Effect of Y2O3 Concentration on the Surface and Bulk Crystallization of Multicomponent Silicate Glasses
Abstract
1. Introduction
2. Experimental Section
2.1. Glass Preparation and Crystallization
2.2. Characterization
3. Results
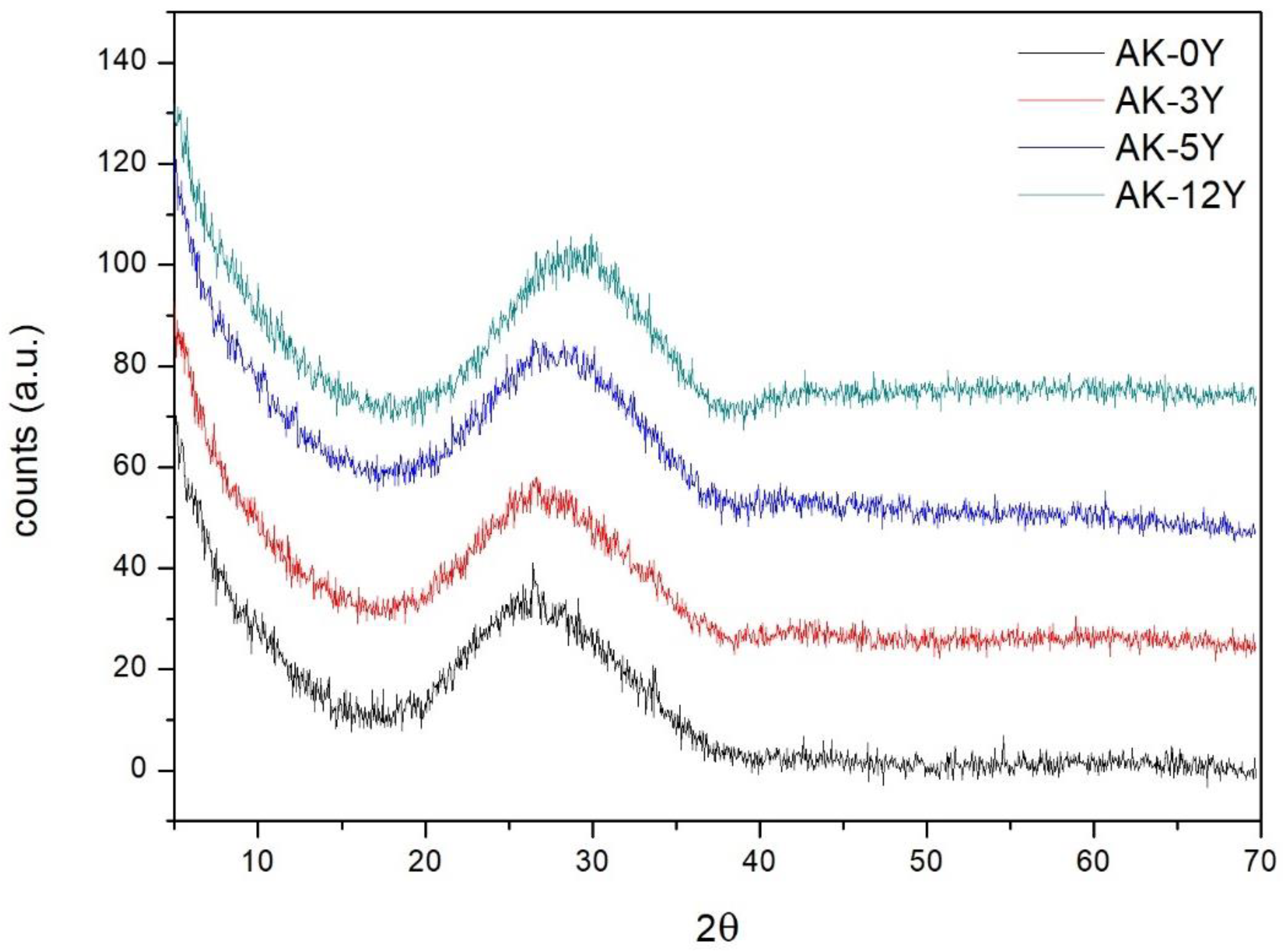
3.1. Glass Characterization
3.2. Crystallization Process
4. Discussion
5. Conclusions
Author Contributions
Funding
Data Availability Statement
Acknowledgments
Conflicts of Interest
References
- Kolokotsa, D.; Giannariakis, G.; Gobakis, K.; Giannarakis, G.; Synnefa, A.; Santamouris, M. Cool Roofs and Cool Pavements Application in Acharnes, Greece. Sustain. Cities Soc. 2018, 37, 466–474. [Google Scholar] [CrossRef]
- Zinzi, M. Cool Materials and Cool Roofs: Potentialities in Mediterranean Buildings. Adv. Build. Energy Res. 2010, 4, 211–276. [Google Scholar] [CrossRef]
- Omer, A.M. Renewable Building Energy Systems and Passive Human Comfort Solutions. Renew. Sust. Energy Rev. 2008, 12, 1562–1587. [Google Scholar] [CrossRef]
- Sadineni, S.B.; Madala, S.; Boehm, R.F. Passive Building Energy Savings: A Review of Building Envelope Components. Renew. Sust. Energ. Rev. 2011, 15, 3617–3631. [Google Scholar] [CrossRef]
- Ferrari, C.; Libbra, A.; Muscio, A.; Siligardi, C. Design of Ceramic Tiles with High Solar Reflectance through the Development of a Functional Engobe. Ceram. Int. 2013, 39, 9583–9590. [Google Scholar] [CrossRef]
- Atkinson, I.; Smith, M.E.; Zaharescu, M. Examining Correlations between Composition, Structure and Properties in Zircon-Containing Raw Glazes. Ceram. Int. 2012, 38, 1827–1833. [Google Scholar] [CrossRef]
- Ferrari, C.; Muscio, A.; Siligardi, C.; Manfredini, T. Design of a Cool Color Glaze for Solar Reflective Tile Application. Ceram. Int. 2015, 41, 11106–11116. [Google Scholar] [CrossRef]
- Rossi, F.; Pisello, A.L.; Nicolini, A.; Filipponi, M.; Palombo, M. Analysis of Retro-Reflective Surfaces for Urban Heat Island Mitigation: A New Analytical Model. Appl. Energy 2014, 114, 621–631. [Google Scholar] [CrossRef]
- Morini, E.; Castellani, B.; Anderini, E.; Presciutti, A.; Nicolini, A.; Rossi, F. Optimized Retro-Reflective Tiles for Exterior Building Element. Sustain. Cities Soc. 2018, 37, 146–153. [Google Scholar] [CrossRef]
- Romero, M.; Rincón, J.M.; Acosta, A. Crystallisation of a Zirconium-Based Glaze for Ceramic Tile Coatings. J. Eur. Ceram. Soc. 2003, 23, 1629–1635. [Google Scholar] [CrossRef]
- Gajek, M.; Partyka, J.; Leśniak, M.; Rapacz-Kmita, A.; Wójcik, Ł. Gahnite White Colour Glazes in ZnO–R2O–RO–Al2O3–SiO2 System. Ceram. Int. 2018, 44, 15845–15850. [Google Scholar] [CrossRef]
