurements were taken in a nitrogen gas atmosphere with a flow rate of 70 mL/min. During the experiments, a heating rate of 10 °C/min was maintained, and the reference sample was Al2O3.
Differential thermal analysis (DTA) and thermogravimetric analysis (TGA) were performed simultaneously with a Shimadzu DTG-60H instrument. Samples were placed in an open alumina pan and heated from room temperature up to 400 °C, with a heating rate of 10 °C min−1 under nitrogen gas flow (70 mL/min). The reference sample was alumina powder, and TA60WS software (version 2.20, Shimadzu Corporation, Kyoto, Japan) was used for data analysis. DSC and DTA/DTG were calibrated using an indium sample.
2.7. Fourier-Transform Infrared Spectroscopy
FT-IR spectra of materials were obtained with Fourier Transform Infrared Spectrometer Jasco FT-IR 6200 (Jasco Corporation, Ishikawa-machi, Hachioji-shi, Tokyo, Japan), using KBr pelleting. The spectra were collected in the spectral range of 400 to 4000 cm−1 with a resolution of 4 cm−1 and 256 scans. Spectra Manager Version 2.15.01 was used for spectra analysis.
2.8. Solubility Check
The samples were UV-VIS analyzed with the SPECORD 250 PLUS AnalitikJena Spectrophotometer (WinASPECT PLUS software, version 3.9.14.0, Analytik Jena AG, Jena, Germany), using two quartz cells—one for the reference (ultrapure water pH 6) and the other for the sample medium. UV absorption spectra were collected automatically from 190 to 500 nm at an integration time of 0.1 s, determining absorbance as a function of wavelength. The sample media were saturated solutions prepared from 5 mg of each sample dissolved in sufficient water to achieve complete sample dissolution. The solutions were stirred for 48 h at room temperature, then centrifuged and filtered with a syringe with a 0.45 µm PTFE filter. The total volume of liquid in the spectrometer cells was maintained at 480 µL.
3. Results
3.1. Crystal Structures Descriptions
Table 1 presents the detailed crystallographic and refinement data of the analyzed crystals.
Table 1.
Crystallographic and refinement details.
As a remark that results from inspecting the distances between O3, C21, C2, C3, O2 atoms, in all three steroid molecules of asymmetric units of oxymetholone crystals, the C3=O2 bond distances related to the O2 ketone oxygen are characterized by longer distances (1.308x1.348 Å) compared to the typical C=O bonds of 1.22 Å, but are shorter than the simple C-O bond, which has a typical distance of 1.43 Å. The same remark is present at the C2-C21 bonds which are longer than the typical 1.33 Å C=C double bond [27] and are situated between 1.392 and 1.466 Å, which is shorter than the length of the typical C-C simple bond (1.54 Å). Moreover, the O3 oxygen of the oxy groups is involved in the O3-C21 bond, which has distances of 1.210–1.278 Å and which are specific to the C=O double bond instead of the expected C-O simple bonds distances of 1.33 to 1.43 Å [26]. In this way, the proton of the oxy group is now probably found in the O2 oxygen, which becomes, to some extent, a hydroxyl group. Similarly, the C2-C3 bond distances within six-membered A rings are heavily shortened compared to those specific to C-C simple bonds and now are falling in the range of 1.321–1.377 Å, which is specific to double bonds.
The same behavior can be reported in the case of all three crystals of oxymetholone. The expected chemical formula of C21H32O3 for steroid molecules is retained in all three crystals. The proposed resonance scheme of oxymetholone, which is suitable for all three crystals, is illustrated in Figure 2a.

Figure 2.
The proposed resonance structure found in oxymetholone crystals (a); possible equivalent molecular forms (b).
Regarding the nature of the C=O bonds in oxymetholone and the relationship between them, a scheme of possible forms of enolization can be summarized (Figure 2b). Through the careful analysis of the distances and the orientation of the functional groups, the conclusion is reached that the C′ form predominates, which is found in Oxy-1, Oxy-acetic and two molecules from the asymmetric unit from Oxy-2. Form D, in which intramolecular O-H⋯O hydrogen bonds are formed, is found only in two molecules of the asymmetric unit from Oxy-2.
