Impedance Spectroscopy of Fe and La-Doped BaTiO3 Ceramics
Abstract
1. Introduction
2. Materials and Methods
- -
- casual, which means that the measured response is a consequence only of the applied signal,
- -
- a linear response, i.e., the system cannot generate an output frequency higher than the input frequency,
- -
- stable, which means that the system must be unchanged in the time, not continue to oscillate after the excitation is stopped,
- -
- finite for all frequencies, including ω→0 and ω→∞.
3. Results
3.1. X-ray Diffraction
3.2. Microstructure and EDS Analysis
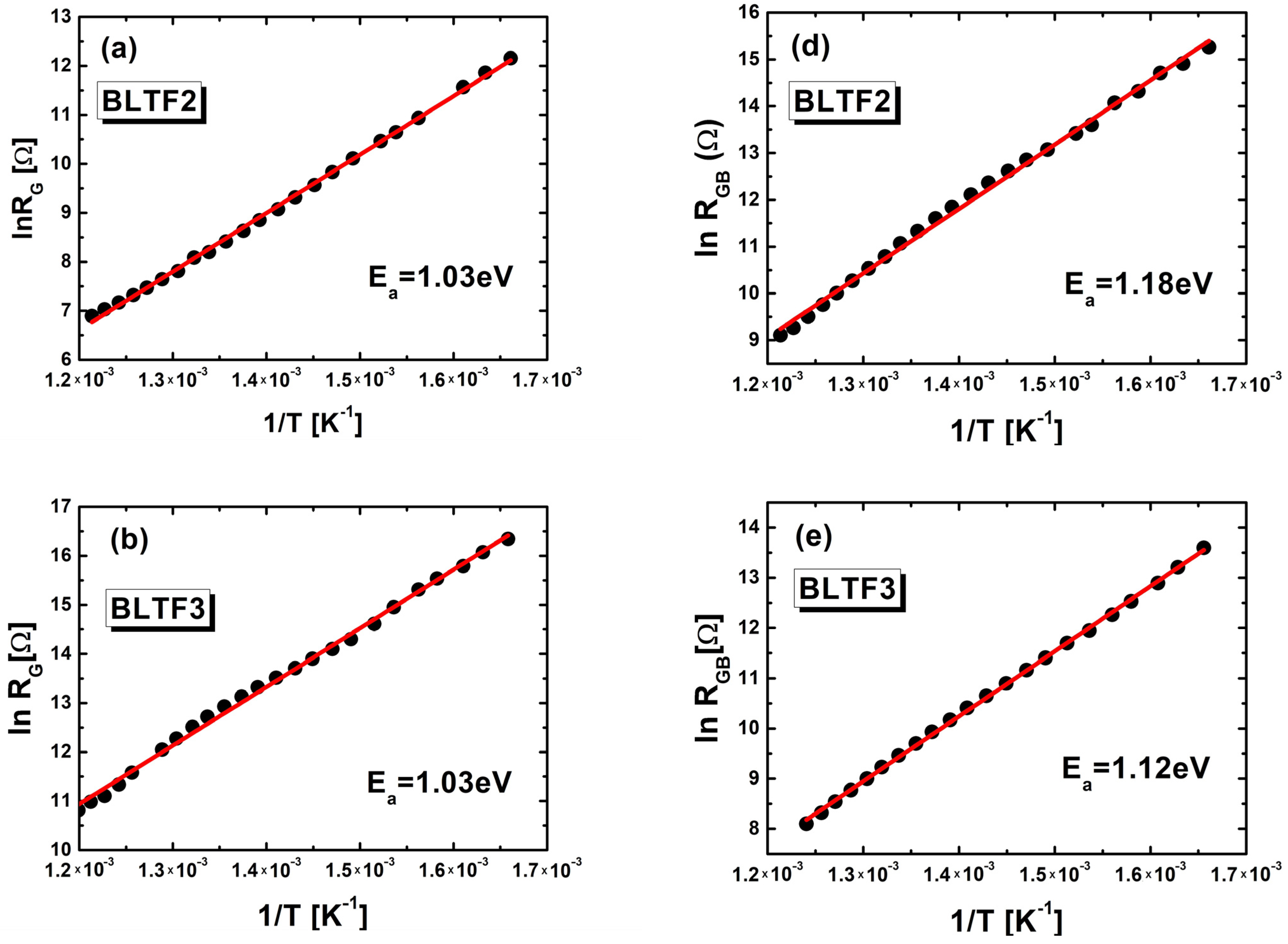
3.3. Impedance Analysis
4. Conclusions
Author Contributions
Funding
Data Availability Statement
Conflicts of Interest
References
- Hańderek, J. Własności i Zastosowanie Wybranych Ferroelektryków; Prace Naukowe Uniwersytetu Śląskiego w Katowicach. Prace Fizyczne, nr 4; Wydawnictwo Uniwersytetu Śląskiego: Katowice, Poland, 1976. [Google Scholar]
- Smoleński, G.A.; Krajnik, N.N. Ferroelektryki i Antyferroelektryki; PWN: Warszawa, Poland, 1971. [Google Scholar]
- Ahmed, T.; Khan, S.A.; Kim, M.; Akram, F.; Park, H.W.; Hussain, A.; Qazi, I.; Lim, D.H.; Jeong, S.-J.; Song, T.K.; et al. Effective A-site modulation and crystal phase evolution for high ferro/piezoelectric performance in ABO3 compounds: Yttrium-doped BiFeO3-BaTiO3. J. Alloys Compd. 2023, 933, 167709. [Google Scholar] [CrossRef]
- Kinoshita, K.; Yamaji, A. Grain-size effects on dielectric properties in barium titanate ceramics. J. Appl. Phys. 1976, 47, 371–373. [Google Scholar] [CrossRef]
- Hiramatsu, T.; Tamura, T.; Wada, N.; Tamura, H.; Sakabe, Y. Effects of grain boundary on dielectric properties in fine-grained BaTiO3 ceramics. Mater. Sci. Eng. B 2005, 120, 55–58. [Google Scholar] [CrossRef]
- Uchino, K.; Sadanaga, E.; Oohashi, K.; Morohashi, T.; Yamamura, H. Particle/grain size dependence of ferroelectricity. Ceram. Trans. 1989, 8, 107–115. [Google Scholar]
- Arlt, G.; Hennings, D.; de With, G. Dielectric properties of fine-grained barium titanate ceramics. J. Appl. Phys. 1985, 58, 1619. [Google Scholar] [CrossRef]
- Bell, J.G.; Graule, T.; Stuer, M. Tuning of the microstructural and electrical properties of undoped BaTiO3 by spark plasma sintering. Open Ceramics 2022, 9, 100244. [Google Scholar] [CrossRef]
