Abstract
The use of chiral organic ligands as linkers and metal ion nodes with specific coordination geometry is an effective strategy for creating homochiral structures with potential ferroelectric properties. Natural Cinchona alkaloids, e.g., quinine and cinchonine, as compounds with a polar quinuclidine fragment and aromatic quinoline ring, are suitable candidates for the construction of molecular ferroelectrics. In this work, the compounds [CnZnCl3]·MeOH and [CnZnBr3]·MeOH, which crystallize in the ferroelectric polar space group P21, were prepared by reacting the cinchoninium cation (Cn) with zinc(II) chloride or zinc(II) bromide. The structure of [CnZnBr3]·MeOH was determined from single-crystal X-ray diffraction analysis and was isostructural with the previously reported chloride analog [CnZnCl3]·MeOH. The compounds were characterized by infrared spectroscopy, and their thermal stability was determined by thermogravimetric analysis and temperature-modulated powder X-ray diffraction experiments. The intermolecular interactions of the different cinchoninium halogenometalate complexes were evaluated and compared.
1. Introduction
Ferroelectrics are an important class of materials that are of great interest from both a fundamental and an applied point of view, e.g., in the electronics and medical industries []. Their main characteristic is the occurrence of a permanent and spontaneous polarization that can be altered by applying an external electric field. Although various inorganic ferroelectrics have been discovered to date, the most common are lead-based oxides, which are now becoming an increasing environmental concern due to the toxicity of lead, the scarcity of elemental resources, and the high cost of producing oxide materials [,]. Recent research has shown that there is great potential for soft materials based on organic and inorganic–organic molecules [,,]. Such materials are produced using relatively simple processes at low temperatures and according to the principles of green chemistry. A prerequisite for the existence of a permanent dipole moment is that the material crystallizes in a space group with a unique axis of rotation and without a center of symmetry. The advantage of these soft materials is that the crystal packing can be influenced by the careful selection of the molecular fragments, relying on the intermolecular contacts they will achieve in the solid state, but also by some external stimuli such as crystallizing solvents, pressure, and heat []. For example, polar spherical molecules such as quinuclidine can be very easily reoriented in an electric field and thus influence the occurrence of ferroelectric polarization []. In addition, the chirality of certain molecules is important for the design of polar structures, which is essential for ferroelectrics. The use of naturally occurring chiral ligands can be an effective strategy for the preparation of molecular ferroelectrics [,]. Many small organic molecules are asymmetric and can retain their asymmetry upon crystallization. However, this does not necessarily mean that asymmetric molecules will consistently crystallize in an asymmetric or polar structure. A polar asymmetric molecule can interact with a neighboring molecule and form a supramolecular synthon that forms a crystal structure with an inversion center, which is undesirable for ferroelectrics []. For this reason, the understanding and prediction of intermolecular interactions is crucial for the design of supramolecular ferroelectrics []. However, the literature reports on the ferroelectric properties of homochiral molecules are not very extensive, and among the best studied are those of organic salts such as R-3-hydroxlyquinuclidinium halides [], three-dimensional metal-free perovskites of (3-ammonioquinuclidinium)NH4Br3 [], and bis (imidazolium)-L-tartrate []. Recently, a pair of homochiral organic simple-component ferroelectrics based on a heterocyclic derivative of spirooxazacamphorsultam was reported to exhibit well-defined ferroelectricity with spontaneous polarization of 2.2 μC cm−2 at a coercive field of ~50 kV cm−1 []. Homochiral organic molecules are also responsible for ferroelectricity in semi-crystalline solid materials with polar symmetry, i.e., liquid crystals. For example, the ferroelectric chiral cholesterol derivatives exhibit a spontaneous polarization switching of ~4 μC cm−2 at a coercive field of ~50 kV cm−1 []. There are far fewer reports of ferroelectric metal–organic complexes constructed from a chiral ligand. The presence of transition metal atoms can impart additional physical properties to the material, as in the case of the plastic hybrid compound R-3-hydroxyquinuclidium tetrachloroferatte, which exhibits both ferroelectricity and long-range magnetic ordering [], or N,N′-dimethyl-1,4-diazoniabicyclo [2.2.2]octonium tetrachlorocuprate, in which thermochromism is observed due to a change in coordination geometry around the metal center []. One strategy to prepare molecular ferroelectrics is to introduce the chiral solvent, i.e., R-1,2-propanediol or S-1,2-propanediol, into the crystal structure of the metal–organic complex, which successfully achieved ferroelectricity in the compound Cu(1,10-phenanthroline)2SeO4 []. In all the systems mentioned, the values of the coercive fields and the magnitude of the polarization are similar, indicating that the ferroelectric polarization occurs as a result of energetically similar processes, i.e., similar ferroelectric switching mechanisms.