3.1.1. Oxy-1
The starting form of oxymetholone crystallizes in the monoclinic system, P21 non-centrosymmetric space group with an asymmetric unit comprised of four individual steroid molecules denoted by A, B, C, and D suffixes (Figure 3a). The formation of supramolecular architectures is driven by O-H⋯O hydrogen bonding, which links A, B, C, D molecules alternatively, with the O1 oxygen of the hydroxyl group and O2 oxygen serving as donors and the O3 and O1 acceptors as well (Figure 3b). The molecules are disposed in layers, these layers being interconnected via combinations of C-H⋯C (C-H⋯π) and C-H⋯H-C short contacts. An overall crystal packing diagram of steroid molecules in Oxy-1 along the a axis is depicted in Figure 3c. A more detailed inspection of the supramolecular synthons shows that R22(24) motifs are formed between the pairs of A-B and C-D molecules. Complex synthons of the R66(42) type are also formed, in which six steroid molecules participate. These are illustrated in Figure 3b.
Figure 3.
The asymmetric unit of Oxy-1 displaying C and O atoms as thermal ellipsoids at 50% probability level (a); O-H⋯O hydrogen bonding involved in molecular layers (b); crystal packaging along a axis (c).
3.1.2. Oxy-2
Recrystallization of oxymetholone in dichloromethane led to the rearrangement of steroid molecules in a new polymorphic form whose asymmetric unit contains four steroid molecules as well (denoted with suffixes A, B, C, and D), which belongs to the monoclinic non-centrosymmetric P21 space group (Figure 4a). The molecular self arrangements are similar with those found in Oxy-1, with the O-H⋯O hydrogen bonding participating in stability but with the exception that in Oxy-2, the A-B molecules form a layer (they are linked via R22(24) motifs) and C-D, the second molecular layer, which forms C33(17) chain synthons (Figure 4b). Another difference compared with the starting polymorph is that in Oxy-2, the O2 and O3 oxygen atoms of C and D molecules are involved in intramolecular O-H⋯O bonding. The alternant A-B and C-D layers further interact via C-H⋯H-C contacts. The molecular arrangements in the crystal seen along the b axis are illustrated in Figure 4c.
Figure 4.
The asymmetric unit of Oxy-2 displaying C and O atoms as thermal ellipsoids at 50% probability level (a); molecular layers linked by O-H⋯O bonds (b); crystal packing along b axis (c).
3.1.3. Oxy-Acetic
Recrystallization of the starting sample in acetic acid yielded the embedding of acetic acid molecules within the lattice and the formation of a multi-component structure, which consists of steroid and solvate molecules found in a stoichiometric ratio of 1:1 and whose asymmetric unit is depicted in Figure 5a. The crystals belongs to the rare non-centrosymmetric C2221 space group (which is reported in the CSD database at a frequency rate of 1:100 of orthorhombic structures) and is characterized by a large c lattice constant (a = 7.173 Å, b = 11.9246 Å, c = 51.211 Å). The hydroxyl O1 oxygen serves both as donor and acceptor in the formation of R44(10) graph set motifs binding the acetic acid molecules (O5 carbonyl oxygen serves as acceptor and O4 hydroxyl oxygen as donor) via O-H⋯O hydrogen bonding (Figure 5b). The molecules are arranged in such a way that they depict sinusoidal waves like shaped layers; the layers are further linked by C-H⋯O interactions between acetic acid molecules and steroid⋯steroid C-H⋯H-C contacts (Figure 5c).
Figure 5.
The asymmetric unit of Oxy-acetic displaying C and O atoms as thermal ellipsoids at 50% probability level (a); intermolecular O-H⋯O hydrogen bonds (b); overall crystal packing seen along b axis (c).
3.1.4. Metr
Metribolone crystallized the non-centrosymmetric P21 space group as in the case of Oxy-1 and Oxy-2, with the difference that instead of four molecules, its asymmetric unit contains two individual molecules denoted with A and B suffixes (Figure 6a). Crystal stability is assured by O-H⋯O hydroxyl⋯carbonyl hydrogen bonds in such a way that head to tail steroid⋯steroid interactions occurs between A-A molecules and B-B molecules, respectively. They depict wave-like chains, as illustrated in Figure 6b. The chains are further linked by C-H⋯π and C-H⋯H-C contacts. An overall crystal packing view seen along the a axis is presented in Figure 6c.
Figure 6.
The asymmetric unit of Metr displaying C and O atoms as thermal ellipsoids at 50% probability level (a); intermolecular O-H⋯O hydrogen bonds (b); crystal packing seen along a axis (c).