- Everhardt, A.S.; Denneulin, T.; Grünebohm, A.; Shao, Y.-T.; Ondrejkovic, P.; Zhou, S.; Domingo, N.; Catalan, G.; Hlinka, J.; Zuo, J.-M.; et al. Temperature-independent giant dielectric response in transitional BaTiO3 thin films. Appl. Phys. Rev. 2020, 7, 011402. [Google Scholar] [CrossRef]
- Pan, M.; Zhang, C.; Wang, J.; Chew, J.W.; Gao, G. Multifunctional Piezoelectric Heterostructure of BaTiO3@Graphene: Decomplexation of Cu-EDTA and Recovery of Cu. Environ. Sci. Technol. 2019, 53, 7923–8476. [Google Scholar] [CrossRef] [PubMed]
- Khan, S.; Humera, N.; Niaz, S.; Riaz, S.; Atiq, S.; Naseem, S. Simultaneous normal—Anomalous dielectric dispersion and room temperature ferroelectricity in CBD perovskite BaTiO3 thin films. J. Mater. Res. Technol. 2020, 9, 11439–11452. [Google Scholar] [CrossRef]
- Ianculescu; Mocanu, Z.V.; Curecheriu, L.P.; Mitoseriu, L.; Padurariu, L.; Trusca, R. Dielectric and tunability properties of La-doped BaTiO3 ceramics. J. Alloys Compd. 2011, 509, 10040–10049. [Google Scholar] [CrossRef]
- Petrović, M.M.V.; Bobić, J.D.; Grigalaitis, R.; Stojanović, B.D.; Banys, J. La-doped and La/Mn-co-doped barium titanate ceramics. Acta Phys. Pol. A 2013, 124, 155–160. [Google Scholar]
- Wodecka-Dus, B.; Plonska, M.; Czekaj, D. Synthesis, microstructure and the crystalline structure of the barium titanate ceramics doped with lanthanum. Arch. Metall. Mater. 2013, 58, 1305–1308. [Google Scholar] [CrossRef]
- Lines, M.E.; Glass, A.M. Principles and Applications of Ferroelectrics and Related Materials; Clarendon Press: Oxford, UK, 1977. [Google Scholar]
- Xu, J.; Zhai, J.; Yao, X. Structure and dielectric nonlinear characteristics of BaTiO3 thin films prepared by low temperature process. J. Alloys Compd. 2009, 467, 567–571. [Google Scholar] [CrossRef]
- Morrison, F.D.; Sinclair, D.C.; Skakle, J.M.; West, A.R. Novel doping mechanism for very-high-permittivity barium titanate ceramics. J. Am. Ceram. Soc. 1998, 81, 1957–1960. [Google Scholar] [CrossRef]
- Morrison, F.D.; Sinclair, D.C.; West, A.R. Electrical and structural characteristics of lanthanum-doped barium titanate ceramics. J. Appl. Phys. 1999, 86, 6355–6366. [Google Scholar] [CrossRef]
- Liu, X.; Hou, Y.; Song, B.; Cheng, H.; Fu, Y.; Zheng, M.; Zhu, M. Lead-free multilayer ceramic capacitors with ultra-wide temperature dielectric stability based on multifaceted modification. J. Eur. Ceram. Soc. 2022, 42, 973–980. [Google Scholar] [CrossRef]