In the search for suitable organic ligands for the construction of polar crystal structures, chiral alkaloids have proven to be excellent candidates, which is of crucial importance for ferroelectrics. The development of ligands based on 4-quinolones has made considerable progress, and to date more than 10,000 analogs have been prepared by various modifications of the quinoline ring system [], providing a platform of nearly 200 biologically active alkaloids for material design. Among the best known are those that can be isolated from the Cinchona plant, in particular quinine, which has been used for many years to treat malaria []. In addition to quinine, its quasi-enantiomer quinidine and its analogs without a methoxy group in the quinoline ring, cinchonidine and cinchonine, are also known []. In addition to quinoline fragments, these alkaloids have a polar quinuclidine fragment which is responsible for the ferroelectric properties of organic and organic–inorganic compounds [,]. Nevertheless, reports on the use of these alkaloids for molecular ferroelectrics are rather scarce, and only two organic–inorganic compounds have been reported to exhibit ferroelectricity, namely, the quinine–copper(II) complex (H2-quinine)2Cu5Cl9 [] and the quinine–copper(I) coordination polymer (H-quinine)2Cu8Cl10 [], which achieve a relatively low value of remanent polarization of about 0.1 μC cm−2 at a coercive field of 10 kV cm−1. These two examples show that quinine and related alkaloids can be used to tune the dimensionality of metal–organic systems. Polymeric species are formed when only one nitrogen is protonated, whereas isolated complexes are formed when both nitrogen atoms are protonated and the quinine molecule appears as a dication. Our motivation was to investigate whether other alkaloids from the Cinchona family are suitable for the preparation of molecular ferroelectrics.
In this work, we selected the cinchoninium cation [Cn, (C19H23N2O)+], also a member of the Cinchona alkaloids, to prepare the metal complexes with zinc(II) chloride and zinc(II) bromide. The properties of the prepared [CnZnCl3]·MeOH and [CnZnBr3]·MeOH complexes were investigated by FTIR-ATR spectroscopy, powder and single-crystal X-ray diffraction, thermal analysis and measurements of polarization as a function of applied voltage. The structure of the prepared cinchoninium–trihalogenozinc(II) complexes was compared with similar compounds in the literature, and it was investigated how intermolecular interactions in these systems influence the formation of polar (ferroelectric) structures.
2. Materials and Methods
2.1. Syntesis of [CnZnX3] MeOH, X = Cl, Br
Cinchoninium chloride dihydrate (85%), CnCl·2H2O, zinc(II) chloride (98%), ZnCl2, and zinc(II) bromide (99%), ZnBr2, were purchased from Sigma Aldrich. The compounds [CnZnCl3]·MeOH and [CnZnBr3]·MeOH were prepared using a solvent-layering technique. Methanolic solution (2 mL; 0.105 M) of cinchoninium chloride dihydrate was covered with acetonitrile solution (2 mL; 0.095 M) of zinc(II) halide. After a few days, rod-shaped crystals of the compound [CnZnX3]·MeOH (X = Cl, Br) formed in a closed test tube. The rod-shaped crystals were separated and briefly dried in air (70% yield).
2.2. Spectroscopic Measreumtns
Attenuated total reflectance Fourier transform infrared (ATR-FTIR) spectra were recorded in the 4000−400 cm−1 range using a PerkinElmer FT-IR Frontier spectrometer.
2.3. Thermal Analyis
Thermal analysis was performed with a Shimadzu DTG-60H analyser, in the range from 290 to 1000 K, in a stream of synthetic air at a heating rate of 10 K min−1.
2.4. Single-Crystal and Powder X-Ray Diffraction
The single-crystal X-ray diffraction data for compound [CnZnBr3]·MeOH were collected by ω-scans using Cu-Kα radiation (λ = 1.54179 Å, microfocus tube, mirror monochromator) on a Rigaku XtaLAB Synergy S diffractometer at 293 K. The crystal data, experimental conditions, and final refinement parameters are summarized in Table 1. Data reduction, including the multiscan absorption correction, was performed with the CrysAlisPRO software package (version 1.171.42.62a). The molecular and crystal structures were solved by direct methods using the program SIR2019 [] and refined by the full-matrix least-squares method based on F2 with anisotropic displacement parameters for all non-hydrogen atoms (SHELXL-2014/7) []. Both programs were operating under the WinGX program package []. The positions of the hydrogen atoms attached to the carbon and nitrogen of the cinchoninium cation were found in the electron density map, but were placed in idealized positions. The hydrogen atoms of the methanol molecule were also identified based on a difference Fourier map [O–H distances were restrained to a target value of 0.85 (2) Å]. Geometrical calculations were carried out with PLATON [] and the figures were generated using the CCDC-Mercury program [].