The analysis of the four crystal structures concludes a few structural features as follows:
- (i)
- All solid forms crystallized in non-centrosymmetric space groups (monoclinic P21 for Oxy-1, Oxy-2, Metr and orthorhombic C2221 space group for Oxy-acetic);
- (ii)
- Oxymetholone polymorphs (Oxy-1 and Oxy-2) are characterized by rather unusual asymmetric units which consist of four individual molecules; Metr is characterized by two molecules in the asymmetric unit;
- (iii)
- In all three oxymetholone-based crystals, the C3=O2 distances related to the carbonyl group, the C2-C3 bond within six-membered A rings, the double C2=C21 bond, and the C21-O3 simple bond in the oxy group are involved in resonance, since these bonds have intermediate distance values between single and double bonds (see Figure 2)
- (iv)
- The separation distances of O-H⋯O and C-H⋯O interactions involved in crystal stability are comparable with those reported in other testosterone derivatives and analogues [28,29,30,31];
- (v)
- Although in oxymetholone crystals the six-membered A rings are characterized by simple C-C bonds and are expected to depict chair configurations, due to the resonance bonding, they are found as half-chair; the six-membered B and C rings are chair and the five-membered D rings depict envelope geometry; other C17 alkylated testosterone analogues possess similar geometries as well [32,33,34,35].
- (vi)
- In the case of Metr, due to the C=C double bonds in the A, B, and C rings, they depict intermediate sofa half-chair conformation; similar steroidal geometries were reported in trenbolone base [36] and some trenbolone esters [37];
- (vii)
- Cohesion of supramolecular architectures is driven mainly by electrostatic and dispersion energies (see Table S1, Supporting Information).
3.2. X-ray Powder Diffraction Analysis
The purity and the structural homogeneity of the solid forms were checked by powder X-ray diffraction analysis. The comparison between simulated diffraction patterns (denoted Sim) generated using the CIF files with the experimental patterns (denoted Exp) is presented in Figure 7a–d. The position of diffraction lines shows a good match, which suggests that the samples are constituted of pure phases. Some diffraction peaks in the experimental patterns are characterized by less or more intense peaks, which indicate the preferred orientation of crystallites.
Figure 7.
Powder X-ray diffraction comparison of investigated samples: Oxy-1 (a); Oxy-2 (b); Oxy-acetic (c); Metr (d); inclusion complex and start materials (e).
The preparation and inclusion of oxymetholone in a beta-cyclodextrin complex is highlighted by a comparison of diffraction patterns of the raw start steroid sample, start beta-cyclodextrin, the newly obtained oxymetholone-beta-cyclodextrin complex (Figure 7e). It can be noticed that start beta-cyclodextrin is no longer present. Some diffraction lines of the pure steroid and for the oxymetholone-beta-cyclodextrin complex appear by random coincidence at similar 2ϴ, but still they are slightly shifted, which suggests that the inclusion of the steroid, which is a small molecule, is easily fitted inside the cyclodextrin cavity. Some preparations of beta-cyclodextrin with other steroidal compounds such as methyltestosterone [38], estradiol [39], and progesterone [40] have been recently reported.
3.3. Intermolecular Interaction Energies Evaluation
The strength and the nature of intermolecular interactions (Table S1, Supplementary Information) were explored for the molecules within asymmetric units and their molecular contacts located at distances equal to or shorter than the sum of van der Waals radii. The geometries and separation distances of all intermolecular contacts are listed in Table S2 (Supplementary information). In this way, we assessed an in-depth perspective on the crystal packing and formation of supramolecular self-assemblies. The analysis of total intermolecular energies and their breakdown in four distinct energy terms (Eele-electrostatic, Epol-polarization, Edisp-dispersion, and Erep-repulsion) are given in Table S1 (Supplementary Information).
Based on the values listed, a few structural characteristics can be stated:
- (i)
- Due to the presence of O-H⋯O bonding, the electrostatic energy is the dominant component which is the main factor in cohesion in all crystal structures;
- (ii)
- The dispersion component plays an important role in cohesion and is present in the intermolecular interactions which exhibit C-H⋯H-C contacts but lack O-H⋯O bonding;
- (iii)
- In oxymetholone-based crystals, due to the resonance, the protonated carbonyl O2 participates in head-to-tail steroid⋯steroid interactions with the C17 bounded O1 hydroxyl group, which led to high absolute values of electrostatic terms, zero magnitudes of the repulsion term and an overall lower magnitude of Etot (more stable lattice configuration) with values up to −114.8 kJ/mol in Oxy-1;
- (iv)
- In Metr, the interaction energies involving O-H⋯O hydrogen bonds are lower in absolute value;
- (v)
- Out of the attraction terms, the polarization term is the least significant and indicates that molecules are not polarized.
