A-Site Ion Doping in Cs2AgBiBr6 Double Perovskite Films for Improved Optical and Photodetector Performance
Abstract
1. Introduction
2. Experimental Methods
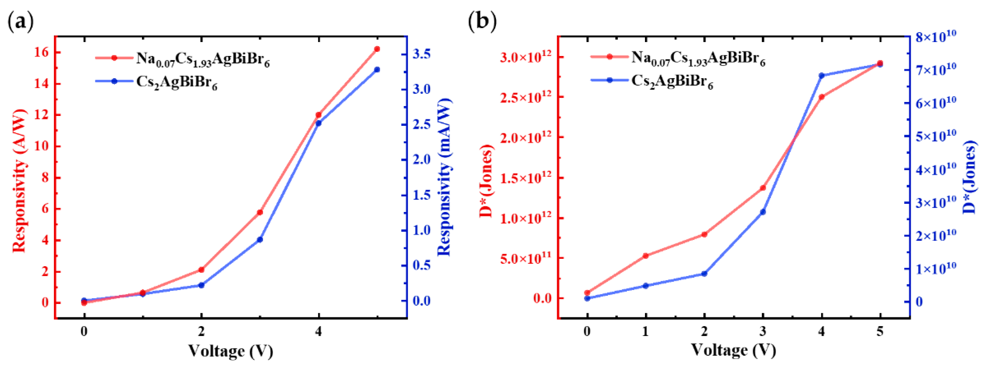
3. Results and Discussion
4. Conclusions
Supplementary Materials
Author Contributions
Funding
Data Availability Statement
Conflicts of Interest
References
- Maes, J.; Balcaen, L.; Drijvers, E.; Zhao, Q.; De Roo, J.; Vantomme, A.; Vanhaecke, F.; Geiregat, P.; Hens, Z. Light Absorption Coefficient of CsPbBr3 Perovskite Nanocrystals. J. Phys. Chem. Lett. 2018, 9, 3093–3097. [Google Scholar] [CrossRef] [PubMed]
- Filip, M.R.; Eperon, G.E.; Snaith, H.J.; Giustino, F. Steric engineering of metal-halide perovskites with tunable optical band gaps. Nat. Commun. 2014, 5, 5757. [Google Scholar] [CrossRef] [PubMed]
- Steirer, K.X.; Schulz, P.; Teeter, G.; Stevanovic, V.; Yang, M.; Zhu, K.; Berry, J.J. Defect Tolerance in Methylammonium Lead Triiodide Perovskite. ACS Energy Lett. 2016, 1, 360–366. [Google Scholar] [CrossRef]
- Zhumekenov, A.A.; Saidaminov, M.I.; Haque, M.A.; Alarousu, E.; Sarmah, S.P.; Murali, B.; Dursun, I.; Miao, X.-H.; Abdelhady, A.L.; Wu, T.; et al. Formamidinium Lead Halide Perovskite Crystals with Unprecedented Long Carrier Dynamics and Diffusion Length. ACS Energy Lett. 2016, 1, 32–37. [Google Scholar] [CrossRef]
- Zhang, F.; Lu, H.; Tong, J.; Berry, J.J.; Beard, M.C.; Zhu, K. Advances in two-dimensional organic–inorganic hybrid perovskites. Energy Environ. Sci. 2020, 13, 1154–1186. [Google Scholar] [CrossRef]
- Kim, Y.H.; Cho, H.; Heo, J.H.; Kim, T.S.; Myoung, N.; Lee, C.L.; Im, S.H.; Lee, T.W. Multicolored organic/inorganic hybrid perovskite light-emitting diodes. Adv. Mater. 2015, 27, 1248–1254. [Google Scholar] [CrossRef]
- Ma, S.; Cai, M.; Cheng, T.; Ding, X.; Shi, X.; Alsaedi, A.; Hayat, T.; Ding, Y.; Tan, Z.a.; Dai, S. Two-dimensional organic-inorganic hybrid perovskite: From material properties to device applications. Sci. China Mater. 2018, 61, 1257–1277. [Google Scholar] [CrossRef]
- Wang, F.; Zou, X.; Xu, M.; Wang, H.; Wang, H.; Guo, H.; Guo, J.; Wang, P.; Peng, M.; Wang, Z.; et al. Recent Progress on Electrical and Optical Manipulations of Perovskite Photodetectors. Adv. Sci. 2021, 8, e2100569. [Google Scholar] [CrossRef]
- Wei, H.; Fang, Y.; Mulligan, P.; Chuirazzi, W.; Fang, H.-H.; Wang, C.; Ecker, B.R.; Gao, Y.; Loi, M.A.; Cao, L.; et al. Sensitive X-ray detectors made of methylammonium lead tribromide perovskite single crystals. Nat. Photonics 2016, 10, 333–339. [Google Scholar] [CrossRef]