Table 1.
Crystallographic data and structural refinement details for the compound [CnZnBr3]·MeOH.
The Hirshfeld surfaces and 2D fingerprints of the Hirshfeld surface were calculated using the program Crystal Explorer []. The normalized contact distances dnorm were mapped onto the generated Hirshfeld surface, with red regions indicating close intermolecular contacts (negative dnorm), blue regions indicating longer contacts (positive dnorm), and white regions with intermolecular contacts corresponding to the van der Waals radii of the atoms in contact (dnorm = 0).
The powder X-ray diffraction data (PXRD) were collected in reflection mode with Cu-Kα radiation (λ = 1.54060 Å) on a Malvern Panalytical Empyrean diffractometer using a step size of 0.013° in the 2θ range between 5° and 50°. For temperature-modulated PXRD measurements, a high temperature camera was used.
2.5. Polarization Measurements
Ferroelectric tests based on the positive-up–negative-down method [,] at room temperature were measured at a frequency of 10 Hz and under a voltage of 450 V using a ferroelectric analyser TF1000 from AixACCT (Aachen, Germany).
3. Results and Discussion
3.1. Synthesis and Spectroscopic Characterization
In the study carried out, the compound [CnZnCl3]·MeOH was prepared in the form of single crystals through a modified literature method by layering a methanol solution of cinchoninium chloride with an acetonitrile solution of zinc(II) chloride. This method allows the preparation of high-quality single crystals in very high yield. The choice of solvent for dissolving the starting compounds played a decisive role in crystallization as well as in the chemical composition and crystal structure of the products obtained. According to the PXRD analysis, the prepared cinchoninium–trichlorozinc(II) compound corresponds to the structure deposited in the Cambridge Structural Database (CSD) under the reference code JORQIQ (Supplementary Figure S3) []. By replacing zinc(II) chloride with zinc(II) bromide in the reaction with cinchoninium chloride (CnCl), a new mononuclear coordination complex of the formula [CnZnBr3]·MeOH was obtained. The compound crystallized as a solvate with a methanol molecule in the crystal structure and was isostructural with the compound [CnZnCl3]·MeOH [].
The spectrum of cinchoninium chloride dihydrate and the complex compounds [CnZnX3]·MeOH (X = Cl, Br) shows bands at similar wavenumbers (Supplementary Figures S1 and S2). The band at 3490 cm−1 is related to the stretching vibration of the O–H bond of the hydroxyl group of cinchonine and methanol [ν(O–H)], while the band at 3134 cm−1 corresponds to the stretching of the N–H bond of the protonated quinuclidine nitrogen [ν(N–H)] []. The most intense band in the spectrum appears at 778 cm−1 and is related to the deformation of the quinolone group [].
3.2. Thermal Stability
The thermal stability of the compound [CnZnCl3]·MeOH was investigated by TG/DTA analysis (Supplementary Figure S4). In the first stage of decomposition, which starts at 323 K and ends at 387 K, the methanol molecule leaves the crystal structure (mass loss for CH3OH: wcalc = 6.41%; wexp = 6.43%). The next step, which corresponds to the cleavage of the ethylene group on the quinuclidine fragment of the cinchonine, begins at 550 K and ends at 600 K (mass loss for C2H4: wcalc = 5.61%; wexp = 4.77%). Further heating leads to the complete decomposition of the organic part of the molecule, and apparently the inorganic part also decomposes with the formation of volatile products, so that no residue remains after heat treatment at 1000 K. Compared to traditional ferroelectrics such as Pb(Zr,Ti)O3 and LiNbO3, which are stable at high temperatures above 650 K [], the thermal stability of [CnZnCl3]·MeOH up to 323 K limits its potential applicability. So far, the highest Curie temperature of ~521 K has been reported for a purely organic ferroelectric crystal based on a phenanthroimidazole derivative [].