3.4. DSC/DTA/TGA Analysis
DSC analysis can be used to evaluate the thermal behavior and stability and to assign the melting points of pharmaceutical compounds. In the case of first oxymetholone polymorph (Oxy-1) an endotherm with onset at 169 °C and with the peak at 176 °C is assigned to the melting point (Figure 8a) This peak is complex and shows a shoulder at a temperature of approximately 160 °C, which indicates that the melting process takes place in two stages. The second oxymetholone polymorph (Oxy-2) also manifests a sharp endothermic event, with onset at 155 °C and a peak at 167 °C, which indicates its melting point as well (Figure 8b). It can be noted that in the case of both polymorphs, prior to the melting points, no other endothermic events occur, which suggests that the samples are solvent-free. However, at Oxy-1 around the value of 125 °C, a small exotherm is observed, which could suggest a possible solid-solid transformation which is generally low in energy.
Figure 8.
DSC/DTA/TGA/XRD curves for: Oxy−1 (a), Oxy−2 (b), Oxy−acetic (c), Oxy−acetic heated up to 110 °C (d) XRD comparison for Oxy-2 and Oxy-acetic highlighting the phase transformation (e), Metr (f) cyclodextrin (g), oxymetholone–cyclodextrin inclusion complex (h).
The DSC trace of the multi-component crystal (Oxy-acetic) exhibits an endothermic event with onset at 80 °C and with a peak at 95 °C, which can be assigned to the heat absorbed by the sample which led to the loss of the solvent found within the lattice; furthermore, with the onset at 149 °C and with the peak at 159 °C, the second endothermic peak indicates the melting point of the remaining steroid (Figure 8c). A closer analysis of the crystal Oxy-acetic was made by heating it to a temperature of 110 °C to cause the desolvation of the sample, a process that can be seen from the TGA curve (Figure 8d), and the significant mass loss of 12.3% is accompanied with the acetic acid molecules leaving the crystal lattice. Further, the remaining sample was allowed to cool and X-ray diffraction analysis was performed, which identified a phase transformation. Thus, it is found that upon the loss of the solvent in Oxy-acetic, it becomes an Oxy-2 polymorph (Figure 8e). Thus, all the diffraction lines corresponding to Oxy-2 (Sim) can also be found in the sample heated to 110 °C and subsequently cooled on the Oxy-acetic (Exp) TT/110C diagram. The DSC trace of metribolone (Figure 8f) exhibits a sharp endothermic event, with the onset at 172 °C and a peak at 174 °C, and is related to the heat absorbed by the sample in the process of melting.
Supplementary analysis of the formation of oxymetholone-beta-cyclodextrin inclusion complex was performed via DTA\TGA analysis of raw starting materials (beta-cyclodextrin and oxymetholone) and the new inclusion complex. The DTA trace of cyclodextrin (Figure 8g) manifests a wide endothermic event that onsets at roughly 68 °C and peaks at 103 °C and can be attributed to the heat absorbed and required for the loss of crystallization water molecules, which is accompanied by a loss in mass of 11.5% in the TGA graph and an endothermic event, with the onset at roughly 299 °C and a peak at 316 °C, and is assigned to the decomposition [41].
The cyclodextrin complex (Figure 8h) manifests an endotherm that onsets at 54 °C and peaks at 74 °C, which is related to the loss of crystallization water and is accompanied by a mass loss of 6.5%. The second small endotherm with the onset at 170 °C and with the peak at 180 °C is probably due to the reorganization of beta-cyclodextrin and the leaving of steroid molecules fitted in the cavity, which is accompanied by a mass loss of 26%. When the guest molecule is incorporated into the cavity, the melting point, boiling point, and thermal behavior usually change [42]. Further, at roughly 310 °C, the decomposition of the cyclodextrin takes place.
3.5. FT-IR Spectroscopy
FTIR spectroscopy can be used as a useful tool in the field of pharmaceutics by analyzing the unique chemical bonds and the specific functional group of each compound.
Figure S1a (Supporting Information) illustrates the comparison of the four solid forms. In the case of Oxy-1, Oxy-2 polymorphs, and Oxy-acetic, the bands at 3336, 3403, and 3368 cm−1 are assigned to O-H stretching of hydroxyl groups. Oxy-acetic shows a supplementary band at 3447 cm−1 assigned to the O-H stretching in the acetic acid molecule. Metr manifests the O-H bands in multiple overlapped bands at 3361–3345 cm−1. Further, the multiple overlapped bands at 2856–3086 cm−1 for Oxy-1, 2854–3096 cm−1 for Oxy-2, 2852–3086 cm−1 for Oxy-acetic, and 2829–3063 cm−1 for Metr are attributed to symmetric and asymmetric C-H stretching of CH, CH2 and CH3 groups. The 2688 cm−1 band for Oxy-1, 2692 cm−1 for Oxy-2, and 2659 cm−1 for Oxy-acetic probably appears due to the O-H stretching of the protonated carbonyl group, while Metr is lacking in this band.