- Wang, Y.; Miao, K.; Wang, W.; Qin, Y. Fabrication of lanthanum doped BaTiO3 fine-grained ceramics with a high dielectric constant and temperature-stable dielectric properties using hydro-phase method at atmospheric pressure. J. Eur. Ceram. Soc. 2017, 37, 2385–2390. [Google Scholar] [CrossRef]
- Agneni, A.; Paolozzi, A.; Sgubini, S. Piezoceramic devices modeled as mechanical systems in finite element codes. Cost 2001, 4, 591–599. [Google Scholar]
- Singh, D.; Dixit, A.; Dobal, P.S. Effect of Structural Changes on the Electrical Properties of Sol-gel derived Iron Doped Barium Ti-tanate. J. Phys. Conf. Ser. 2021, 2070, 012054–012062. [Google Scholar] [CrossRef]
- Staruch, M.; ElBidweihy, H.; Cain, M.G.; Thompson, P.; Lucas, C.A.; Finkel, P. Magnetic and multiferroic properties of dilute Fe-doped BaTiO3 crystals. APL Mater. 2020, 8, 031109. [Google Scholar] [CrossRef]
- Nayak, P.; Nayak, S.K. Doping effect of Fe, Co and W on the structural, electrical and magnetic properties of BaTiO3 ferroelectric ceramics. Solid State Commun. 2023, 371, 115272. [Google Scholar] [CrossRef]
- Hwang, S.-M.; Lim, J.-C.; Kim, S.-I.; Kim, J.-Y.; Hwang, J.; Lee, C.; Kwon, N.; Kim, I.; Lee, K.; Park, S.; et al. Impact of the change in charge compensation mechanism on the electrical, dielectric, and structural properties of La-doped BaTiO3 ceramics. J. Eur. Ceram. Soc. 2023. [Google Scholar] [CrossRef]
- Wodecka-Duś, B.; Czekaj, D. Electric Properties of La3+ Doped BaTiO3. Ceram. Ferroelectr. 2011, 418, 150–157. [Google Scholar] [CrossRef]
- Wodecka-Duś, B.; Lisińska-Czekaj, A.; Czekaj, D. Influence of lanthanum concentration on properties of BLT electroceramics. Key Eng. Mater. 2012, 512, 1308–1312. [Google Scholar] [CrossRef]
- Wodecka-Dus, B.; Adamczyk, M.; Dzik, J.; Osinska, K. The analysis of the electrical properties of BLT ceramics fabricated from sol-gel derived powders. Eur. Phys. J. B 2016, 89, 1–7. [Google Scholar] [CrossRef][Green Version]
- Lin, F.; Jiang, D.; Ma, X.; Shi, W. Influence of doping concentration on room-temperature ferromagnetism for Fe-doped BaTiO3 ceramics. J. Magn. Magn. Mater. 2008, 320, 691–694. [Google Scholar] [CrossRef]
- Schwarzbach, J. Semiconductiving ceramic barium lanthanium titane doped with iron. Czechoslov. J. Phys. B 1968, 18, 1322–1334. [Google Scholar] [CrossRef]
