Abstract
This article presents new research on the surface condition of bulk crystal samples after the following stages of surface treatment: grinding, polishing, and etching. Furthermore, it shows how the surface condition affects the photothermal signal’s spectral amplitude and phase characteristics (PZE). A new theoretical interpretation of the photothermal spectra of CdTe samples after different surface treatments is proposed. We demonstrate that the piezoelectric method is susceptible to the surface condition, and it allows for the estimation of the thickness of surface-damaged layers of samples, and for the analysis of their thermal parameters. The roughness of surfaces obtained from the AFM pictures is estimated and compared to the photothermal results.
1. Introduction
Wide bandgap II-VI semiconductors are still being researched for controlling bandgap values, interband and intersubband transitions, and their applications. Cadmium telluride-based materials are among the promising ones for X-ray and γ-ray detectors. Surface preparation and its quality are essential for these materials, and they are still being researched and presented in the literature. Ivan Rimmaudo et al. [1] investigated the stability of CdTe solar cells by absorber surface etching. Within this study, the samples with Cu/Au back-contact have been prepared with different etching times, and they have been tested by applying thermal, luminous, and electrical stresses. V.D. Popovych et al. [2] studied the effect of doping with halogens on the hardness of vapor-grown CdTe single-crystals. As a result of the progressive hardening, they observed increasing dopant content for the CdTe:I crystals and the non-monotonous behavior of concentration dependence of the hardness for the CdTe:Cl. The influence of the surface roughness on electron–phonon interaction in an intrinsic CdTe single-crystal was analyzed in a study by C.I. Medel-Ruiz et al. [3]. They found that electron–phonon interaction depends on the surface roughness.
The thin-films of CdTe are also a topic of interest, including the surface preparation procedures. R.K.K.G.R.G. Kumarasinghe et al. [4] investigated the thermally evaporated CdS/CdTe thin-film solar cells and optimized the CdCl2 evaporation treatment on the absorber layer. They reported crucial treatment of the thermal-evaporated CdS/CdTe thin-film solar cells, including the CdCl2 annealing of the CdTe absorber layer at temperatures from 340 to 440 °C. Z. Tsybrii et al. [5] investigated the low-temperature growth of CdTe thin-films as passivation layers for IR and THz functional elements. Surface passivation is a necessary technological operation in the manufacturing of photodiode and photoconductive detectors.
Chemical treatment, a critical processing step in fabricating high-efficiency photovoltaic devices, is also a topic of investigation. Wet chemical-etched CdTe thin-film solar cells were analyzed by Seungju Chun et al. [6], because this thin-film has good properties as the absorber layer for the low-cost photovoltaic cell. G. Korcsmáro et al. [7] studied oxidation and erosion of the single-crystal CdTe surface in the distilled water and NaCl solution. Han Jun-feng investigated the oxide layer on the CdTe film surface and its effect on device performance [8]. They used X-ray Photoelectron Spectroscopy to study the chemical evolution of the CdTe crystal and thin-film under air exposure for a more-extended exposition time of one month, during which the oxide layer thickness increased in both cases up to 7.2 and 5.9 nm, for CdTe crystal and thin-film, respectively. Ştefan Ţălu et al. [9] studied how topographical surface parameters are correlated with CdTe monocrystal surface oxidation. The effects of Te inclusions on the optical and electrical properties of CdMnTe and CdMgTe crystals grown using the modified vertical Bridgman method were investigated by Pengfei Yu et al. [10].
AII-BVI crystals and their mixed alloys have already been investigated by using different photothermal methods, such as photoacoustic (PA), photopyroelectric (PPE), and piezoelectric photothermal (PZE).
The PZE spectra of CdTe-etched samples were already shown in paper [11], which applied the two-layer model to interpret the experimental PZE spectra. The assumption that the damaged surface layer of the thermal parameters was significantly different from the sample substrate explained the behavior of the amplitude spectra in the high-energy region. The thickness of the surface layer after etching was estimated to be 0.5 µm. In the current article, we decided to make a new interpretation of the newly obtained results to more precisely determine the impact of subsequent mechanical and chemical processing steps on CdTe’s surface quality and thermal properties. We also propose a more precise explanation of the experimental results.