The shortened carbon-oxygen distances (see Figure 2; C21-O3 bond) in the hydroxyl of the oxy groups can be seen as the weak bands at 1716 cm−1 for Oxy-1 and Oxy-2, while in Oxy-acetic, it becomes overlapped with the carbonyl C=O bands of acetic acid molecules between 1700 and 1766 cm−1. The 1742 cm−1 band for Metr is attributed to the carbonyl C=O stretching.
The 1614 cm−1 band for Oxy-1, 1612–1626 cm−1 for Oxy-2, and 1628 cm−1 band for Oxy-acetic are related to the elongated C21-C2 double bond and shortened C2-C3 bond (see Figure 2) in the resonated structures. The 1565, 1580, and 1639 cm−1 bands in Metr are assigned to the C=C stretching of carbon atoms found within the six-membered steroid rings.
The FTIR spectra comparison of starting materials (oxymetholone and cyclodextrin) with the inclusion complex is presented in Figure S1b (Supporting Information).
The spectra of pure cyclodextrin (Figure S1b, Supporting Information) manifest a broad peak at 3384 cm−1, while the inclusion complex shows a peak at 3345 cm−1 and is related to the stretch of O-H groups. The band at 2926 cm−1 in cyclodextrin is due to C-H stretch, while the bands at 2855, 2926, and 2959 cm−1 in the complex can be assigned to C-H stretching of the embedded steroid molecules within the cavity. The band at 2729 cm−1 in complex and the band at 2688 cm−1 in the steroid spectra are related to the O-H stretching of protonated C=O carbonyl. The band seen at 1643 cm−1 in cyclodextrin is attributed to H-O-H bending of water present in cyclodextrin [43]. The bands at 1614 cm−1 in the steroid and 1618 cm−1 in the complex are related to the elongated C21-C2 double bonds (see Figure 2). As an important remark, we mention that the bands due to the steroid are also found in the inclusion complex.
3.6. Solubility Assessment
Through UV-VIS measurements, it was concluded that the solubility of the solutions was 25 mg/mL (Cyclodextrin), 0.263 mg/mL (Oxy), and 0.365 mg/mL (Oxy-Cyclodextrin 2:1), respectively. These changes in solubility are also reflected in the UV spectra obtained for all samples dissolved in water (Figure S2, Supporting Information). Knowing that the absorbance ratios of the Oxy and the inclusion complex solutions are proportional to the ratio of their concentrations, the solubility was evaluated. From the comparison of the spectra, it can be seen that the complex Oxy-Cyclodextrin in a ratio of 2:1 shows a higher absorbance. The UV absorbance measured between 190 and 450 nm is higher for the complex than that for the starting compound.
4. Conclusions
Crystal structures of three oxymetholone solid forms which include two polymorphs, one acetic acid solvate, and the structure of metribolone were elucidated by single-crystal X-ray diffraction, and they belong either to monoclinic or orthorhombic crystal systems.
Oxymetholone shows a rather high ability to crystallize as new solid forms, while metribolone is limited in this respect. The solvent-free forms of both steroids crystallize rather unusually with four oxymetholone molecules in the asymmetric units and two for metribolone.
The evaluation of the nature and magnitudes of intermolecular interactions indicates that the cohesion within crystal lattices is driven by dominant electrostatic terms manifested via O-H⋯O hydrogen bonds and dispersion energies (related to H⋯H and C⋯H contacts).
An interesting feature of oxymetholone solid forms consists of altered bond lengths in the oxy group, carbonyl group, and A ring of the backbone, which results in a resonance form of the steroid being even more stable from an energetic point of view as it resulted from the evaluation of intermolecular interactions. FTIR spectrometry highlighted the presence of functional groups in the oxymetholone-based solid forms including the explanation of the resonance structure, which reinforces the results obtained by single-crystal X-ray diffraction regarding bond distances.
Oxymetholone shows the potential to be incorporated in host-guest preparations being included in the beta-cyclodextrin inclusion complex, while metribolone could not be obtained by the co-precipitation method. FTIR spectra indicate the presence of oxymetholone bands in the final inclusion complex. On the other hand, X-ray powder diffraction patterns show that it is not a physical mixture of beta-cyclodextrin with oxymetalone, which clearly shows that the inclusion complex was formed.
The solvent-free solid forms that were investigated by thermal methods showed fairly close melting points (176 °C for Oxy-1, 167 °C for Oxy-2, and 174 °C for Metr). Moreover, it was shown that by heating and losing the solvent from the lattice, the Oxy-acetic crystal undergoes a phase transformation, turning into Oxy-2.