- Da Silva, M.J.; Moya, J.S.; Pecharromán, C.; Sanz, J.; Mello-Castanho, S. High Barium Content Lead and Alkaline-Free Glasses. Mater. Lett. 2014, 136, 345–348. [Google Scholar] [CrossRef]
- Zhang, X.; Zhang, J.; Li, L.; Qi, X. Thermally Stable High-Entropy Oxide Glasses with High Refractive Index. J. Mater. Sci. 2023, 58, 12559–12568. [Google Scholar] [CrossRef]
- Colak, S.C. The Effect of V2O5/MgO Substitution on SiO2-Na2O-CaO-ZnO–MgO Glass Structure. Optik 2022, 271, 170022. [Google Scholar] [CrossRef]
- Ziemath, E.C.; Saggioro, B.Z.; Fossa, J.S. Physical Properties of Silicate Glasses Doped with SnO2. J. Non Cryst. Solids 2005, 351, 3870–3878. [Google Scholar] [CrossRef]
- Ehrt, D.; Flügel, S. Properties of Zinc Silicate Glasses and Melts. J. Mater. Sci. Eng. A 2011, 1, 312. [Google Scholar]
- Shaaban, K.S.; Al-Baradi, A.M.; Wahab, E.A.A. The Impact of Y2O3 on Physical and Optical Characteristics, Polarizability, Optical Basicity, and Dispersion Parameters of B2O3–SiO2–Bi2O3–TiO2 Glasses. Silicon 2021, 14, 5057–5065. [Google Scholar] [CrossRef]
- Singh, S.; Kalia, G.; Singh, K. Effect of Intermediate Oxide (Y2O3) on Thermal, Structural and Optical Properties of Lithium Borosilicate Glasses. J. Mol. Struct. 2015, 1086, 239–245. [Google Scholar] [CrossRef]
- Walck, J.C.; Pantano, C.G. Sol-Gel Processing and Crystallization of Yttrium Aluminosilicates. J. Non Cryst. Solids 1990, 124, 145–154. [Google Scholar] [CrossRef]
- Singh, K.; Gupta, N.; Pandey, O.P. Effect of Y2O3 on the Crystallization Behavior of SiO2–MgO–B2O3–Al2O3 Glasses. J. Mater. Sci. 2007, 42, 6426–6432. [Google Scholar] [CrossRef]
- Wang, S.-F.; Hsu, Y.-F.; Cheng, C.-S.; Hsieh, Y.-C. SiO2–Al2O3–Y2O3–ZnO Glass Sealants for Intermediate Temperature Solid Oxide Fuel Cell Applications. Int. J. Hydrog. Energy 2013, 38, 14779–14790. [Google Scholar] [CrossRef]
- Vomacka, P.; Babushkin, O. Yttria-Alumina-Silica Glasses with Addition of Zirconia. J. Eur. Ceram. Soc. 1995, 15, 921–928. [Google Scholar] [CrossRef]
- Aman, J.; Singh, S.P. Role of Tin as a Reducing Agent in Iron Containing Heat Absorbing Soda-Magnesia-Lime-Silica Glass. Bul. Mater. Sci. 2004, 27, 537–541. [Google Scholar] [CrossRef]
- Nie, J.; Zhang, J.; Bei, J.; Chen, G. Optical Properties of Zinc Barium Silicate Glasses. J. Non Cryst. Solids 2008, 354, 1361–1364. [Google Scholar] [CrossRef]
- Lee, J.H.; Lee, H.; Choi, Y.G.; Kim, I.G.; Chung, W.J. Decolorization of High Refractive Index Glass Based on SiO2-(BaO+ ZrO2)-TiO2 Using Transition Metal Oxides. J. Korean Ceram. Soc. 2022, 59, 514–526. [Google Scholar] [CrossRef]