- Zhang, Q.; Su, R.; Du, W.; Liu, X.; Zhao, L.; Ha, S.T.; Xiong, Q. Advances in Small Perovskite-Based Lasers. Small Methods 2017, 1, 1700163. [Google Scholar] [CrossRef]
- Fang, T.; Wang, T.; Li, X.; Dong, Y.; Bai, S.; Song, J. Perovskite QLED with an external quantum efficiency of over 21% by modulating electronic transport. Sci. Bull. 2021, 66, 36–43. [Google Scholar] [CrossRef] [PubMed]
- Hoye, R.L.Z.; Eyre, L.; Wei, F.; Brivio, F.; Sadhanala, A.; Sun, S.; Li, W.; Zhang, K.H.L.; MacManus-Driscoll, J.L.; Bristowe, P.D.; et al. Fundamental Carrier Lifetime Exceeding 1 µs in Cs2AgBiBr6 Double Perovskite. Adv. Mater. Interfaces 2018, 5, 2–9. [Google Scholar] [CrossRef]
- Igbari, F.; Wang, R.; Wang, Z.K.; Ma, X.J.; Wang, Q.; Wang, K.L.; Zhang, Y.; Liao, L.S.; Yang, Y. Composition Stoichiometry of Cs2AgBiBr6 Films for Highly Efficient Lead-Free Perovskite Solar Cells. Nano Lett. 2019, 19, 2066–2073. [Google Scholar] [CrossRef] [PubMed]
- Fang, F.; Li, H.; Fang, S.; Zhou, B.; Huang, F.; Ma, C.; Wan, Y.; Jiang, S.; Wang, Y.; Tian, B.; et al. 2D Cs2AgBiBr6 with Boosted Light-Matter Interaction for High-Performance Photodetectors. Adv. Opt. Mater. 2021, 9, 2001930. [Google Scholar] [CrossRef]
- Slavney, A.H.; Hu, T.; Lindenberg, A.M.; Karunadasa, H.I. A Bismuth-Halide Double Perovskite with Long Carrier Recombination Lifetime for Photovoltaic Applications. J. Am. Chem. Soc. 2016, 138, 2138–2141. [Google Scholar] [CrossRef] [PubMed]
- Greul, E.; Petrus, M.L.; Binek, A.; Docampo, P.; Bein, T. Highly stable, phase pure Cs2AgBiBr6 double perovskite thin films for optoelectronic applications. J. Mater. Chem. A 2017, 5, 19972–19981. [Google Scholar] [CrossRef]
- Steele, J.A.; Pan, W.; Martin, C.; Keshavarz, M.; Debroye, E.; Yuan, H.; Banerjee, S.; Fron, E.; Jonckheere, D.; Kim, C.W.; et al. Photophysical Pathways in Highly Sensitive Cs2 AgBiBr6 Double-Perovskite Single-Crystal X-Ray Detectors. Adv. Mater. 2018, 30, e1804450. [Google Scholar] [CrossRef]
- Yang, J.; Bao, C.; Ning, W.; Wu, B.; Ji, F.; Yan, Z.; Tao, Y.; Liu, J.M.; Sum, T.C.; Bai, S.; et al. Stable, High-Sensitivity and Fast-Response Photodetectors Based on Lead-Free Cs2AgBiBr6 Double Perovskite Films. Adv. Opt. Mater. 2019, 7, 1801732. [Google Scholar] [CrossRef]
- Zhou, L.; Xu, Y.F.; Chen, B.X.; Kuang, D.B.; Su, C.Y. Synthesis and Photocatalytic Application of Stable Lead-Free Cs2 AgBiBr6 Perovskite Nanocrystals. Small 2018, 14, e1703762. [Google Scholar] [CrossRef]