The piezoelectric photothermal method investigated the other pure and mixed bulk samples. After different surface treatment stages, the Cd1-xBexTe mixed crystals were presented in paper [12]. The samples exhibited different PZE spectra depending on their surface treatment.
The present paper discusses the theoretical interpretation, in a two-layer model, of photothermal amplitude and phase experimental spectra, of crystal samples after grinding, polishing, and etching on the example of CdTe crystal samples. Our results are derived from the fact that it was not possible to correctly theoretically interpret the PZE spectra of several A2B6 semiconductors in a one-layer model of the sample. The simplified two-layer model enabled theoretical-fitting to experimental characteristics; however, it gave two large thicknesses of the damaged surface layers, and it is thus compared to the thickness of the roughness estimated from the AFM experiments. These investigations also aimed to assess the thermal parameters of the damaged surface layers and the substrate after various stages of surface treatment when their thickness is known.
2. Introduction to the Two-Layer Piezoelectric Model
A detailed description of the experiment set-up has been published previously [13]. The 100 W halogen lamp, mechanical chopper, and lock-in detection were applied to obtain the experimental data. The PZE spectra allow us to obtain several physical parameters of semiconductor samples. These parameters include the energy gap value, thermal diffusivity, spectra of the optical absorption coefficient, and the location of surface states. The formula for the PZE signal in the one-layer model of the sample was presented in the paper [14], and the two-layer model is described in the paper [11]. The piezoelectric signal, in this case, depends on the spatial distribution of instantaneous temperature in the surface layer, T1(x, E) = T1(x, f, E, α1, λ1, β1(E), l, L), and in the substrate, T2(x, E) = T2(x, f, E, α2, λ2, β2(E), l, L). The spatial distributions of the instantaneous temperature in the surface layer and in the substrate depend on a number of their parameters, such as the x-spatial coordinate, the f-frequency of modulation, the E-energy of absorbed photons, the α1,2-thermal diffusivity of the surface layer (αi = λi/(Ciρi)) (1) and substrate (2), as well as λ1,2, thermal conductivity of the surface layer (1) and substrate (2); β1,2(E), the optical absorption spectrum; l, thickness of the surface layer; L, thickness of the sample; Ci, heat capacity; and ρi, density. The spectrum of the PZE signal is a function of these instantaneous spatial temperature distributions, T1(x, E) and T2(x, E) in the surface layer and the substrate, respectively. The relationship describes the following spectrum:
The simulations of piezoelectric spectra of two-layer samples in the above model for different surface layer thicknesses and their different physical parameters are presented below.
3. Theoretical Calculations in the Two-Layer Model of the PZE Signal
In simulations, the characteristic behavior and changes in the courses of amplitude and phase spectra are observed, and similar behavior in the experiments can help in the interpretation.
3.1. Simulations of the Thick Surface Layer
The calculation parameters are as follows: L = 0.1 cm, f = 76 Hz
The thermal parameters of the substrate are as follows: α2 = 0.01 cm2/s, λ2 = 0.55 [a.u]
The thermal parameters of the surface layer are as follows: α1 = α2/1000 cm2/s, λ1 = λ2/50 [a.u]
R12 = −0.225 e1/e2 = 0.632
R12 is the thermal wave reflection coefficient at the surface layer–substrate interface, and e1 and e2 are the thermal effusivities of the surface layer and the substrate, respectively.
The thermal conductivity of the samples is expressed in arbitrary units because the shape of the PZE spectra does not depend on the thermal conductivity of the substrate, but on the ratio of the thermal conductivities of the substrate and the surface layer, and, of course, on the thermal diffusivity of the substrate and the surface layer.
The amplitude and phase theoretical PZE spectra for the studied thicknesses of the thick surface layer are shown in Figure 1 and Figure 2.
Figure 1.
Theoretical amplitude PZE spectra for three thicknesses of the damaged surface layer; description of the lines: continuous l = 0 μm, dashed l = 1 μm, dash-dot l = 2 μm.
Figure 2.
Theoretical phase PZE spectra—for three thicknesses of the damaged surface layer; description of the lines: continuous l = 0 μm, dashed l = 1 μm, dash-dot l = 2 μm.