- Shelby, J.E. Introduction to Glass Science and Technology; Royal Society of Chemistry: London, UK, 2020; ISBN 1839161418. [Google Scholar]
- Bent, J.F.; Hannon, A.C.; Holland, D.; Karim, M.M.A. The Structure of Tin Silicate Glasses. J. Non Cryst. Solids 1998, 232, 300–308. [Google Scholar] [CrossRef]
- Zhao, J.; Lu, Y.; Kang, J.; Qu, Y.; Khater, G.A.; Li, S.; Wang, Y.; Yue, Y. Effect of Y2O3 and La2O3 on Structure and Dielectric Properties of Aluminoborosilicate Glasses. J. Non Cryst. Solids 2018, 496, 1–5. [Google Scholar] [CrossRef]
- Montoya-Quesada, E.; Villaquirán-Caicedo, M.A.; de Gutiérrez, R.M.; Muñoz-Saldaña, J. Effect of ZnO Content on the Physical, Mechanical and Chemical Properties of Glass-Ceramics in the CaO–SiO2–Al2O3 System. Ceram. Int. 2020, 46, 4322–4328. [Google Scholar] [CrossRef]
- Liu, J.; Luo, Z.; Lin, C.; Han, L.; Gui, H.; Song, J.; Liu, T.; Lu, A. Influence of Y2O3 Substitution for B2O3 on the Structure and Properties of Alkali-Free B2O3-Al2O3-SiO2 Glasses Containing Alkaline-Earth Metal Oxides. Phys. B Condens. Matter 2019, 553, 47–52. [Google Scholar] [CrossRef]
- Saraswati, V.; Raoot, S.; Anjaneyulu, K.; Visveswararao, N.V. Evaluation of Processing Methods for a Calcia-Yttria-Alumina-Silica Glass-Ceramic. J. Mater. Sci. 1993, 28, 1867–1873. [Google Scholar] [CrossRef]
- Ahmad, S.; Mahmoud, M.M.; Seifert, H.J. Crystallization of Two Rare-Earth Aluminosilicate Glass-Ceramics Using Conventional and Microwave Heat-Treatments. J. Alloys Compd. 2019, 797, 45–57. [Google Scholar] [CrossRef]
- Wang, M.; CHeng, J.; Li, M.; He, F. Raman Spectra of Soda–Lime–Silicate Glass Doped with Rare Earth. Phys. B Condens. Matter 2011, 406, 3865–3869. [Google Scholar] [CrossRef]
- Zheng, Q.; Liu, Y.; Li, M.; Liu, Z.; Hu, Y.; Zhang, X.; Deng, W.; Wang, M. Crystallization Behavior and IR Structure of Yttrium Aluminosilicate Glasses. J. Eur. Ceram. Soc. 2020, 40, 463–471. [Google Scholar] [CrossRef]
- O’Shaughnessy, C.; Henderson, G.S.; Nesbitt, H.W.; Bancroft, G.M.; Neuville, D.R. The Influence of Modifier Cations on the Raman Stretching Modes of Q n Species in Alkali Silicate Glasses. J. Am. Ceram. Soc. 2020, 103, 3991–4001. [Google Scholar] [CrossRef]
- Taallah, H.; Chorfa, A.; Tamayo, A.; Rubio, F.; Rubio, J. Investigating the Effect of WO3 on the Crystallization Behavior of SiO2–B2O3–Al2O3–Na2O–CaO–ZnO High VIS-NIR Reflecting Glazes. Ceram. Int. 2021, 47, 26789–26799. [Google Scholar] [CrossRef]