- Gao, W.; Ran, C.; Xi, J.; Jiao, B.; Zhang, W.; Wu, M.; Hou, X.; Wu, Z. High-Quality Cs2 AgBiBr6 Double Perovskite Film for Lead-Free Inverted Planar Heterojunction Solar Cells with 2.2% Efficiency. Chemphyschem 2018, 19, 1696–1700. [Google Scholar] [CrossRef]
- Shuang, Z.; Zhou, H.; Wu, D.; Zhang, X.; Xiao, B.; Ma, G.; Zhang, J.; Wang, H. Low-temperature process for self-powered lead-free Cs2AgBiBr6 perovskite photodetector with high detectivity. Chem. Eng. J. 2022, 433, 134544. [Google Scholar] [CrossRef]
- Biswas, I.; Dey, A.; Dalal, A.; Saha, S.; Nunzi, J.-M.; Mondal, A. Stable, self-biased Cs2AgBiBr6 thin-film based photodetector by three-step vapor-deposition. J. Alloys Compd. 2024, 976, 172903. [Google Scholar] [CrossRef]
- Rahane, S.N.; Rahane, G.K.; Mandal, A.; Jadhav, Y.; Godha, A.; Rokade, A.; Shah, S.; Hase, Y.; Waghmare, A.; Saykar, N.G.; et al. Lead-Free Cs2AgBiCl6 Double Perovskite: Experimental and Theoretical Insights into the Self-Trapping for Optoelectronic Applications. ACS Phys. Chem. Au 2024, 4, 476–489. [Google Scholar] [CrossRef] [PubMed]
- Ji, F.; Huang, Y.; Wang, F.; Kobera, L.; Xie, F.; Klarbring, J.; Abbrent, S.; Brus, J.; Yin, C.; Simak, S.I.; et al. Near-Infrared Light-Responsive Cu-Doped Cs2AgBiBr6. Adv. Funct. Mater. 2020, 30, 2005521. [Google Scholar] [CrossRef]
- Wang, S.; Jiang, W.; Cui, W.; Jiang, W.; Zhao, M.; Sun, J.; Liu, B.; Lai, X.; Shi, K.; Pan, K. Improved Optical Properties of Lead-Free Double Perovskite Cs2AgBiBr6 Nanocrystals via Na Ions Doping. Adv. Opt. Mater. 2023, 11, 2202745. [Google Scholar] [CrossRef]
- Ding, N.; Shao, L.; Xie, T.; Pan, G.; Zhou, D.; Bai, X.; Lu, S.; Hu, J.; Zhou, J.; Xu, W.; et al. Highly-Sensitive, Stable, and Fast-Response Lead-Free Cs2AgBiBr6 Double Perovskite Photodetectors Enabled by Synergistic Engineering of Doping Na+/Ce3+ and Integrating Ag Nanoparticles Film. Laser Photonics Rev. 2022, 16, 2200301. [Google Scholar] [CrossRef]
- Chen, Z.; Jiang, X.; Xu, H.; Wang, J.; Zhang, M.; Pan, D.; Jiang, G.; Shahid, M.Z.; Li, Z. Rubidium Doped Cs2AgBiBr6 Hierarchical Microsphere for Enhanced Photocatalytic CO2 Reduction. Small 2024, 20, e2401202. [Google Scholar] [CrossRef]
- Chen, H.; Zhang, C.-R.; Liu, Z.-J.; Gong, J.-J.; Zhang, M.-L.; Wu, Y.-Z.; Chen, Y.-H.; Chen, H.-S. Optoelectronic properties of Rb-doped inorganic double perovskite Cs2AgBiBr6. Chem. Phys. Lett. 2021, 771, 138501. [Google Scholar] [CrossRef]
