Euler’s First-Order Explicit Method–Peridynamic Differential Operator for Solving Two-Dimensional Population Balance Equations in Crystallization
Abstract
1. Introduction
2. Background Theory
2.1. Population Balance Equation
2.2. The PDDO Method
2.3. Application of the EE–PDDO Method in 2D PBE
2.4. Stability Analysis of the EE–PDDO Method
2.5. Other Numerical Schemes
2.5.1. HR Scheme
2.5.2. Fifth-Order WENO Scheme
3. Numerical Experiments
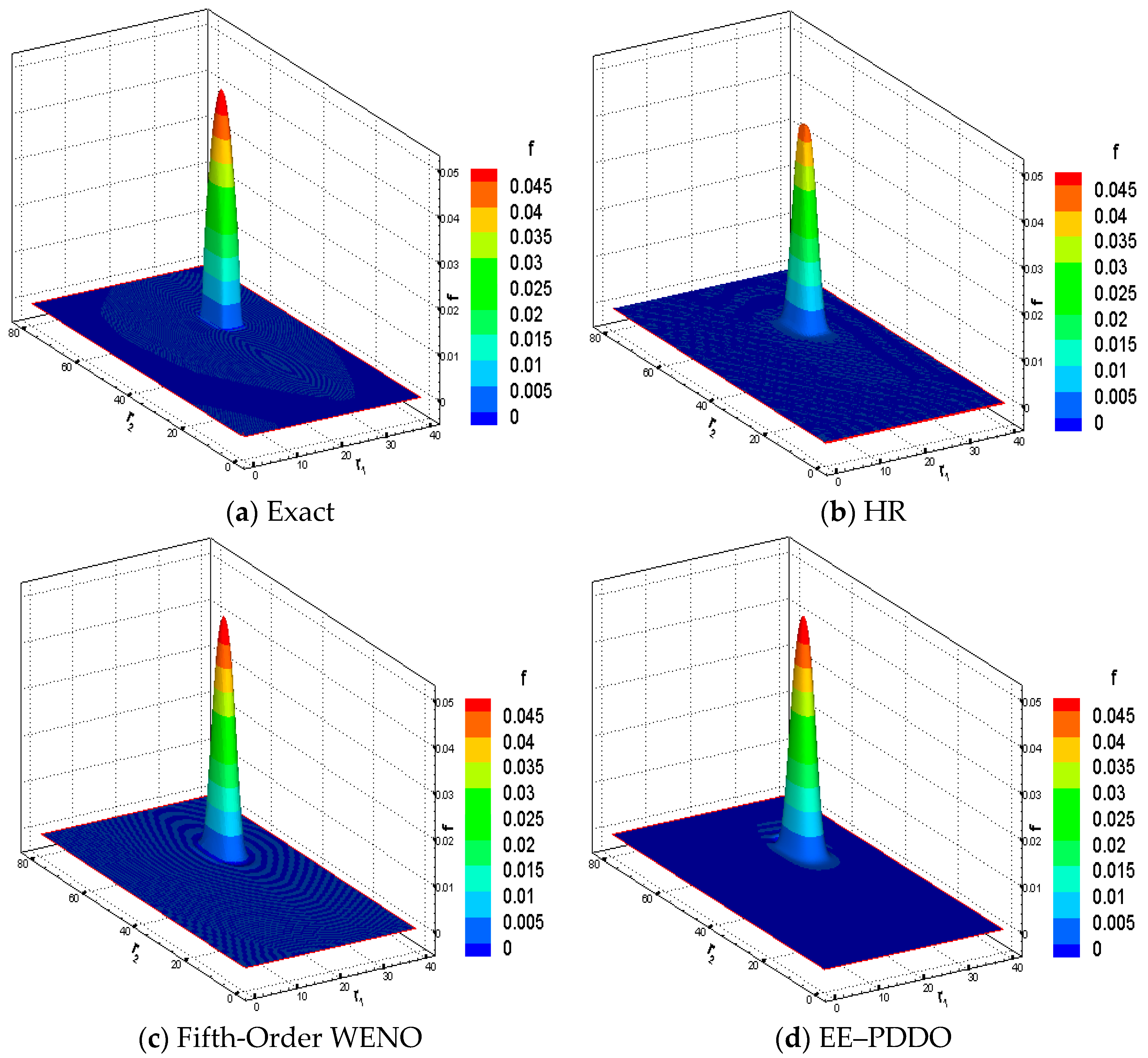
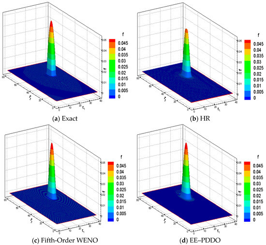
3.1. Size-Independent Growth (Smooth Distribution)
3.2. Size-Independent Growth (Non-Smooth Distribution)
3.3. Size-Dependent Growth
3.4. Nucleation and Size-Independent Growth for 2D Batch Crystallization
3.5. Nucleation and Size-Dependent Growth for 2D Batch Crystallization
4. Conclusions
- (1)
- The EE–PDDO method shows a strong ability to solve 2D PBEs. The accuracy of the EE–PDDO method is better than the HR method and is comparable to the fifth-order WENO method. In the case of size-independent growth with smooth and non-smooth distributions, results obtained using the EE–PDDO method perfectly replicates the exact solution. In the nucleation and size-dependent/independent growth cases, results obtained using the EE–PDDO method exhibit non-oscillation and high accuracy, especially in cases of sharp crystal size distribution.