Let A1 denote the magnitude of the amplitude for the maximum of the spectrum for E < Eg, i.e., in the Urbach tail absorption region. Let A2 denote the magnitude of the amplitude for E > Eg, i.e., in the band-to-band absorption region. In this case, A1 = 1.43 eV, A2 = 1.5 eV.
From the presented calculations, it can be concluded that the value of A1 does not change with the thickness of the damaged layer. The A2 value varies with the thickness of the surface layer. The A2/A1 ratio carries information about the thickness of the surface layer if the thermal parameters are known. To observe apparent changes in the A2 value with the layer thickness, observed in Figure 1, and at the same time not observe the change in the amplitude with the photon energy above Eg at a given thickness of the surface layer, the thermal conductivity of the surface layer must be several dozen times smaller than the thermal conductivity of the substrate, and the thermal diffusivity of the layer must be several hundred times smaller than the thermal diffusivity of the substrate. This results in a negative value of the thermal wave reflection coefficient, R12 = −0.225.
3.2. Simulations for a Thin Surface Layer
The calculation parameters are as follows: L = 0.1 cm, f = 76 Hz
The thermal parameters of the substrate are as follows: α2 = 0.01 cm2/s, λ2 = 0.55 [a.u]
The thermal parameters of the layer are as follows: α1 = α2/100, λ1 = λ2 = 0.55 [a.u]
R12 = 0.82 e1/e2 = 10
The amplitude and phase theoretical PZE spectra for the studied thicknesses of the thick surface layer are shown in the Figure 3 and Figure 4.
Figure 3.
Theoretical amplitude PZE spectra for several surface layer thicknesses. Line description: continuous l = 0 μm, dashed l = 0.1 μm, dash-dot l = 0.3 μm.
Figure 4.
Theoretical phase PZE spectra for several surface layer thicknesses. Line description: continuous l = 0 μm, dashed l = 0.1 μm, dash-dot l = 0.3 μm.
Let A1 denote the magnitude of the amplitude for the maximum spectrum for E < Eg, and let A2 denote the magnitude of the amplitude for E > Eg, but close to Eg. Again, in this case, A1 = 1.43 eV, A2 = 1.5 eV.
From the presented calculations, it can be concluded that, as for the thick layer, the value of A1 does not change with the thickness of the damaged layer. For the energy of photons E > Eg, the amplitude changes with the thickness of the surface layer and the energy of photons. The A2/A1 ratio also carries information about the thickness of the surface layer. To obtain evident changes in the A2 value with the layer thickness, observed in Figure 3, and at the same time to observe changes in the amplitude with photon energy above Eg at a given thickness of the surface layer, the thermal conductivity of the layer must be similar to the thermal conductivity of the substrate, and the thermal diffusivity of the layer must be several dozen times lower than the thermal diffusivity of the substrate. This results in a positive value of R12 = 0.82. Both of the PZE spectra presented above are observed experimentally for several samples of AII-BVI crystals after different surface treatments.
Two types of spectra described theoretically can also be seen in the observed PZE amplitude experimental spectra of the CdTe samples. For ground and polished samples, the first type of amplitude spectra is observed for the thick surface layer type. In contrast, the second type of theoretical amplitude spectra of the thin surface layer type for additionally etched samples is observed. The first type of spectra is observed for minimal thermal parameters of the surface layer; in contrast, the second type of spectra is observed for much better surface layer thermal parameters, which are similar to the substrate’s thermal parameters.
4. Experiment: Sample Preparation
The experimental PZE results of the CdTe samples were grown from the powder using the high-pressure Bridgeman method. The crystal rod was cut into about 1 mm thick samples, then mechanically and chemically surface-treated. The cut samples were ground with the Al2O3 powder, suspended in water, with the grains’ diameter being 10 µm. Then, the samples were polished with the diamond paste of the grain diameter, ranging from 0.1 µm to 1 µm. After such mechanical treatment, the samples were subjected to the etching process. They were etched with a mixture of 48% hydrofluoric acid (HF) and water at room temperature. After etching, the samples were rinsed in water and dried in ethyl alcohol.