In addition, temperature-modulated PXRD experiments were performed to reveal the structural changes that the original structure of [CnZnBr3]·MeOH undergoes when heated from room temperature to 463 K (Figure 1). Even at a slight heating to 323 K, the PXRD pattern changes, and in addition to the peaks corresponding to the [CnZnBr3]·MeOH phase, additional peaks belonging to a new phase are detected. The correlation of these observations with the TG/DTA experiment on the isostructural compound [CnZnCl3]·MeOH suggests that the structural transformation is related to the removal of the solvent molecule (methanol) from the crystal structure. According to PXRD, the solvent-free form is stable up to 463 K.

Figure 1.
Temperature-modulated PXRD experiments on the initial sample [CnZnBr3]·MeOH (black line) measured at 293 K. The diffractogram simulated from the single-crystal XRD data is given for comparison (gray line).
3.3. Crystal Structures of [CnZnX3]·MeOH, X = Cl, Br
At room temperature, the compounds [CnZnX3]·MeOH, where X = Cl, Br, crystallized in the monoclinic space group P21. The coordination of the Zn(II) center is a tetrahedron with a nitrogen atom from the quinolone fragment and three halide ligands (Figure 2). In the [CnZnBr3]·MeOH complex, the Zn–N bond length is 2.096(8) Å, which is typical for complexes with a similar coordination polyhedron according to the CSD [] (values found in the CSD: average 2.063 Å, range 2.010–2.114 Å). The Zn–Br bond lengths are also uniform and lie in the range of 2.318–2.365 Å. Similar values were found in other tetrahedral zinc(II) complexes with nitrogen and bromine atoms in the coordination sphere (average 2.371 Å, range 2.309–2.410 Å). Details of the coordination geometry around zinc are given in Supplementary Tables S1 and S2. Calculation of the continuous symmetry measures (CSM) using the CoSyM calculator [] shows that the deviation of the geometry from the ideal tetrahedron is 0.40 in the [CnZnBr3]·MeOH complex and only slightly smaller, about 0.34, in [CnZnCl3]·MeOH, indicating that both compounds exhibit some degree of distortion from the ideal tetrahedral geometry.

Figure 2.
Asymmetric unit in [CnZnBr3]·MeOH with the atom numbering scheme. Displacement ellipsoids are drawn for a probability of 50% and hydrogen atoms are shown as spheres of arbitrary radii.
The intermolecular interactions were analyzed by generating Hirshfeld surfaces with normalized contact distance (dnorm) and two-dimensional (di vs. de) fingerprint plots for the compounds [CnZnBr3]·MeOH and [CnZnCl3]·MeOH. The calculation of the Hirshfeld surface without solvent clearly shows a short interaction between the methanol molecule and the halogen atom of the [CnZnX3] complex (Figure 3a,d). The red regions on the Hirshfeld surface of [CnZnBr3]·MeOH were significantly smaller than those of [CnZnCl3]·MeOH (Figure 3b,e). These red regions represent areas with high electron density and strong interactions, which is consistent with the fingerprint plot analysis. The interaction between the H atoms in the organic component and the halide atoms in the inorganic component was calculated and analyzed from these fingerprint plots (Figure 3c,f). It was found that the H⋯Br interactions in [CnZnBr3]·MeOH accounted for 36.5%, slightly more than the 34.7% for H⋯Cl interactions in [CnZnCl3]·MeOH. The contributions of other contact types were similar in both compounds, with the exception of H⋯H interactions, which were associated with 42.8% and 45.8% of the surface area of [CnZnBr3]·MeOH and [CnZnCl3]·MeOH compounds, respectively.

Figure 3.
Hirshfeld surface mapped with normalized contact distance of (a) complex [CnZnBr3], (b) [CnZnBr3]·MeOH; (d) complex [CnZnCl3]; (e) [CnZnBr3]·MeOH. Fingerprint plots for all contacts in (c) [CnZnBr3]·MeOH; (f) [CnZnCl3]·MeOH.