- (2)
- The Fourier analysis is used to explore the stability of the EE–PDDO method with the simplest form of PBE. In the case of polynomial degree and integer parameter , the stability condition is for the upwind weight function in Equation (15), and the stability condition is for the upwind weight function in Equation (16) with as the Courant number. The optimal time step size needs to be satisfied with for the size-independent growth with smooth and non-smooth distributions.
- (3)
- The weight functions of the EE–PDDO method are discussed for different examples. In the example of size-independent growth with smooth and non-smooth distributions, the upwind weight function in Equation (16) is recommended; in the example of size-dependent growth, the normal weight function of is recommended; in the example of nucleation and size-dependent/independent growth cases, the upwind weight function in Equation (15) is recommended.
Author Contributions
Funding
Data Availability Statement
Conflicts of Interest
References
- Puel, F.; Févotte, G.; Klein, J.P. Simulation and analysis of industrial crystallization processes through multidimensional population balance equations. Part 1: A resolution algorithm based on the method of classes. Chem. Eng. Sci. 2003, 58, 3715–3727. [Google Scholar] [CrossRef]
- Ma, D.L.; Tafti, D.K.; Braatz, R.D. High-resolution simulation of multidimensional crystal growth. Ind. Eng. Chem. Res. 2002, 41, 6217–6223. [Google Scholar] [CrossRef]
- Majumder, A.; Kariwala, V.; Ansumali, S.; Rajendran, A. Lattice Boltzmann method for multi-dimensional population balance models in crystallization. Chem. Eng. Sci. 2012, 70, 121–134. [Google Scholar] [CrossRef]
- Qamar, S.; Ashfaq, A.; Warnecke, G.; Angelov, I.; Elsner, M.; Seidel-Morgenstern, A. Adaptive high-resolution schemes for multidimensional population balances in crystallization processes. Comput. Chem. Eng. 2007, 31, 1296–1311. [Google Scholar] [CrossRef]
- Briesen, H. Simulation of crystal size and shape by means of a reduced two-dimensional population balance model. Chem. Eng. Sci. 2006, 61, 104–112. [Google Scholar] [CrossRef]
- Costa, C.B.B.; Maciel, M.R.W.; Filho, R.M. Considerations on the crystallization modeling: Population balance solution. Comput. Chem. Eng. 2007, 31, 206–218. [Google Scholar] [CrossRef]
- Qamar, S.; Angelov, I.; Elsner, M.; Ashfaq, A.; Seidel-Morgenstern, A.; Warnecke, G. Numerical approximations of a population balance model for coupled batch preferential crystallizers. Appl. Numer. Math. 2009, 59, 739–753. [Google Scholar] [CrossRef]
- Qamar, S.; Ashfaq, A.; Angelov, I.; Elsner, M.; Warnecke, G.; Seidel-Morgenstern, A. Numerical solutions of population balance models in preferential crystallization. Chem. Eng. Sci. 2008, 63, 1342–1352. [Google Scholar] [CrossRef]
- Nicmanis, M.; Hounslow, M.J. Finite-element methods for steady-state population balance equations. AIChE J. 1998, 44, 2258–2272. [Google Scholar] [CrossRef]
- Meimaroglou, D.; Kiparissides, C. Monte Carlo simulation for the solution of the bi-variate dynamic population balance equation in batch particulate systems. Chem. Eng. Sci. 2007, 62, 5295–5299. [Google Scholar] [CrossRef]
- Zhao, H.; Maisels, A.; Matsoukas, T.; Zheng, C. Analysis of four Monte Carlo methods for the solution of population balances in dispersed systems. Powder Technol. 2007, 173, 38–50. [Google Scholar] [CrossRef]
- Hounslow, M.J. A discretized population balance for continuous systems at steady state. AIChE J. 1990, 36, 106–116. [Google Scholar] [CrossRef]
- Kumar, S.; Ramkrishna, D. On the solution of population balance equations by discretization—I. A fixed pivot technique. Chem. Eng. Sci. 1996, 51, 1311–1332. [Google Scholar] [CrossRef]