All of the experimental PZE spectra presented in this paper were measured in the rear configuration, in which the sample is illuminated from one side of the sample, and the piezoelectric signal is detected from the other side. The idea of the PZE experimental set-up was presented in the paper [13].
Figure 5 presents CdTe’s amplitude and phase spectra for ground samples measured for different frequencies (black—12 Hz, red—76 Hz, green—126 Hz, blue—226 Hz). The higher frequency is associated with the lower thermal diffusion length, which means the photothermal signal is generated in the thinner layer of the material, and the surface influences the obtained spectra to a greater degree. To best observe the influence of the surface on the spectrum, it is better to analyze the results for higher frequencies. However, the higher the frequency, the greater the decrease in the signal intensity; furthermore, it is not always possible to measure the appropriate quality of the spectrum for high frequencies.
Figure 5.
The amplitude (a) and phase (b) spectra of CdTe for the ground sample were measured for different frequencies (back—12 Hz, red—76 Hz, green—126 Hz, blue—226 Hz.
The following two maxima below the energy gap are visible in the amplitude spectrum: 1.35 eV and 1.43 eV. The intensity ratio for the maximum of 1.35 eV to the maximum of the signal above the gap is very similar. Still, it is worth noting that the maximum of 1.43 eV in the amplitude spectrum at the frequency of 12 Hz is small compared to the magnitude of the amplitude above Eg. This maximum is associated with an additional defect located on the surface, as evidenced by phase changes for the energy of 1.43 eV (Figure 5b). The fact that the defect is located on the surface is also evidenced by the fact that, for higher frequencies in the phase spectrum, a phase jump is observed between the values of −20 and −40, and for the 12 Hz value between −150 and −120. The nature of the signal source thus changes, from surface to bulk.
The experimental amplitude and phase spectra of CdTe samples subjected to different surface treatments and measured at f = 126 Hz are presented in Figure 6a and Figure 6b, respectively.
Figure 6.
Experimental amplitude (a) and phase (b) PZE spectra of CdTe after different surface treatments at f = 126 Hz. Green line—ground sample, red line—polished sample, black line—etched sample.
The influence of surface preparation is visible in both amplitude and phase spectra. For grounded and polished samples, a minimum is observed in the amplitude spectrum in the region below the energy gap, which becomes smaller and passes into a plateau for the etched sample. Furthermore, in the phase spectrum for the etched sample, no additional phase changes/breaks are observed in the region of about 1.4 eV to 1.47 eV. The shape of the black curve becomes flat in the low-energy region, which indicates an improvement in the surface quality of the sample. The surface quality improvement confirms the flattening in the low-energy region for the amplitude.
5. Experimental Piezoelectric Spectra and Their Comparative Analysis
Experimental and theoretical PZE spectra of CdTe samples measured in the rear configuration at f = 126 Hz after different surface treatments, i.e., grinding, polishing, and etching, are presented below in Figure 7a–f.


Figure 7.
Experimental and theoretical amplitude and phase PZE spectra of CdTe samples measured at f = 126 Hz. Circles are experimental data; solid lines are theoretical characteristics for different cases: (a) amplitude PZE spectrum after grinding and the surface layer thickness l = 4.5 µm. (b) phase PZE spectrum after grinding and the surface layer thickness l = 4.5 µm. (c) amplitude PZE spectrum after polishing and the surface layer thickness l = 3.2 µm. (d) phase PZE spectrum after polishing and the surface layer thickness l = 3.2 µm. (e) amplitude PZE spectrum after etching and the thickness of the layer l = 0.12 µm. (f) phase PZE spectrum after etching and the thickness of the layer l = 0.12 µm.
The computations presented above were performed for the following set of parameters: Thermal diffusivity of the substrate is α1 = 0.05 cm2/s. The thickness of the samples is L = 0.1 cm.
For the case of ground and polished CdTe samples, computations were performed on the thick surface layer model that is presented in Section 3.1. In this case, the thermal diffusivity of the surface layer is α2 = α1/1000, and the thermal conductivity of the surface layer is λ2 = λ1/20, where λ1 is the thermal conductivity of the CdTe substrate. The thermal reflection coefficient, R12, between the surface layer and the substrate was equal to 0.22. For the ground and polished samples, only the thickness of the surface layers was different.