- Sheremetyeva, N.; Cherniak, D.J.; Watson, E.B.; Meunier, V. Effect of Pressure on the Raman-Active Modes of Zircon (ZrSiO4): A First-Principles Study. Phys. Chem. Min. 2018, 45, 173–184. [Google Scholar] [CrossRef]
- Ma, J.; Wang, M.; You, J.; Tang, K.; Lu, L.; Wan, S.; Wang, J.; Gong, X.; Wang, Y. Quantitative Studies on the Structure of XCaO⋅(1-x) SiO2 Glasses and Melts by in-Situ Raman Spectroscopy, 29Si MAS NMR and Quantum Chemistry Ab Initio Calculation. J. Non Cryst. Solids 2020, 546, 120252. [Google Scholar] [CrossRef]
- Zheng, L.; Zhao, G.; Yan, C.; Xu, X.; Su, L.; Dong, Y.; Xu, J. Raman Spectroscopic Investigation of Pure and Ytterbium-doped Rare Earth Silicate Crystals. J. Raman Spectrosc. 2007, 38, 1421–1428. [Google Scholar] [CrossRef]
- Kahlenberg, V.; Wertl, W.; Többens, D.M.; Kaindl, R.; Schuster, P.; Schottenberger, H. Rietveld Analysis and Raman Spectroscopic Investigations on A-Y2Si2O7. Z. Anorg. Allg. Chem. 2008, 634, 1166–1172. [Google Scholar] [CrossRef]
- Wang, M.; Fang, L.; Li, M.; Li, A.O.; Zhang, X.; Hu, Y.; Liu, Z.; Dongol, R. Glass Transition and Crystallization of ZnO-B2O3-SiO2 Glass Doped with Y2O3. Ceram. Int. 2019, 45, 4351–4359. [Google Scholar] [CrossRef]
- Wisniewski, W.; Seidel, S.; Patzig, C.; Rüssel, C. Surface Crystallization of a MgO/Y2O3/SiO2/Al2O3/ZrO2 Glass: Growth of an Oriented β-Y2Si2O7 Layer and Epitaxial ZrO2. Sci. Rep. 2017, 7, 44144. [Google Scholar] [CrossRef]
- Scherrer, P. Bestimmung der Grösse und der inneren Struktur von Kolloidteilchen mittels Röntgenstrahlen. Nachr. K. Ges. Wiss. Goettingen Math. Phys. Kl. 1918, 2, 98–100. [Google Scholar]












| Component | AK-0Y | AK-3Y | AK-5Y | AK-12Y | 
|---|---|---|---|---|
| SiO2 | 50.40 | 48.60 | 44.90 | 38.60 | 
| Al2O3 | 14.10 | 14.20 | 14.45 | 14.80 | 
| Na2O | 0.86 | 0.86 | 0.86 | 1.50 | 
| K2O | 1.04 | 0.88 | 0.97 | 1.10 | 
| MgO | 6.50 | 6.40 | 5.06 | 6.75 | 
| CaO | 9.25 | 9.69 | 9.86 | 9.90 | 
| BaO | 5.10 | 5.00 | 5.06 | 3.90 | 
| ZnO | 4.26 | 3.82 | 3.53 | 3.03 | 
| SnO | 3.81 | 3.65 | 3.86 | 4.16 | 
| ZrO2 | 4.00 | 3.72 | 3.78 | 3.50 | 
| Y2O3 | 0 | 2.85 | 5.06 | 11.90 | 
| Refractive index | 1.651 | 1.653 | 1.654 | 1.655 | 
| AK-0Y | AK-3Y | AK-5Y | AK-12Y | |
|---|---|---|---|---|
| Tg (±6 °C) | 721 | 725 | 735 | 759 | 
| Tx (±8 °C) | 959 | 963 | 969 | 972 | 
| Tm1 (±1 °C) | 1121 | 1145 | 1147 | 1150 | 
| KH | 1.47 | 1.31 | 1.31 | 1.13 | 
| β | 26.35 | 21.08 | 22.48 | 20.87 | 
| TC (°C) | 238 | 238 | 234 | 213 | 
| AK-0Y | AK-3Y | AK-5Y | AK-12Y | ||
|---|---|---|---|---|---|
| Surface | - | 0.40 * | 0.29 * | 0.19 * | |
| Bulk | 1.47 * | 0.53 * | 0.45 * | 0.44 * | 0.25 * | 