- Nguyen, T.T.; Laurent, F.; Fox, R.O.; Massot, M. Solution of population balance equations in applications with fine particles: Mathematical modeling and numerical schemes. J. Comput. Phys. 2016, 325, 129–156. [Google Scholar] [CrossRef]
- Ruan, C. Chebyshev Spectral Collocation Method for Population Balance Equation in Crystallization. Mathematics 2019, 7, 317. [Google Scholar] [CrossRef]
- Ma, Z.; Song, H.; Zhang, M. Using Monte Carlo methods to solve the particle number weighing equation and analyze the impact of various factors on bubble distribution. Chem. Eng. 2003, 31, 12–16+1. [Google Scholar]
- Qamar, S.; Elsner, M.; Angelov, I.; Warnecke, G.; Seidel-Morgenstern, A. A comparative study of high resolution schemes for solving population balances in crystallization. Comput. Chem. Eng. 2006, 30, 1119–1131. [Google Scholar] [CrossRef]
- Ruan, C.; Zhao, X.; Liang, K.; Chang, X. Weighted essentially non-oscillatory method for solving population balances in crystallization processes. In Proceedings of the 2013 International Conference on Advanced Mechatronic Systems, Luoyang, China, 25–27 September 2013. [Google Scholar]
- Ruan, C.; Liang, K.; Chang, X.; Zhang, L. Weighted Essentially Nonoscillatory method for two-dimensional population balance equations in crystallization. Math. Probl. Eng. 2013, 2013, 125128. [Google Scholar] [CrossRef]
- Ruan, C.; Dong, C.; Liang, K.; Liu, Z.; Bao, X. Euler’s First-Order Explicit Method–Peridynamic Differential Operator for Solving Population Balance Equations of the Crystallization Process. Comput. Model. Eng. Sci. 2024, 138, 3033–3049. [Google Scholar] [CrossRef]
- Bekar, A.C.; Madenci, E.; Haghighat, E. On the solution of hyperbolic equations using the peridynamic differential operator. Comput. Methods Appl. Mech. Eng. 2022, 391, 114574. [Google Scholar] [CrossRef]
- Gunawan, R.; Fusman, I.; Braatz, R.D. High resolution algorithms for multidimensional population balance equations. AIChE J. 2004, 50, 2738–2749. [Google Scholar] [CrossRef]
- Madenci, E.; Barut, A.; Futch, M. Peridynamic differential operator and its applications. Comput. Methods Appl. Mech. Eng. 2016, 304, 408–451. [Google Scholar] [CrossRef]
- Madenci, E.; Barut, A.; Dorduncu, M. Peridynamic Differential Operator for Numerical Analysis; Springer International Publishing: Berlin/Heidelberg, Germany, 2019; Volume 10, pp. 15–100. [Google Scholar]
- Madenci, E.; Roy, P.; Behera, D. Advances in Peridynamics; Springer Nature: Berlin/Heidelberg, Germany, 2022. [Google Scholar]
- Gunzburger, M.; Lehoucq, R.B. A nonlocal vector calculus with application to nonlocal boundary value problems. Multiscale Model. Simulation. 2010, 8, 1581–1598. [Google Scholar] [CrossRef]
- Yan, J.; Li, S.; Kan, X.; Zhang, A.M.; Lai, X. Higher-order nonlocal theory of Updated Lagrangian Particle Hydrodynamics (ULPH) and simulations of multiphase flows. Comput. Methods Appl. Mech. Eng. 2020, 368, 113176. [Google Scholar] [CrossRef]
- Yu, H.; Li, S. On approximation theory of nonlocal differential operators. Int. J. Numer. Methods Eng. 2021, 122, 6984–7012. [Google Scholar] [CrossRef]
- Dorduncu, M. Stress analysis of sandwich plates with functionally graded cores using peridynamic differential operator and refined zigzag theory. Thin-Walled Struct. 2020, 146, 106468. [Google Scholar] [CrossRef]
- Gao, Y.; Oterkus, S. Non-local modeling for fluid flow coupled with heat transfer by using peridynamic differential operator. Eng. Anal. Bound. Elem. 2019, 105, 104–121. [Google Scholar] [CrossRef]
- Li, Z.; Huang, D.; Xu, Y.; Yan, K. Nonlocal steady-state thermoelastic analysis of functionally graded materials by using peridynamic differential operator. Appl. Math. Model. 2021, 93, 294–313. [Google Scholar] [CrossRef]