Supplementary Materials
The following supporting information can be downloaded at: https://www.mdpi.com/article/10.3390/cryst14060483/s1, Figure S1: FTIR spectra of the four crystals studied (a); spectra of oxymetholone, beta-cyclodextrin and oxymetholone-cyclodextrin complex (b); Figure S2: UV spectra of samples; Table S1: Interaction energies for selected contacts (kJ/mol); Table S2: Geometry of intermolecular interactions for studied crystal structures (Å, °). CIF files of the structures were deposited by the Cambridge Crystallographic Data Centre: 2342013 (Oxy-1); 2342014 (Oxy-2); 2342015 (Oxy-acetic); 2342016 (Metr). The copies can be obtained free of charge on written application to CCDC, 12 Union Road, Cambridge, CB2 1EZ, UK (fax:+44-1223-336033); or by access to http://www.ccdc.cam.ac.uk. accessed on 21 May 2024.
Author Contributions
Conceptualization, A.T. and G.B.; methodology, G.B.; software, A.T.; validation, A.T., M.O.M., M.M.-P. and G.B.; formal analysis, G.B. and M.O.M.; investigation, M.O.M.; resources, G.B.; data curation, A.T.; writing—original draft preparation, A.T. and G.B.; writing—review and editing, A.T.; visualization, G.B.; supervision, G.B.; project administration, G.B.; funding acquisition, G.B. All authors have read and agreed to the published version of the manuscript.
Funding
This research was funded by MINISTRY OF RESEARCH, INNOVATION AND DIGITALIZATION through the “Nucleu” Programe within the National Plan for Research, Development and Innovation 2022–2027, project PN 23 24 01 01. The service for the Oxford SuperNova diffractometer was supported by the Ministry of Research, Innovation, and Digitization through Programme 1-Development of the National Research and Development System, Subprogramme 1.2-Institutional Performance-Funding Projects for Excellence in RDI, Contract No. 37PFE/30.12.2021.
Data Availability Statement
The data can be obtained on request via e-mail to alexandru.turza@itim.ro.
Conflicts of Interest
The authors declare no conflicts of interest.
References
- Lednicer, D. Steroid Chemistry at a Glance, 1st ed.; Wiley: Chichester, UK, 2010. [Google Scholar]
- Mooradian, A.D.; Morley, J.E.; Korenman, S.G. Biological actions of androgens. Endocr. Rev. 1987, 8, 1–28. [Google Scholar] [CrossRef] [PubMed]
- Shahidi, N.T. A review of the chemistry, biological action, and clinical applications of anabolic-androgenic steroids. Clin. Ther. 2001, 23, 1355–1390. [Google Scholar] [CrossRef] [PubMed]
- Kicman, A.T. Pharmacology of anabolic steroids. Br. J. Pharmacol. 2008, 154, 502–521. [Google Scholar] [CrossRef] [PubMed]
- Grunfeld, C.; Kotler, D.P.; Dobs, A.; Glesby, M.; Bhasin, S. Oxandrolone in the treatment of HIV-associated weight loss in men: A randomized, double-blind, placebo-controlled study. J. Acquir. Immune Defic. Syndr. 2006, 41, 304–314. [Google Scholar] [CrossRef] [PubMed]
- Woerdeman, J.; Ronde, W. Therapeutic effects of anabolic androgenic steroids on chronic diseases associated with muscle wasting. Expert Opin. Investig. Drugs 2011, 20, 87–97. [Google Scholar] [CrossRef] [PubMed]
- Adachi, M.; Takayanagi, R. Effect of anabolic steroids on osteoporosis. Clin. Calcium 2008, 18, 1451–1459. [Google Scholar]
- Baum, N.H.; Crespi, C.A. Testosterone replacement in elderly men. Geriatrics 2007, 62, 15–18. [Google Scholar] [PubMed]
- Francis, R.M. Androgen Replacement in Aging Men. Calcif. Tissue Int. 2001, 69, 235–238. [Google Scholar] [CrossRef] [PubMed]
- Solimini, R.; Rotolo, M.C.; Mastrobattista, L.; Mortali, C.; Minutillo, A.; Pichini, S.; Pacifici, R.; Palmi, I. Hepatotoxicity associated with illicit use of anabolic androgenic steroids in doping. Eur. Rev. Med. Pharmacol. Sci. 2017, 21, 7–16. [Google Scholar]
- Elks, J.; Ganellin, C.R. The Dictionary of Drugs: Chemical Data: Chemical Data, Structures and Bibliographies, 1st ed.; Springer: New York, NY, USA, 2013; p. 924. [Google Scholar]
- Index Nominum 2000: International Drug Directory; Amer Pharmacists Assn: Washington, DC, USA, 2000; p. 779.