- Zhe, T.Y.; Osman, R.A.M.; Idris, M.S. Crystal chemistry and electrical properties of La-doped BaTiO3. AIP Conf. Proc. 2021, 2347, 020008. [Google Scholar]
- Wodecka-Dus, B.; Adamczyk, M.; Osinska, K.; Płońska, M.; Czekaj, D. Dielectric properties of Ba1−xLaxTi1−x/4O3 ceramics with different La3+ content. In Advances in Science and Technology; Trans Tech Publications Ltd.: Zurich, Switzerland, 2013; Volume 77, pp. 35–40. [Google Scholar]
- Wodecka-Duś, B.; Adamczyk-Habrajska, M.; Goryczka, T.; Bochenek, D. Chemical and physical properties of the BLT4 ultra capacitor—A suitable material for ultracapacitors. Materials 2020, 13, 659. [Google Scholar] [CrossRef]
- Kumar, M.M.; Suresh, M.B.; Suryanarayana, S.V. Electrical and dielectric properties in double doped BaTiO3 showing relaxor behavior. J. Appl. Phys. 1999, 86, 1634–1637. [Google Scholar] [CrossRef]
- Sitko, D.; Garbarz-Glos, B.; Livinsh, M.; Bąk, W.; Antonova, M.; Kajtoch, C. Electrical Characterization of the Fe-Doped BT Ceramisc by an Impedance Spectroscopy. Ferroelectrics 2015, 486, 8–12. [Google Scholar] [CrossRef]
- Luo, B.; Wang, X.; Tian, E.; Song, H.; Zhao, Q.; Cai, Z.; Feng, W.; Li, L. Giant permittivity and low dielectric loss of Fe doped BaTiO3 ceramics: Experimental and first–Principles calculations. J. Eur. Ceram. Soc. 2018, 38, 1562–1568. [Google Scholar] [CrossRef]
- Chakraborty, T. Microscopic distribution of metal dopants and anion vacancies in Fe-doped BaTiO3-δsingle crystals. J. Phys. Condens. Matter. 2013, 25, 236002–236009. [Google Scholar] [CrossRef] [PubMed]
- Islama, A.; Momina, A.; Nesa, M. Effect of Fe doping on the structural, optical and electronic properties of BaTiO3: DFT based calculation. Chin. J. Phys. 2019, 60, 731–738. [Google Scholar] [CrossRef]
- Wodecka-Dus, B.; Goryczka, T.; Adamczyk-Habrajska, M.; Bara, M.; Dzik, J.; Szalbot, D. Dielectric and electrical properties of BLT ceramics modified by Fe ions. Materials 2020, 13, 5623. [Google Scholar] [CrossRef] [PubMed]
- Wodecka-Duś, B.; Kozielski, L.; Makowska, J.; Bara, M.; Adamczyk-Habrajska, M. Fe-Doped Barium Lanthanum Titanate as a Competitor to Other Lead-Free Piezoelectric Ceramics. Materials 2022, 15, 1089. [Google Scholar] [CrossRef] [PubMed]
- Baukamp, B.A. Electrochemical impedance spectroscopy in solid state ionics: Recent advances. Solid State Ion 2004, 169, 65–73. [Google Scholar] [CrossRef]