For the case of the etched CdTe sample, computations were performed on the thin surface layer model that is presented in Section 3.2. In this case, the thermal diffusivity of the surface layer is α2 = α1/100 or I/50, and the thermal conductivity of the surface layer is λ2 = λ1. In this case, the thermal reflection coefficient, R12, between the surface layer and the substrate was equal to 0.82.
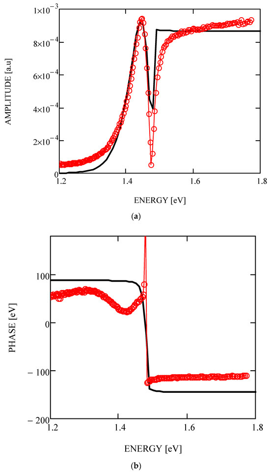
The piezoelectric amplitude and phase spectra of the CdTe-etched sample, measured in the front configuration at f = 12 Hz, are presented in Figure 8.
Figure 8.
Experimental and theoretical amplitude and phase PZE spectra of CdTe-etched samples measured in the front configuration at f = 12 Hz. Circles are experimental data; solid lines are theoretical characteristics. Fitting parameters: Eg = 1.50 eV, l = 0.15 µm, α2 = α1/50, λ2 = λ1/1.
For comparison, the experimental and theoretical amplitude and phase piezoelectric spectra computed for l = 0 µm, i.e., for a perfect sample, are presented in Figure 9.
Figure 9.
Experimental and theoretical amplitude and phase PZE spectra of etched CdTe samples measured in the front configuration at f = 12 Hz. Circles are experimental data; solid lines are theoretical characteristics.
The results from Figure 10 present worse-fitting parameters than the previous ones (Figure 9), which validate the presented model and show the importance of assuming the existence of the damaged subsurface layer, precisely determining its thickness and its thermal properties, which are different from the bulk of the crystal.
Figure 10.
AFM images of one of the selected areas for polished samples.
6. Atomic Force Microscope Images
Atomic Force Microscopy (AFM) is a method that allows for the quantitative study of the three-dimensional structure of the surface and its properties, such as the following: mechanical, electronic, magnetic, and chemical [15,16]. AFM images were performed to check the roughness, compare the results with piezo data, and assess whether the surface treatment processes affected only the surface, or whether the subsurface layer was also damaged.
AFM images were taken in contact mode with a Bioscope 2 (Bruker, former Veeco, Santa Barbara, USA) instrument. MLCT-D probes (Bruker) were used with the nominal spring constant of 0.03 N/m. All images were collected at a scan rate of 0.5 Hz, with a scan resolution of 1024 × 1024 pixels. The raw images were processed, and Rq values were extracted from scans using open Gwyddion 2.65 software [17]. From each side, two random regions at the middle and edge of the sample were selected for scanning, and scans of 150 μm, 20 μm, and 6.7 μm were taken.
Several places were selected on both sides of the sample, for which AFM scans with dimensions of 18 × 18 µm and 7 × 7 µm were made. The surfaces of both polished and etched samples are heterogeneous. The selected images are presented in Figure 10 and Figure 11.
Figure 11.
AFM images of one of the selected areas for etched samples.
The obtained root mean square roughness (Rq) values for three randomly selected locations on the surface and fault edge are shown in Table 1.
Table 1.
The roughness values for polished and etched CdTe samples.
The values obtained for the roughness are significantly different from those of the thickness of defective layers obtained for spectroscopic measurements. This is because machining affects the surface and creates a defective layer below the surface. AFM results in properties on the surface, and photothermic results in properties on the layer below; these methods can be considered complementary.
Figure 12 shows the cross-section of the sample after etching, showing different values of roughness and thickness of the damaged layer after chemical treatment.
Figure 12.
The cross-section for the sample after etching. The roughness and the thickness of the damaged sample are presented.