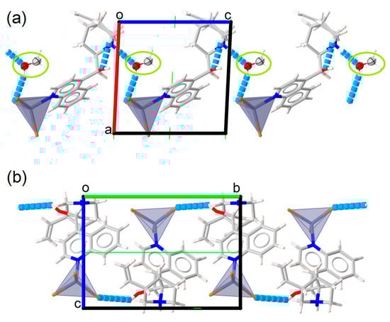
The crystal packing of [CnZnBr3]·MeOH is determined by hydrogen bonds between the halide atoms and the hydrogen atoms of the hydroxyl group and the protonated quinuclidine group of the cinchoninium. The methanol molecule mediates the hydrogen bonds between two [CnZnBr3] complexes, and this type of interaction forms a cooperative hydrogen bonding chain along the c-axis (Figure 4a). Besides participating as a proton donor and acceptor in the cooperative hydrogen bond, methanol serves as an additional proton donor for the C–H···Br contact propagating along the a-axis. Along the polar b-axis, there is a hydrogen bonding chain between the two [CnZnBr3] complexes (Figure 4b), which results from a hydroxyl-O–H···Br contact. In addition to these contacts, the two C–H···π interactions also stabilize the crystal packing along the polar axis. Details of these interactions can be found in Supplementary Tables S3 and S4. The intermolecular potentials calculated in Mercury using the UNI force field calculation [,] are in good agreement with the Hirshfeld surface analysis [], which predicts stronger contacts for the [CnZnCl3]·MeOH compound. Each [CnZnCl3] complex forms two contacts of −40.5 kJ mol−1 and −33.9 kJ mol−1 with two neighboring [CnZnCl3] complexes and one contact of −29.1 kJ mol−1 with the methanol molecule. In the [CnZnBr3]·MeOH compound, the mentioned contacts reached energy levels of −38.2 kJ mol−1, −32.2 kJ mol−1 and −28.4 kJ mol−1, respectively.

Figure 4.
Hydrogen bonding in [CnZnBr3]·MeOH: (a) cooperative hydrogen bond chain between methanol and [CnZnBr3]; (b) hydrogen bonding along the direction of the polar axis. Hydrogen contacts are shown as blue dashes; the coordination sphere around zinc is shown as a gray tetrahedron. The green line represents the two-fold screw axis.
3.4. Ferroelectric Properties
The measurements of the dependence of the polarization on the voltage at room temperature (298 K) confirmed the ferroelectric polarization in the compound [CnZnCl3]·MeOH. A typical hysteresis loop describing the polarization as a function of the applied voltage is shown in Figure 5 together with the voltage-dependent maxima of the electric current, confirming the macroscopic ferroelectric response due to intrinsic spontaneous polarization. Since the measurements were performed on thin pressed pellets of the compound, the saturation value of the spontaneous polarization under the above conditions is very low and is about 2 nC cm−2. The coercive field for this compound is about 50 kV cm−1.

Figure 5.
Polarization–voltage loop measured on a [CnZnCl3]·MeOH 50 μm thick pellet sample.
4. Discussion
The results presented in this work include the preparation and characterization of metal–organic compounds based on natural alkaloids from the Cinchona group, a cinchoninium cation, and halogenometalates, trichlorozinc(II), and tribromozinc(II). Two compounds were prepared: the cinchoninium–trichlorozinc(II)–methanol complex, which has already been reported in the literature [], and a new compound, cinchoninum–tribromozinc(II)–methanol. The compounds produced are neutral mononuclear units whose molecular structures are essentially the same. The zinc atom is in a tetrahedral geometry in which one coordination site is occupied by the quinolone nitrogen atom and the other three coordination sites are occupied by halogen anions (Cl– or Br–). The N–H groups of the protonated quinuclidine fragment and the O–H hydroxyl groups are donors of hydrogen bonds to the halogen anions of the zinc(II) tetrahedron. The compounds [CnZnBr3]·MeOH and [CnZnCl3]·MeOH (Ref. code in CSD JORQIQ) [] are isostructural and crystallize in the polar space group P21. In addition to these compounds, there are five other structures in the CSD that contain a combination of protonated cinchoninium molecule and halogenometalate []. Three of them contain a doubly protonated cinchoninium cation and a tetrachlorometalate anion (M = Cd, Cu) [,,]. These structures crystallize in the non-polar space group P212121 (ref. codes in CSD CINCDC [], FACFEU [], and WATFUT []). Trichlorocobalt(II) complexes with a cinchoninium cation are also deposited in the CSD, namely as a non-solvent complex (ref. code in CSD WUXQIP []) and as an ethanol–solvent compound (ref. code in CDS WUXQOV []), both crystallizing in the polar monoclinic space group P21.