- Inguva, P.K.; Braatz, R.D. Efficient numerical schemes for multidimensional population balance models. Comput. Chem. Eng. 2023, 170, 108095. [Google Scholar] [CrossRef]
- Lenka, M.; Bhoi, S.; Sarkar, D. Two-dimensional population balance modelling and validation of combined cooling and antisolvent crystallization of l-asparagine monohydrate. CrystEngComm. 2023, 25, 1424–1435. [Google Scholar] [CrossRef]
- Silling, S.A.; Epton, M.; Weckner, O. Peridynamic states and constitutive modeling. J. Elast. 2007, 88, 151–184. [Google Scholar] [CrossRef]
- Chang, H.; Chen, A.; Kareem, A.; Hu, L.; Ma, R. Peridynamic differential operator-based Eulerian particle method for 2D internal flows. Comput. Methods Appl. Mech. Eng. 2022, 392, 114568. [Google Scholar] [CrossRef]
- Mark, H. Introduction to Numerical Methods in Differential Equations; Springer New York: New York, NY, USA, 2007. [Google Scholar]
- Borchert, C.; Sundmacher, K. Morphology evolution of crystal populations: Modeling and observation analysis. Chem. Eng. Sci. 2012, 70, 87–98. [Google Scholar] [CrossRef]








| Method | HR | Fifth-Order WENO | EE–PDDO, N = 1, m = 1, Upwind Weight (Equation (16)) |
|---|---|---|---|
| -error | 3.08458 × 10−3 | 4.05432 × 10−5 | 3.40151 × 10−4 |
| -error | 1.07827 × 10−2 | 1.31731 × 10−4 | 6.74667 × 10−4 |
| Method | HR | Fifth-Order WENO | EE–PDDO, N = 1, m = 1, Upwind Weight (Equation (16)) |
|---|---|---|---|
| -error | 1.15517 × 10−2 | 6.35183 × 10−3 | 4.10000 × 10−3 |
| -error | 6.26252 × 10−2 | 4.23699 × 10−2 | 6.40312 × 10−2 |
| ) | ) | ) | ) | ) | |
|---|---|---|---|---|---|
| -error | 3.69075 × 10−2 | 3.64740 × 10−2 | 3.59031 × 10−2 | 2.96320 × 10−2 | 4.10000 × 10−3 |
| -error | 1.17296 × 10−1 | 1.16245 × 10−1 | 1.14873 × 10−1 | 1.00555 × 10−1 | 6.40312 × 10−2 |
| CPU time(s) | 125.303 | 50.537 | 47.131 | 35.818 | 35.508 |
| Method | HR | Fifth-Order WENO | EE–PDDO, N = 1, m = 1 Upwind Weight (Equation (15)) | EE–PDDO, N = 1, m = 1 Normal Weight |
|---|---|---|---|---|
| -error | 5.50266 × 10−4 | 1.35244 × 10−4 | 4.29756 × 10−4 | 1.00368 × 10−5 |
| -error | 1.95435 × 10−2 | 9.82604 × 10−3 | 7.59137 × 10−3 | 1.73679 × 10−4 |
Disclaimer/Publisher’s Note: The statements, opinions and data contained in all publications are solely those of the individual author(s) and contributor(s) and not of MDPI and/or the editor(s). MDPI and/or the editor(s) disclaim responsibility for any injury to people or property resulting from any ideas, methods, instructions or products referred to in the content. |
© 2024 by the authors. Licensee MDPI, Basel, Switzerland. This article is an open access article distributed under the terms and conditions of the Creative Commons Attribution (CC BY) license (https://creativecommons.org/licenses/by/4.0/).
Share and Cite
Dong, C.; Ruan, C. Euler’s First-Order Explicit Method–Peridynamic Differential Operator for Solving Two-Dimensional Population Balance Equations in Crystallization. Crystals 2024, 14, 234. https://doi.org/10.3390/cryst14030234
Dong C, Ruan C. Euler’s First-Order Explicit Method–Peridynamic Differential Operator for Solving Two-Dimensional Population Balance Equations in Crystallization. Crystals. 2024; 14(3):234. https://doi.org/10.3390/cryst14030234
Chicago/Turabian StyleDong, Cengceng, and Chunlei Ruan. 2024. "Euler’s First-Order Explicit Method–Peridynamic Differential Operator for Solving Two-Dimensional Population Balance Equations in Crystallization" Crystals 14, no. 3: 234. https://doi.org/10.3390/cryst14030234
APA StyleDong, C., & Ruan, C. (2024). Euler’s First-Order Explicit Method–Peridynamic Differential Operator for Solving Two-Dimensional Population Balance Equations in Crystallization. Crystals, 14(3), 234. https://doi.org/10.3390/cryst14030234