- Zhang, Z.; Liu, G.; Guo, W.; Li, X.; Zhang, Y.; Wu, C.; Qu, B.; Shi, J.-j.; Chen, Z.; Xiao, L. Black single crystals of lead-free perovskite Cs2Ag(Bi:Ru)Br6 with an intermediate band. Mater. Adv. 2022, 3, 4932–4937. [Google Scholar] [CrossRef]
- Cen, G.; Sheng, H.; Wang, Z.; Yi, L.; Sun, H.; An, Y.; Zhao, C.; Mai, W. Boosting photodetection performance of Cs2AgBiBr6 through A-site Rb substitution and interfacial engineering. J. Colloid Interface Sci. 2023, 652, 34–40. [Google Scholar] [CrossRef]
- Yan, G.; Jiang, B.; Xiao, Y.; Zhao, C.; Yuan, Y.; Liang, Z. Alkali metal ions induced high-quality all-inorganic Cs2AgBiBr6 perovskite films for flexible self-powered photodetectors. Appl. Surf. Sci. 2022, 579, 152198. [Google Scholar] [CrossRef]
- Zhang, Z.; Wu, C.; Wang, D.; Liu, G.; Zhang, Q.; Luo, W.; Qi, X.; Guo, X.; Zhang, Y.; Lao, Y.; et al. Improvement of Cs2AgBiBr6 double perovskite solar cell by rubidium doping. Org. Electron. 2019, 74, 204–210. [Google Scholar] [CrossRef]
- Wu, C.; Zhang, Q.; Liu, Y.; Luo, W.; Guo, X.; Huang, Z.; Ting, H.; Sun, W.; Zhong, X.; Wei, S.; et al. The Dawn of Lead-Free Perovskite Solar Cell: Highly Stable Double Perovskite Cs2AgBiBr6 Film. Adv. Sci. 2018, 5, 1700759. [Google Scholar] [CrossRef] [PubMed]
- Wu, R.; Wang, Q.; Yang, S.; Wu, L.; Gong, S.; Han, Q.; Wu, W. Enhanced thermal stability of exciton recombination in CsPbI3 perovskite nanocrystals via zinc alloying. J. Alloys Compd. 2021, 857, 157574. [Google Scholar] [CrossRef]
- Gebhardt, J.; Elsässer, C. The Electronic Structure of Cs2AgBiBr6 at Room Temperature. Phys. Status Solidi (b) 2022, 259, 2200124. [Google Scholar] [CrossRef]
- Lei, H.; Hardy, D.; Gao, F. Lead-Free Double Perovskite Cs2AgBiBr6: Fundamentals, Applications, and Perspectives. Adv. Funct. Mater. 2021, 31, 2105898. [Google Scholar] [CrossRef]
- Bekenstein, Y.; Dahl, J.C.; Huang, J.; Osowiecki, W.T.; Swabeck, J.K.; Chan, E.M.; Yang, P.; Alivisatos, A.P. The Making and Breaking of Lead-Free Double Perovskite Nanocrystals of Cesium Silver-Bismuth Halide Compositions. Nano Lett. 2018, 18, 3502–3508. [Google Scholar] [CrossRef]
- Yao, M.M.; Wang, L.; Yao, J.S.; Wang, K.H.; Chen, C.; Zhu, B.S.; Yang, J.N.; Wang, J.J.; Xu, W.P.; Zhang, Q.; et al. Improving Lead-Free Double Perovskite Cs2NaBiCl6 Nanocrystal Optical Properties via Ion Doping. Adv. Opt. Mater. 2020, 8, 1901919. [Google Scholar] [CrossRef]
- Wright, A.D.; Buizza, L.R.V.; Savill, K.J.; Longo, G.; Snaith, H.J.; Johnston, M.B.; Herz, L.M. Ultrafast Excited-State Localization in Cs2AgBiBr6 Double Perovskite. J. Phys. Chem. Lett. 2021, 12, 3352–3360. [Google Scholar] [CrossRef]