Our research on the surface treatment’s influence on surface properties and the defective subsurface layer confirms and complements the research conducted by other authors. A near-surface defect layer was investigated by L.C. Zhang et al. [18], wherein it was shown that the crystal lattice in the subsurface layer had been damaged, and multiple phase transformations were found there. The other authors observed the damaged layer for silicon nitride [19] and silicon carbide [20]. The evaluation of the damaged layer after the polishing procedure for A2B6 semiconductors was investigated by Lucca et al. [21,22]. The subsurface layer in the optical active materials was investigated by Shen et al. [23]. Venkatesh et al. [24] studied the procedures of polishing and the ultra-precise treatment of A3B5 GaAs, GaP, and InP semiconductors.
Mechanisms of material removal and subsurface damage of single-crystalline silicon were studied by T. Suzuki et al. [25]. They observed that the subsurface-damaged layers comprised amorphous layers, dislocated layers with grain boundaries, and micro cracks. H. Aida et al. [26] analyzed mechanically induced subsurface damage and its removal by chemical mechanical polishing for gallium nitride substrate. The high defect density subsurface damage layers for their samples were approximately 200 nm from the surface, whereas some subsurface damage reached over 1 μm in depth.
Y. Feng et al. [27] used an acid solution etching method for the evaluation of polishing-induced subsurface damage in InAs substrates. They studied the trend of the corrosion rate as a function of removal thickness in the process of chemical etching, which proves the existence of subsurface damage in the polished InAs substrate. The properties of the subsurface damage layer have also been observed and examined recently by Li. al [28] in B3-GaN.
7. Conclusions
The experimental PZE results presented in the paper can be interpreted as follows. The actual structure of the test samples is a three-layer structure, not a two-layer one. The outer surface layer, a few micrometers thick for the ground and polished samples, is the most damaged, and exhibits minimal thermal parameters. The thermal diffusivity of the surface layer is approximately 1000 times smaller than the thermal diffusivity of the CdTe monocrystal. The thermal conductivity of the surface layer is also small, as it is 20 times smaller than the thermal conductivity of the CdTe monocrystal. After removing the outer surface layer of a few micrometers, the second thin surface layer of the thickness of a fraction of a micrometer, l = 0.15 µm, appears. It exhibits much better thermal parameters than the outer surface layer that is similar to the thermal parameters of the substrate; i.e., the thermal diffusivity of the surface layer is 50 times smaller than that of the substrate, α2 = α1/50, and the thermal conductivity of the surface layer is equal to the substrate, λ2 = λ1/1. One can conclude that the investigated samples exhibited two surface layers of different thicknesses, and different thermal parameters than the perfect CdTe substrate. In this sense, the investigated samples could be treated as three-layer structures.
The thickness of the surface layers of a given type and degree of damage can be estimated by comparing the theoretical ratio of the amplitudes, A2/A1, in the rear configuration, computed for the given thermal parameters of the substrate, the surface layer, and the frequency of modulation with the experimental ratio of the amplitudes A2/A1.
AFM images of polished and etched samples were analyzed, and it was shown that this method complements the data obtained from photothermal spectroscopy on the surface and the damaged subsurface layer.
Author Contributions
Conceptualization, J.Z.; data curation, M.M.; formal analysis, M.M.; investigation, J.Z., M.B., and J.S.; methodology, M.M.; project administration, J.Z.; supervision, J.Z.; validation, M.M.; visualization, J.Z., M.B., and J.S.; writing—original draft, J.Z.; writing—review and editing, M.B. and K.S. All authors have read and agreed to the published version of the manuscript.
Funding
This research was funded partly by the Emerging Fields Team IDUB of the Nicolaus Copernicus University, Material Science and Technology, 2023–2026.
Data Availability Statement
All data are fully available without restriction. The datasets used and/or analyzed during the current study are available from the corresponding author upon reasonable request.
Conflicts of Interest
The authors declare no conflicts of interest.