In orthorhombic structures with higher symmetry (CINCDC [], FACFEU [], WATFUT []), aromatic stacking interactions have a stabilizing and directing effect on the crystal packing in addition to hydrogen bonds (see Figure 6a,b). In polar crystal structures (JORQIQ [], WUXQIP [], [CnZnBr3]·MeOH), these types of interactions are absent (Figure 6c). Another observation is that in non-polar structures, cinchoninium molecules appear as doubly protonated and isolated cations, whereas in all polar structures with cinchoninium, the quinolone nitrogen is coordinated to the metal center and the organic fragment is part of the complex. The cinchoninium molecules probably have more freedom of movement in the structures in which they occur as isolated cations, and their packing is determined by stacking interactions. In the structures where cinchoninium is part of the metal complex, the molecule is more rigid and other types of interactions, especially hydrogen bonds, are more pronounced. If the influence of the inorganic moiety is taken into account, structures with trihalogenometalate contribute more to the overall dipole moment of the complex, while the tetrahalogenometalate anions are non-polar in ideal tetrahedron geometry.

Figure 6.
Interactions between cinchoninium molecules related by two-fold screw axes in the structures of (a) cinchoninium tetrachlorocadmium(II) dihydrate (CINCDC) []; (b) bis(cinchoninium) tetrachlorocadmium(II) tetrachlorocopper(II) (WAFFUT) []; and (c) cinchoninium tribromozinc(II) methanol.
Temperature-modulated experiments corroborating the TG/DTA analysis indicate that the loss of the methanol molecule from the crystal structure causes a structural transformation in the solvent-free structure, which is stable up to 460 K. The structure of this solvent-free phase could be related to that of the cinchoninium–trichlorocobalt(II) complex (ref. code WUXQIP []) which crystalizes in a monoclinic P21 structure with the following unit cell parameters: a = 8.414(1) Å, b = 12.768(2) Å, c = 10.058(2) Å, β = 97.41(2)°, V = 1071.51 Å3. The intermolecular potentials of the cinchoninium–trichlorocobalt(II) complex calculated in Mercury using the UNI force field calculation [,] show two strong interactions with an energy of −41.2 kJ mol−1 and two with −33.6 kJ mol−1, of similar value to those found in the structures of [CnZnCl3]·MeOH and [CnZnBr3]·MeOH. The next strongest interaction with 13.8 kJ mol−1 is only half as large as the corresponding contacts in [CnZnCl3]·MeOH and [CnZnBr3]·MeOH. These intermolecular potential values indicate that the methanol molecule significantly influences the stability of the crystal packing through intermolecular interactions in the [CnZnCl3]·MeOH and [CnZnBr3]·MeOH complexes.
In supramolecular compounds, the crystal symmetry and thus the physical properties are largely influenced by intermolecular interactions. For example, the choice of solvents with different polarities can trigger specific structural rearrangements. This was observed for the mononuclear iron(III) complex [Fe(sap)(acac)(solvent)] (H2sap = 2-salicylideneaminophenol; acac = acethylacetate; solvent = MeOH, pyridine, DMSO), where the presence of the highly polar DMSO molecule triggered crystallization into the polar crystal structure and ferroelectric properties, while the solvates of pyridine and methanol were non-polar []. The compound [CnZnCl3]·MeOH also crystallizes in the polar space group, and a relatively small but detectable ferroelectric polarization value was measured based on ferroelectric positive-up–negative-down tests performed on the pressed bulk sample. A possible explanation for the observed ferroelectricity could be related to the presence of permanent dipoles originating from the solvent molecule (methanol) or the quinuclidine part of the [CnZnCl3] complex, both of which have some freedom of movement in the solid state [].
Given the low value of remanent polarization, there are several issues that can lead to its underestimation. First, it is not possible to apply the electric field exactly along the polar axis because the measurement was performed on a pressed pellet in which different crystal and domain orientations were present. Secondly, such bulk samples are always accompanied by various defects and depolarization fields. To improve polarization, sample preparation needs to be optimized to obtain a more suitable morphology for ferroelectric testing, e.g., by growing defect-free single crystals or producing thin films for better control of the electric field along the polar axis. Another problem is the search for compatible electrical contacts on the surfaces of crystals or thin films. While conductive pastes allow the deposition of contacts under ambient conditions, they can be destructive to soft metal–organic materials due to the presence of organic solvents. On the other hand, sputtering or thermal evaporation of metal on crystals is difficult to apply, and the associated heating of the surface can also cause undesirable processes such as the destruction of samples or short circuits.
Overall, the advantage of metal–organic compounds over conventional ferroelectrics is that they definitely offer more possibilities to tune the structural properties and can be prepared by simple synthesis protocols at low temperatures. However, it is very difficult to maintain ferroelectric polarization in these materials. Therefore, additional efforts need to be invested in the fabrication of functional devices based on such soft molecular materials.