- Shi, Z.; Li, Y.; Zhang, Y.; Chen, Y.; Li, X.; Wu, D.; Xu, T.; Shan, C.; Du, G. High-Efficiency and Air-Stable Perovskite Quantum Dots Light-Emitting Diodes with an All-Inorganic Heterostructure. Nano Lett. 2017, 17, 313–321. [Google Scholar] [CrossRef]
- Sun, S.; Yuan, D.; Xu, Y.; Wang, A.; Deng, Z. Ligand-Mediated Synthesis of Shape-Controlled Cesium Lead Halide Perovskite Nanocrystals via Reprecipitation Process at Room Temperature. ACS Nano 2016, 10, 3648–3657. [Google Scholar] [CrossRef] [PubMed]
- Sze, S.M.; Ng, K.K. Physics of Semiconductor Devices; John Wiley & Sons: Hoboken, NJ, USA, 2021. [Google Scholar]











| (meV) | Γinh (meV) | (μeV/K) | ΓLO (meV) | (μeV) | |
|---|---|---|---|---|---|
| Cs2AgBiBr6 | 37.75 | 96.19 | 23.32 | 511.89 | 31.26 |
| Na0.07Cs1.93AgBiBr6 | 38.83 | 91.02 | 12.32 | 2316.39 | 40.21 |
Disclaimer/Publisher’s Note: The statements, opinions and data contained in all publications are solely those of the individual author(s) and contributor(s) and not of MDPI and/or the editor(s). MDPI and/or the editor(s) disclaim responsibility for any injury to people or property resulting from any ideas, methods, instructions or products referred to in the content. |
© 2024 by the authors. Licensee MDPI, Basel, Switzerland. This article is an open access article distributed under the terms and conditions of the Creative Commons Attribution (CC BY) license (https://creativecommons.org/licenses/by/4.0/).
Share and Cite
Wu, Y.; Meng, Y.; Hu, Q.; Shen, S.; Zhang, C.; Bian, A.; Dai, J. A-Site Ion Doping in Cs2AgBiBr6 Double Perovskite Films for Improved Optical and Photodetector Performance. Crystals 2024, 14, 1068. https://doi.org/10.3390/cryst14121068
Wu Y, Meng Y, Hu Q, Shen S, Zhang C, Bian A, Dai J. A-Site Ion Doping in Cs2AgBiBr6 Double Perovskite Films for Improved Optical and Photodetector Performance. Crystals. 2024; 14(12):1068. https://doi.org/10.3390/cryst14121068
Chicago/Turabian StyleWu, Yuejia, Yanpeng Meng, Qirun Hu, Songchao Shen, Chengxi Zhang, Ang Bian, and Jun Dai. 2024. "A-Site Ion Doping in Cs2AgBiBr6 Double Perovskite Films for Improved Optical and Photodetector Performance" Crystals 14, no. 12: 1068. https://doi.org/10.3390/cryst14121068
APA StyleWu, Y., Meng, Y., Hu, Q., Shen, S., Zhang, C., Bian, A., & Dai, J. (2024). A-Site Ion Doping in Cs2AgBiBr6 Double Perovskite Films for Improved Optical and Photodetector Performance. Crystals, 14(12), 1068. https://doi.org/10.3390/cryst14121068