- Wodecka-Duś, B.; Kozielski, L.; Erhart, J.; Pawełczyk, M.; Radoszewska, D.; Adamczyk, M.; Bochenek, D. Investigation of La3+ doping effect on piezoelectric coefficients of BLT ceramics. Arch. Metall. Mater. 2017, 62, 691–696. [Google Scholar] [CrossRef][Green Version]
- Hill, R.J.; Howard, C.J. Quantitative phase analysis from neutron powder diffraction data using the Rietveld method. J. App. Cryst. 1987, 20, 467–474. [Google Scholar] [CrossRef]
- Boukamp, B.A. A Linear Kronig-Kramers Transform Test for Immittance Data Validation. J. Electrochem. Soc. 1995, 142, 1885. [Google Scholar] [CrossRef]
- de Kronig, R.L. On the Theory of Dispersion of X-Rays. J. Opt. Soc. Am. 1926, 12, 547–556. [Google Scholar] [CrossRef]
- Macdonald, D.D.; Urquidi-Macdonald, M. Transformation of Constant Phase Impedances. J. Electrochem. Soc. 1990, 2, 515–517. [Google Scholar] [CrossRef]
- Bode, H.W. Network Analysis and Feedback Amplifier Design; Van Nostrand Reinhold: Princeton, NJ, USA, 1945. [Google Scholar]
- Rerak, M.; Makowska, J.; Osińska, K.; Zawada, A.; Adamczyk-Habrajska, M. The Effect of Pr Doping Contents on the Structural, Microstructure and Dielectric Properties of BaBi2Nb2O9 Aurivillius Ceramics. Materials 2022, 15, 5790. [Google Scholar] [CrossRef] [PubMed]
- Bochenek, D.; Dercz, G.; Chrobak, A. Electrical and magnetic properties of the BF–PFN solid solutions obtained by spark plasma sintering method. Mater. Sci. Eng. 2023, 295, 116625. [Google Scholar] [CrossRef]
- Cherakasova, N.; Veselov, S.; Bataev, A.; Kuzmin, R.; Stukacheva, N. Structure and mechanical properties of ceramic materials based on alumina and zirconia with strontium hexaaluminate additives. Mater. Chem. Phys. 2021, 259, 123938. [Google Scholar] [CrossRef]
- Płońska, M.; Plewa, J. Investigation of Praseodymium Ions Dopant on 9/65/35 PLZT Ceramics’ Behaviors, Prepared by the Gel-Combustion Route. Materials 2023, 16, 7498. [Google Scholar] [CrossRef]
- Zhang, B.; Wu, J.; Cheng, X.; Wang, X.; Xiao, D.; Zhu, J.; Wang, X.; Lou, X. Lead-free piezoelectric based on potassium-sodium niobiate with giant d33. ACS Appl. Mater. Interfaces 2013, 5, 7718–7725. [Google Scholar] [CrossRef]
- Pandey, S.; Kumar, D.; Parkash, O.; Pandey, L. Equivalent circuit models using CPE for impedance spectroscopy of electronic ceramics. Integr. Ferroelectr. 2017, 183, 141–162. [Google Scholar] [CrossRef]