5. Conclusions
In summary, we describe the preparation of Cinchona-based materials in the form of single crystals by a solvent-layering technique. This investigation has shown that the structural changes in the prepared [CnZnCl3]·MeOH and [CnZnBr3]·MeOH complexes already start at moderately low temperatures (323 K), but the metal–organic material is crystalline and stable up to 463 K. The room temperature phase of these isostructural compounds belongs to the ferroelectric polar space group P21. Macroscopic ferroelectricity, based on polarization–voltage measurements at room temperature, was indeed detected in the [CnZnCl3]·MeOH complex, confirming that the natural alkaloids of the Cinchona family are suitable candidates for the design of molecular ferroelectrics. The study of intermolecular interactions in a small group of structures with cinchoninium cations and halogenometallates deposited in CSD shows that the formation of polar structures occurs with monoprotonated cinchoninium cations coordinating the metal center, in contrast to structures with double protonated cinchoninium cations. Furthermore, a detailed insight into the crystal structures of these compounds and calculations of the intermolecular potentials revealed the significant influence of solvent molecules (methanol) in the supramolecular arrangement, mediated by hydrogen bonding.
Supplementary Materials
The following supporting information can be downloaded at: https://www.mdpi.com/article/10.3390/cryst14110978/s1, Figures S1 and S2: IR spectra; Figure S3: PXRD; Figure S4: TG/DTA; Figure S5: Hirshfeld surface analysis; Tables S1 and S2: selected bond lengths and angles; Table S3 and S4: intra- and intermolecular interaction analysis.
Author Contributions
Conceptualization, L.A.D.; methodology, M.O.; formal analysis, M.O.; investigation, M.O.; resources, L.A.D.; data curation, M.O.; writing—original draft preparation, L.A.D.; supervision, L.A.D.; funding acquisition, L.A.D. All authors have read and agreed to the published version of the manuscript.
Funding
This research was funded by the Croatian Science Foundation, grant number UIP-2019-04-7433.
Data Availability Statement
The deposition number CCDC 2389956 contains the supplementary crystallographic data for this article, including structure factors. Other data are available upon reasonable request.
Conflicts of Interest
The authors declare no conflicts of interest.
References
- Nuraje, N.; Su, K. Perovskite ferroelectric nanomaterials. Nanoscale 2013, 5, 8752–8780. [Google Scholar] [CrossRef] [PubMed]
- Lallart, M. Ferroelectrics—Applications; IntechOpen: Rijeka, Croatia, 2011. [Google Scholar]
- Tayi, A.S.; Kaeser, A.; Matsumoto, M.; Aida, T.; Stupp, S.I. Supramolecular ferroelectrics. Nat. Chem. 2015, 7, 281–294. [Google Scholar] [CrossRef] [PubMed]
- Liu, J.-C.; Liao, W.-Q.; Li, P.-F.; Tang, Y.-Y.; Chen, X.-G.; Song, X.-J.; Zhang, H.-Y.; Zhang, Y.; You, Y.-M.; Xiong, R.-G. A Molecular Thermochromic Ferroelectric. Angew. Chem. Int. Ed. 2020, 59, 3495–3499. [Google Scholar] [CrossRef] [PubMed]
- González-Izquierdo, P.; Fabelo, O.; Cañadillas-Delgado, L.; Beobide, G.; Vallcorba, O.; Salgado-Beceiro, J.; Sánchez-Andújar, M.; Martin, C.; Ruiz-Fuentes, J.; García, J.E.; et al. ((R)-(−)-3-Hydroxyquinuclidium)[FeCl4]; a plastic hybrid compound with chirality, ferroelectricity and long range magnetic ordering. J. Mater. Chem. C 2021, 9, 4453–4465. [Google Scholar] [CrossRef]