| Shape | petal-like | polygon | cuboid | globular | globular | 
| ZnSnO3 | 0.854 ± 0.135 ‡ | - | - | - | |
| ZrSiO4 | 0.828 ± 0.054 ‡ | 0.804 ± 0.101 ‡ | 0.745 ± 0.130 ‡ | ||
| CP (%) | 76.70 | 69.77 | 89.72 | 94.17 | |
| Component | 1 | 2 | 3 | 4 | 5 | 6 | 
|---|---|---|---|---|---|---|
| SiO2 | 19.07 | 27.27 | 51.69 | 28.35 | 25.23 | 35.20 | 
| Al2O3 | 6.08 | 6.38 | 13.01 | 8.41 | 9.71 | 12.28 | 
| Na2O | 1.03 | 1.21 | 1.02 | 0.08 | 0.82 | 1.25 | 
| K2O | 1.10 | 2.01 | 0.99 | 0.01 | 1.28 | 1.08 | 
| MgO | 6.48 | 6.77 | 3.86 | 2.92 | 3.44 | 3.56 | 
| CaO | 6.09 | 7.25 | 9.99 | 4.65 | 7.63 | 10.63 | 
| BaO | 2.63 | 3.03 | 6.76 | 4.88 | 5.03 | 6.70 | 
| ZnO | 7.28 | 7.93 | 4.21 | 12.83 | 3.50 | 5.77 | 
| SnO | 7.55 | 1.35 | 1.70 | 33.41 | 11.21 | 1.07 | 
| ZrO2 | 8.89 | 9.92 | 6.77 | 4.46 | 11.59 | 3.44 | 
| Y2O3 | 33.80 | 26.98 | 0 | 0 | 20.56 | 19.02 | 
| Disclaimer/Publisher’s Note: The statements, opinions and data contained in all publications are solely those of the individual author(s) and contributor(s) and not of MDPI and/or the editor(s). MDPI and/or the editor(s) disclaim responsibility for any injury to people or property resulting from any ideas, methods, instructions or products referred to in the content. | 
© 2024 by the authors. Licensee MDPI, Basel, Switzerland. This article is an open access article distributed under the terms and conditions of the Creative Commons Attribution (CC BY) license (https://creativecommons.org/licenses/by/4.0/).
Share and Cite
Beniaiche, A.; Tamayo, A.; Belkhir, N.; Rubio, F.; Chorfa, A.; Rubio, J. Effect of Y2O3 Concentration on the Surface and Bulk Crystallization of Multicomponent Silicate Glasses. Crystals 2024, 14, 214. https://doi.org/10.3390/cryst14030214
Beniaiche A, Tamayo A, Belkhir N, Rubio F, Chorfa A, Rubio J. Effect of Y2O3 Concentration on the Surface and Bulk Crystallization of Multicomponent Silicate Glasses. Crystals. 2024; 14(3):214. https://doi.org/10.3390/cryst14030214
Chicago/Turabian StyleBeniaiche, Akram, Aitana Tamayo, Nabil Belkhir, Fausto Rubio, Abdellah Chorfa, and Juan Rubio. 2024. "Effect of Y2O3 Concentration on the Surface and Bulk Crystallization of Multicomponent Silicate Glasses" Crystals 14, no. 3: 214. https://doi.org/10.3390/cryst14030214
APA StyleBeniaiche, A., Tamayo, A., Belkhir, N., Rubio, F., Chorfa, A., & Rubio, J. (2024). Effect of Y2O3 Concentration on the Surface and Bulk Crystallization of Multicomponent Silicate Glasses. Crystals, 14(3), 214. https://doi.org/10.3390/cryst14030214
 
        



 
       