- Llewellyn, W. Anabolics, 11th ed.; Molecular Nutrition LLC: Jupiter, FL, USA, 2011; pp. 323–334. [Google Scholar]
- Brueggemeier, R.W. Sex Hormones (Male): Analogs and Antagonists. Rev. Cell Biol. Mol. Med. 2006, 1, 1–70. [Google Scholar] [CrossRef]
- Brinkmann, A.O.; Kuiper, G.G.; de Boer, W.; Mulder, E.; Bolt, J.; van Steenbrugge, G.J.; van der Molen, H.J. Characterization of androgen receptors after photoaffinity labelling with [3H] methyltrienolone (R1881). J. Steroid Biochem. 1986, 24, 245–249. [Google Scholar] [CrossRef]
- Buschmann, H.J.; Schollmeyer, E. Applications of cyclodextrins in cosmetic products: A review. J. Cosmet. Sci. 2002, 53, 185–191. [Google Scholar] [PubMed]
- Loftsson, T.; Duchene, D. Cyclodextrins and their pharmaceutical applications. Int. J. Pharm. 2007, 329, 1–11. [Google Scholar] [CrossRef]
- Wenz, G. An Overview of Host-Guest Chemistry and its Application to Nonsteroidal Anti-Inflammatory Drugs. Clin. Drug Investig. 2012, 19, 21–25. [Google Scholar] [CrossRef]
- Khomutov, S.M.; Sidorov, I.A.; Dovbnya, D.V.; Donova, M.V. Estimation of cyclodextrin affinity to steroids. J. Pharm. Pharmacol. 2002, 54, 617–622. [Google Scholar] [CrossRef]
- Rigaku. CrysAlis PRO; Rigaku Oxford Diffraction: Oxfordshire, UK, 2018. [Google Scholar]
- Dolomanov, O.V.; Bourhis, L.J.; Gildea, R.J.; Howard, J.A.; Puschmann, H.K. OLEX2: A complete structure solution refinement and analysis. J. Appl. Cryst. 2009, 42, 339–341. [Google Scholar] [CrossRef]
- Sheldrick, G.M. SHELXT-Integrated Space-Group and Crystal-Structure Determination. Acta Cryst. 2015, A71, 3–8. [Google Scholar] [CrossRef]
- Sheldrick, G.M. Crystal Structure Refinement with SHELXL. Acta Cryst. 2015, C71, 3–8. [Google Scholar] [CrossRef]
- Spackman, P.R.; Turner, M.J.; McKinnon, J.J.; Wolff, S.K.; Grimwood, D.J.; Jayatilaka, D.; Spackman, M.A. CrystalExplorer: A program for Hirshfeld surface analysis, visualization and quantitative analysis of molecular crystals. J. Appl. Cryst. 2021, 54, 1006–1011. [Google Scholar] [CrossRef]
- Mackenzie, C.F.; Spackman, P.R.; Jayatilaka, D.; Spackman, M.A. CrystalExplorer model energies and energy frameworks: Extension to metal coordination compounds, organic salts, solvates and open-shell systems. IUCrJ 2017, 4, 575–587. [Google Scholar] [CrossRef]
- Allen, F.H.; Kennard, O.; Watson, D.G.; Brammer, L.; Orpen, A.G.; Taylor, R. Tables of Bond Lengths determined by X-Ray and Neutron Diffraction. Part 1. Bond Lengths in Organic Compounds. J. Chem. Soc. Perkin Trans. 1987, 2, S1–S19. [Google Scholar] [CrossRef]
- Fox, M.A.; Whitesell, J.K. Organische Chemie: Grundlagen, Mechanismen, Bioorganische Anwendungen, 1st ed.; Springer: Berlin/Heidelberg, Germany, 1995. [Google Scholar]
- Weeks, C.M.; Duax, W.L.; Osawa, Y. 2α-Hydroxytestosterone diacetate. Acta Crystallogr. 1975, B31, 1502–1504. [Google Scholar] [CrossRef]
- Isaacs, N.W.; Motherwell, W.D.S.; Coppola, J.C.; Kennard, O. Crystal and molecular structure of 17α-hydroxyandrost-4-en-3one (epitestosterone). J. Chem. Soc. Perkin II 1972, 2335–2339. [Google Scholar] [CrossRef]
- Courseille, C.; Precigoux, C.; Leroy, F.; Busetta, B. 5α-Androstan-17β-ol-3-one, C19H30O2. Cryst. Struct. Commun. 1973, 2, 441. [Google Scholar]
- Busetta, B.; Courseille, C.; Fornies-Marquina, J.M.; Hospital, M. 5α-Androstan-17β-ol-3-one, C19H30O2. Cryst. Struct. Commun. 1972, 1, 43. [Google Scholar]