References
- Rimmaudoa, I.; Salaveia, A.; Artegiania, E.; Menossia, D.; Giarolab, M.; Mariottob, G.; Gasparottoc, A.; Romeoa, A. Improved stability of CdTe solar cells by absorber surface etching. Sol. Energy Mater. Sol. Cells 2017, 162, 127–133. [Google Scholar] [CrossRef]
- Popovych, V.D.; Pavlovskyy, Y.V. The effect of doping with halogens on the hardness of vapor grown CdTe single crystals. J. Cryst. Growth 2022, 584, 126585. [Google Scholar] [CrossRef]
- Medel-Ruiz, C.I.; Molina-Contreras, J.R.; Frausto-Reyes, C.; Sevilla-Escoboza, J.R.; Perez Ladron de Guevara, H. Influence of the surface roughness on electron-phonon interaction in an intrinsic CdTe single crystal. Phys. B Phys. Condens. Matter 2021, 603, 412785. [Google Scholar] [CrossRef]
- Kumarasinghe, R.K.K.G.R.G.; Kumarasinghe, P.K.K.; Wijesundera, R.P.; Dassanayake, B.S. Thermally evaporated CdS/CdTe thin film solar cells: Optimization of CdCl2 evaporation treatment on absorber layer. Curr. Appl. Phys. 2022, 33, 33–40. [Google Scholar] [CrossRef]
- Tsybrii, Z.; Vuichyk, M.; Svezhentsova, K.; Smolii, M.; Gomeniuk, Y.; Nazarov, A.; Sizov, F. Low-temperature growth of CdTe thin films as passivation layers for IR and THz functional elements. Mater. Chem. Phys. 2022, 278, 125581. [Google Scholar] [CrossRef]
- Seungju, C.; Lee, S.; Jung, Y.; Bae, J.S.; Kim, J.; Kim, K. Wet chemical etched CdTe thin film solar cells. Curr. Appl. Phys. 2013, 13, 211–216. [Google Scholar]
- Korcsmárosa, G.; Moraveca, P.; Grilla, R.; Mašekb, K.; Veis, M. Oxidation and erosion of single crystal CdTe surface in distilled water and NaCl solution. Thin Solid Film. 2019, 686, 137426. [Google Scholar] [CrossRef]
- Jun-Feng, H.; Liu, X.; Li-mei, C.; Hamon, J.; Besland, M.P. Investigation of oxide layer on CdTe film surface and its effect on the device performance. Mater. Sci. Semicond. Process. 2015, 40, 402–406. [Google Scholar] [CrossRef]
- Ţălua, S.; Yadav, R.P.; Šikc, O.; Sobola, D.; Dallaev, R.; Solaymanie, S.; Mand, O. How topographical surface parameters are correlated with CdTe monocrystal surface oxidation. Mater. Sci. Semicond. Process. 2018, 85, 15–23. [Google Scholar] [CrossRef]
- Yu, P.; Gao, P.; Shao, T.; Liu, W.; Jiang, B.; Liu, C.; Ma, Z.; Zheng, J. Correlation between Te inclusions and the opto-electrical properties of CdMnTe and CdMgTe single crystals. J. Cryst. Growth 2021, 571, 126259. [Google Scholar] [CrossRef]
- Zakrzewski, J.; Strzałkowski, K.; Maliński, M.; Chrobak, Ł. Two-layer model in piezoelectric photothermal spectra of CdTe crystals. Int. J. Thermophys. 2019, 40, 56. [Google Scholar] [CrossRef]
- Zakrzewski, J.; Strzałkowski, K.; Boumhamdi, M.; Marasek, A.; Abouais, A.; Kamiński, D.M. Photothermal determination of the surface treatment of Cd1-xBexTe mixed crystals. Appl. Sci. 2023, 13, 2113. [Google Scholar] [CrossRef]
- Strzałkowski, K.; Kulesza, S.; Zakrzewski, J.; Maliński, M. Surface investigations of ZnBeMnSe mixed crystals by means of the piezoelectric spectroscopy and the AFM technique. Appl. Surf. Sci. 2014, 290, 27. [Google Scholar] [CrossRef]
- Maliński, M. Application of the temperature distribution formula for the photoacoustic investigations of layer systems. Eur. Phys. J. Spec. Top. 2008, 153, 291–293. [Google Scholar] [CrossRef]