- Rhouma, F.I.H.; Dhahri, A.; Dhahri, J.; Valente, M.A. Dielectric, modulus and impedance analysis of lead-free ceramics Ba0.8La0.133Ti1−xSnxO3 (x = 0.15 and 0.2). Appl. Phys. A 2012, 108, 593–600. [Google Scholar] [CrossRef]
- Shi, Y.; Pu, Y.; Cui, Y.; Luo, Y. Enhanced grain size effect on electrical characteristics of fine-grained BaTiO3 ceramics. J. Mater. Sci. Mater. Electron. 2017, 28, 13229–13235. [Google Scholar] [CrossRef]
- Dash, M.S.; Bera, J.; Ghosh, S. Effect of Porosity on Electrical Properties of Undoped and Lanthanum Doped BaTi0.6Zr0.4O3. In Proceedings of the 2007 IEEE International Conference on Solid Dielectrics, Winchester, UK, 8–13 July 2007. [Google Scholar]
- Sharma, P.; Kumar, P.; Kundu, R.S.; Juneja, J.K.; Ahlawat, N.; Punia, R. Structural and dielectric properties of substituted barium titanate ceramics for capacitor applications. Ceram. Int. 2015, 41, 13425–13432. [Google Scholar] [CrossRef]















| Ceramics | ρr [g/cm3] | P [%] |
|---|---|---|
| BLTF1 | 5.68 | 0.17 |
| BLTF2 | 5.65 | 0.18 |
| BLTF3 | 5.63 | 0.18 |
| BLTF4 | 5.61 | 0.19 |
| Composite | a0 = b0 [nm] | c0 [nm] | δT [nm] | V∙10−30 [m3] |
|---|---|---|---|---|
| BLTF1 | 0.3993 | 0.4032 | 1.0098 | 64.3 |
| BLTF2 | 0.3992 | 0.4031 | 1.0098 | 64.2 |
| BLTF3 | 0.3993 | 0.4031 | 1.0095 | 64.2 |
| BLTF4 | 0.3993 | 0.4030 | 1.0093 | 64.2 |
| BLTF1 | |||||
|---|---|---|---|---|---|
| T [°C] | 402 | 452 | 502 | 552 | |
| R | Value [Ω] | 1.626 × 106 | 504,400 | 171,000 | 58,967 |
| Relative error [Ω] | 29,415 | 2158.4 | 235.94 | 98.275 | |
| Absolute error [%] | 1.809 | 0.42791 | 0.13798 | 0.18911 | |
| CPE-T | Value [F] | 4.314 × 10−9 | 6.427 × 10−9 | 8.676 × 10−9 | 1.0661 × 10−8 |
| Relative error [F] | 5.7289 × 10−11 | 4.0278 × 10−11 | 2.9931 × 10−11 | 8.5592 × 10−11 | |
| Absolute error [%] | 1.3281 | 0.62668 | 0.34497 | 0.80285 | |
| CPE-P | Value [a.u.] | 0.79131 | 0.76821 | 0.75357 | 0.74612 |
| Relative error [a.u.] | 0.0011 | 0.0005 | 0.0003 | 0.0006 | |
| Absolute error [%] | 0.14 | 0.07 | 0.09 | 0.08 | |
| χ2 | 9.8 × 10−4 | 4.7 × 10−4 | 1.2 × 10−4 | 4.7 × 10−4 | |
| BLTF2 | |||||
|---|---|---|---|---|---|
| T [°C] | 552 | 502 | 452 | 402 | |
| RG | Value [Ω] | 987 | 2086 | 5609 | 18,602 |
| Relative error [Ω] | 8.07 | 23.39 | 103.08 | 587.2 | |
| Absolute error [%] | 0.82 | 1.12 | 1.83 | 3.15 | |