- Gaedecki, Z. Structure of 17-α-methyl-testosterone semihydrate C20H30O2·1/2H2O. J. Crystallogr. Spectrosc. Res. 1989, 19, 577–587. [Google Scholar] [CrossRef]
- Rendle, D.F.; Trotter, J. Crystal and molecular structure of 17β-hydroxy-17α-methyl-2-oxa-5α -androstan-3-one. J. Chem. Soc. Perkin II 1975, 1361–1365. [Google Scholar] [CrossRef]
- Turza, A.; Borodi, G.; Muresan-Pop, M.; Ulici, A. Polymorphism and β-cyclodextrin complexation of methyldrostanolone. J. Mol. Struct. 2022, 1250, 131852. [Google Scholar] [CrossRef]
- Turza, A.; Ulici, A.; Muresan-Pop, M.; Borodi, G. Solid forms and β-cyclodextrin complexation of turinabol. Acta Crystallogr. C Struct. Chem. 2022, 78, 305–313. [Google Scholar] [CrossRef]
- Precigoux, G.; Barrans, Y.; Hospital, M. 17-β Hydroxy-4,9,11 Estratriene-3 One, C18H22O2. Cryst. Struct. Commun. 1979, 8, 883–886. [Google Scholar]
- Borodi, G.; Turza, A.; Camarasan, P.A.; Ulici, A. Structural studies of Trenbolone, Trenbolone Acetate, Hexahydrobenzylcarbonate and Enanthate esters. J. Mol. Struct. 2020, 1212, 128127. [Google Scholar] [CrossRef]
- Carvalho, L.B.; Burusco, K.K.; Jaime, C.; Venancio, T.; Carvalho, A.F.S.; Murgas, L.D.S.; Pinto, L.M.A. Complexes between methyltestosterone and β-cyclodextrin for application in aquaculture production. Carbohydr. Polym. 2018, 179, 386–393. [Google Scholar] [CrossRef] [PubMed]
- Mazurek, A.H.; Szeleszczuk, L.; Bethanis, K.; Christoforides, E.; Dudek, M.K.; Zielinska-Pisklak, M.; Pisklak, D.M. 17-β-Estradiol—β-Cyclodextrin Complex as Solid: Synthesis, Structural and Physicochemical Characterization. Molecules 2023, 28, 3747. [Google Scholar] [CrossRef] [PubMed]
- Vicatos, A.I.; Hoossen, Z.; Caira, M.R. Inclusion complexes of the steroid hormones 17β-estradiol and progesterone with β- and γ-cyclodextrin hosts: Syntheses, X-ray structures, thermal analyses and API solubility enhancements. Beilstein J. Org. Chem. 2022, 18, 1749–1762. [Google Scholar] [CrossRef] [PubMed]
- Morin, N.; Chilouet, A.; Millet, J.; Rouland, J.C. Thermal and spectroscopic analysis of inclusion complex of spironolactone prepared by evaporation and hot melt methods. J. Therm. Anal. Calorim. 2000, 62, 187–201. [Google Scholar] [CrossRef]
- Esclusa-Diaz, M.T.; Gayo-Otero, M.; Perez-Marcos, M.B.; Vila-Jato, J.L.; Torres-Labandeira, J.J. preparation and evaluation of ketoconazole-β-cyclodextrin multicomponent complexes. Int. J. Pharm. 1996, 142, 183–187. [Google Scholar] [CrossRef]
- Abarca, R.L.; Rodríguez, F.J.; Guarda, A.; Galotto, M.J.; Bruna, J.E. Characterization of beta-cyclodextrin inclusion complexes containing an essential oil component. Food Chem. 2016, 196, 968–975. [Google Scholar] [CrossRef]
Disclaimer/Publisher’s Note: The statements, opinions and data contained in all publications are solely those of the individual author(s) and contributor(s) and not of MDPI and/or the editor(s). MDPI and/or the editor(s) disclaim responsibility for any injury to people or property resulting from any ideas, methods, instructions or products referred to in the content. |
© 2024 by the authors. Licensee MDPI, Basel, Switzerland. This article is an open access article distributed under the terms and conditions of the Creative Commons Attribution (CC BY) license (https://creativecommons.org/licenses/by/4.0/).