- Zhang, H.; Zhu, Y.; Duan, P.; Shiri, M.; Yelishala, S.C.; Shen, S.; Song, Z.; Jia, C.; Guo, L.; Cui, X.; et al. Energy conversion and transport in molecular-scale junctions. Appl. Phys. Rev. 2024, 11, 041312. [Google Scholar] [CrossRef]
- Lou, Z.; Zhang, Y.; Li, Y.; Xu, L. Study on microscopic physical and chemical properties of biomass materials by AFM. J. Mater. Res. Technol. 2023, 24, 10005. [Google Scholar] [CrossRef]
- Nečas, D.; Klapetek, P. Gwyddion: An open-source software for SPM data analysis. Centr. Eur. J. Phys. 2012, 10, 181–188. [Google Scholar] [CrossRef]
- Zhang, L.C.; Zarudi, I. Towards a deeper understanding of plastic deformation in mono-crystalline silicon. Int. J. Mech. Sci. 2001, 43, 1985–1996. [Google Scholar] [CrossRef]
- Kanematsu, W. Subsurface damage in scratch testing of silicon nitride. Wear 2004, 256, 100. [Google Scholar] [CrossRef]
- Patten, J.A.; Jacob, J. Comparison between numerical simulations and experiments for single-point diamond turning of single-crystal silicon carbide. J. Manuf. Process. 2008, 10, 28. [Google Scholar] [CrossRef]
- Lucca, D.A.; Wetteland, C.J.; Misra, A.; Klopfstein, M.J.; Nastasi, M.; Maggiore, C.J.; Tesmer, J.R. Assessment of Subsurface Damage in Polished II-VI Semiconductors by Ion Channeling. Nucl. Instrum. Methods Phys. Res. B 2004, 219–220, 611–617. [Google Scholar] [CrossRef]
- Lucca, D.A.; Shao, L.; Wetteland, C.J.; Misra, A.; Klopfstein, M.J.; Nastasi, M. Subsurface Damage in (100) ZnSe Introduced by Mechanical Polishing. Nucl. Instrum. Methods Phys. Res. B 2006, 250, 907–910. [Google Scholar] [CrossRef]
- Shen, J.; Liu, S.; Yi, K.; He, H.; Shao, J.; Fan, Z. Subsurface damage in optical substrates. Optik 2005, 116, 288. [Google Scholar] [CrossRef]
- Venkatesh, V.C.; Inasaki, I.; Toenshof, H.K.; Nakagawa, T.; Marinescu, I.D. Observations on polishing and ultraprecision machining of semiconductor substrate materials. CIRP Ann. 1995, 44, 611. [Google Scholar] [CrossRef]
- Suzuki, T.; Nishino, Y.; Yan, J. Mechanisms of material removal and subsurface damage in fixed-abrasive diamond wire slicing of single-crystalline silicon. Precis. Eng. 2017, 50, 32–43. [Google Scholar] [CrossRef]
- Aida, H.; Takeda, H.; Doi, T. Analysis of mechanically induced subsurface damage and its removal by chemical mechanical polishing for gallium nitride substrate. Precis. Eng. 2021, 67, 350–358. [Google Scholar] [CrossRef]
- Feng, Y.; Shen, G.; Zhao, Y.; Liu, J.; Yang, J.; Xie, H.; He, J. Evaluation of polishing induced subsurface damage in InAs substrates by an acid solution etching method. Mater. Sci. Semicond. Process. 2023, 167, 107770. [Google Scholar] [CrossRef]
- Li, Y.; Deng, J.; Yang, X.; Peng, N. Study of subsurface damage during nano-grinding of B3-GaN using molecular dynamics simulations. Mater. Sci. Semicond. Process. 2024, 171, 107991. [Google Scholar] [CrossRef]
Disclaimer/Publisher’s Note: The statements, opinions and data contained in all publications are solely those of the individual author(s) and contributor(s) and not of MDPI and/or the editor(s). MDPI and/or the editor(s) disclaim responsibility for any injury to people or property resulting from any ideas, methods, instructions or products referred to in the content. |
© 2024 by the authors. Licensee MDPI, Basel, Switzerland. This article is an open access article distributed under the terms and conditions of the Creative Commons Attribution (CC BY) license (https://creativecommons.org/licenses/by/4.0/).