| CPEG-T | Value [F] | 1.81 × 10−9 | 8.51 × 10−10 | 6.26 × 10−10 | 5.19 × 10−10 |
| Relative error [F] | 1.11 × 10−10 | 4.99 × 10−11 | 4.47 × 10−11 | 5.11 × 10−11 | |
| Absolute error [%] | 6.13 | 5.86 | 7.10 | 9.84 | |
| CPEG-P | Value [a.u.] | 0.844 | 0.896 | 0.923 | 0.942 |
| Relative error [a.u.] | 0.004 | 0.004 | 0.005 | 0.008 | |
| Absolute error [%] | 0.46 | 0.44 | 0.58 | 0.88 | |
| RGB | Value [Ω] | 8299 | 28,812 | 109,150 | 381,300 |
| Relative error [Ω] | 34.30 | 189.61 | 1614.4 | 15,156 | |
| Absolute error [%] | 0.41 | 0.66 | 1.48 | 3.97 | |
| CPEGB-T | Value [F] | 5.11 × 10−8 | 5.45 × 10−8 | 4.57 × 10−8 | 2.52 × 10−8 |
| Relative error [F] | 1.27 × 10−9 | 1.65 × 10−9 | 2.01 × 10−9 | 2.00 × 10−9 | |
| Absolute error [%] | 2.50 | 3.04 | 4.39 | 7.93 | |
| CPEGB-P | Value [a.u.] | 0.749 | 0.723 | 0.711 | 0.745 |
| Relative error [a.u.] | 0.002 | 0.003 | 0.005 | 0.009 | |
| Absolute error [%] | 0.31 | 0.43 | 0.69 | 1.33 | |
| χ2 | 0.00009 | 0.00041 | 0.0011 | 0.0041 | |
| BLTF3 | |||||
| RG | Value [Ω] | 459 | 798 | 2420 | 9409 |
| Relative error [Ω] | 0.70 | 1.29 | 3.56 | 16.19 | |
| Absolute error [%] | 0.15 | 0.16 | 0.15 | 0.17 | |
| CPEG-T | Value [F] | 2.14 × 10−10 | 1.87 × 10−10 | 1.59 × 10−10 | 1.54 × 10−10 |
| Relative error [F] | 1.31 × 10−12 | 7.71 × 10−12 | 3.01 × 10−12 | 2.00 × 10−12 | |
| Absolute error [%] | 6.08 | 4.12 | 1.89 | 1.30 | |
| CPEG-P | Value [a.u.] | 0.945 | 0.957 | 0.973 | 0.985 |
| Relative error [a.u.] | 0.004 | 0.003 | 0.001 | 0.001 | |
| Absolute error [%] | 0.40 | 0.27 | 0.13 | 0.09 | |
| RGB | Value [Ω] | 3285 | 6436 | 20,643 | 90,007 |
| Relative error [Ω] | 5.96 | 14.16 | 54.61 | 360.5 | |
| Absolute error [%] | 0.18 | 0.22 | 0.26 | 0.40 | |
| CPEGB-T | Value [F] | 1.28 × 10−7 | 1.21 × 10−7 | 1.03 × 10−7 | 7.58 × 10−8 |
| Relative error [F] | 1.29 × 10−9 | 1.31 × 10−9 | 1.06 × 10−9 | 8.48 × 10−9 | |
| Absolute error [%] | 1.003 | 1.08 | 1.03 | 1.12 | |
| CPEGB-P | Value [a.u.] | 0.802 | 0.798 | 0.794 | 0.799 |
| Relative error [a.u.] | 0.001 | 0.001 | 0.001 | 0.001 | |
| Absolute error [%] | 0.12 | 0.13 | 0.14 | 0.18 | |
| χ2 | 8.33 × 10−5 | 0.00012 | 0.00014 | 0.00025 | |
| BLTF4 | |||||
| RG | Value [Ω] | 523 | 1142 | 2996 | 9559 |
| Relative error [Ω] | 0.87 | 1.87 | 3.79 | 21.46 | |
| Absolute error [%] | 0.17 | 0.16 | 0.13 | 0.22 | |
| CPEG-T | Value [F] | 1.02 × 10−10 | 1.22 × 10−10 | 1.38 × 10−10 | 1.33 × 10−10 |
| Relative error [F] | 6.7 × 10−12 | 4.25 × 10−12 | 2.31 × 10−12 | 2.12 × 10−12 | |
| Absolute error [%] | 6.5 | 3.47 | 1.72 | 1.59 | |
| CPEG-P | Value [a.u.] | 0.971 | 0.965 | 0.964 | 0.974 |
| Relative error [a.u.] | 0.004 | 0.002 | 0.001 | 0.001 | |
| Absolute error [%] | 0.42 | 0.26 | 0.12 | 0.11 | |
| RGB | Value [Ω] | 5884 | 16,566 | 50,118 | 214,680 |
| Relative error [Ω] | 5.72 | 21.21 | 75.61 | 1290 | |
| Absolute error [%] | 0.097 | 0.13 | 0.15 | 0.80 | |
| CPEGB-T | Value [F] | 4.14 × 10−8 | 3.5 × 10−8 | 2.82 × 10−8 | 2.19 × 10−8 |
| Relative error [F] | 2.75 × 10−10 | 2.49 × 10−10 | 1.64 × 10−10 | 2.45 × 10−10 | |
| Absolute error [%] | 0.67 | 0.70 | 0.58 | 1.21 | |
| CPEGB-P | Value [a.u.] | 0.797 | 0.796 | 0.812 | 0.819 |
| Relative error [a.u.] | 0.0005 | 0.001 | 0.0006 | 0.001 | |
| Absolute error [%] | 0.007 | 0.13 | 0.073 | 0.157 | |
| χ2 | 4.11 × 10−5 | 7.43 × 10−5 | 5.99 × 10−5 | 0.0002 | |
Disclaimer/Publisher’s Note: The statements, opinions and data contained in all publications are solely those of the individual author(s) and contributor(s) and not of MDPI and/or the editor(s). MDPI and/or the editor(s) disclaim responsibility for any injury to people or property resulting from any ideas, methods, instructions or products referred to in the content. |
© 2024 by the authors. Licensee MDPI, Basel, Switzerland. This article is an open access article distributed under the terms and conditions of the Creative Commons Attribution (CC BY) license (https://creativecommons.org/licenses/by/4.0/).
Share and Cite
Adamczyk-Habrajska, M.; Wodecka-Dus, B.; Goryczka, T.; Makowska, J. Impedance Spectroscopy of Fe and La-Doped BaTiO3 Ceramics. Crystals 2024, 14, 131. https://doi.org/10.3390/cryst14020131
Adamczyk-Habrajska M, Wodecka-Dus B, Goryczka T, Makowska J. Impedance Spectroscopy of Fe and La-Doped BaTiO3 Ceramics. Crystals. 2024; 14(2):131. https://doi.org/10.3390/cryst14020131
Chicago/Turabian StyleAdamczyk-Habrajska, Malgorzata, Beata Wodecka-Dus, Tomasz Goryczka, and Jolanta Makowska. 2024. "Impedance Spectroscopy of Fe and La-Doped BaTiO3 Ceramics" Crystals 14, no. 2: 131. https://doi.org/10.3390/cryst14020131
APA StyleAdamczyk-Habrajska, M., Wodecka-Dus, B., Goryczka, T., & Makowska, J. (2024). Impedance Spectroscopy of Fe and La-Doped BaTiO3 Ceramics. Crystals, 14(2), 131. https://doi.org/10.3390/cryst14020131