- Li, J.-Y.; Xu, Q.-L.; Ye, S.-Y.; Tong, L.; Chena, X.; Chen, L.-Z. A multiaxial molecular ferroelectric with record high TC designed by intermolecular interaction modulation. Chem. Commun. 2021, 57, 943–946. [Google Scholar] [CrossRef]
- Xu, L.; Zhang, Y.; Jiang, H.-H.; Zhang, N.; Xiong, R.-G.; Zhang, H.-Y. Solvent Selective Effect Occurs in Iodinated Adamantanone Ferroelectrics. Adv. Sci. 2022, 9, 2201702. [Google Scholar] [CrossRef]
- Harada, J.; Shimojo, T.; Oyamaguchi, H.; Hasegawa, H.; Takahashi, Y.; Satomi, K.; Suzuki, Y.; Kawamata, J.; Inabe, T. Directionally tunable and mechanically deformable ferroelectric crystals from rotating polar globular ionic molecules. Nat. Chem. 2016, 8, 946–952. [Google Scholar] [CrossRef]
- Puškarić, A.; Dunatov, M.; Jerić, I.; Sabljić, I.; Androš Dubraja, L. Room temperature ferroelectric copper(ii) coordination polymers based on amino acid hydrazide ligands. New J. Chem. 2022, 46, 3504–3511. [Google Scholar] [CrossRef]
- Dunatov, M.; Puškarić, A.; Androš Dubraja, L. Multi-Stimuli Responsive (L-tartrato)oxovanadium(V) Complex Salt with Ferroelectric Switching and Thermistor Properties. J. Mater. Chem. C 2023, 11, 2880–2888. [Google Scholar] [CrossRef]
- Centore, R.; Fusco, S.; Capone, F.; Causa, M. Competition between Polar and Centrosymmetric Packings in Molecular Crystals: Analysis of Actual and Virtual Structures. Cryst. Growth Des. 2016, 16, 2260–2265. [Google Scholar] [CrossRef]
- Li, P.-F.; Tang, Y.-Y.; Wang, Z.-X.; Ye, H.-Y.; You, Y.-M.; Xiong, R.-G. Anomalously rotary polarization discovered in homochiral organic ferroelectrics. Nat. Commun. 2016, 7, 13635. [Google Scholar] [CrossRef] [PubMed]
- Ye, H.-Y.; Tang, Y.-Y.; Li, P.-F.; Liao, W.-Q.; Gao, J.-X.; Hua, X.-N.; Cai, H.; Shi, P.-P.; You, Y.-M.; Xiong, R.-G. Metal-free three-dimensional perovskite ferroelectrics. Science 2018, 361, 151–155. [Google Scholar] [CrossRef] [PubMed]
- Sun, Z.; Chen, T.; Luo, J.; Hong, M. Bis(imidazolium) L-Tartrate: A Hydrogen-Bonded Displacive-Type Molecular Ferroelectric Material. Angew. Chem. Int. Ed. 2012, 51, 3871–3876. [Google Scholar] [CrossRef]
- Song, X.-J.; Tang, S.-Y.; Chen, X.-G.; Ai, Y. Chemical design of homochiral heterocyclic organic ferroelectric crystals. Chem. Commun. 2022, 58, 10361. [Google Scholar] [CrossRef]
- Song, X.-J.; Chen, X.-G.; Liu, J.-C.; Liu, Q.; Zeng, Y.-P.; Tang, Y.-Y.; Li, P.-F.; Xiong, R.-G.; Liao, W.-Q. Biferroelectricity of a homochiral organic molecule in both solid crystal and liquid crystal phases. Nat. Commun. 2022, 13, 6150. [Google Scholar] [CrossRef]
- Liu, Y.-L.; Ge, J.-Z.; Wang, Z.-X.; Xiong, R.-G. Metal–organic ferroelectric complexes: Enantiomer directional induction achieved above-room-temperature homochiral molecular ferroelectrics. Inorg. Chem. Front. 2020, 7, 128–133. [Google Scholar] [CrossRef]
- Banerjee, S.; Prasad, P.; Hussain, A.; Khan, I.; Kondaiah, P.; Chakravarty, A.R. Remarkable photocytotoxicity of curcumin in HeLa cells in visible light and arresting its degradation on oxovanadium(iv) complex formation. Chem. Commun. 2012, 48, 7702–7704. [Google Scholar] [CrossRef]
- Castillo-Blum, S.E.; Barba-Behrens, N. Coordination chemistry of some biologically active ligands. Coord. Chem. Rev. 2000, 196, 3–30. [Google Scholar] [CrossRef]
- Hoffmann, H.M.R.; Frackenpohl, J. Recent Advances in Cinchona Alkaloid Chemistry. Eur. J. Org. Chem. 2004, 2004, 4293–4312. [Google Scholar] [CrossRef]
- Zhao, H.; Qu, Z.-R.; Ye, Q.; Abrahams, B.F.; Wang, Y.-P.; Liu, Z.-G.; Xue, Z.; Xiong, R.-G.; You, X.-Z. Ferroelectric Copper Quinine Complexes. Chem. Mater. 2003, 15, 4166–4168. [Google Scholar] [CrossRef]
- Qu, Z.-R.; Chen, Z.-F.; Zhang, J.; Xiong, R.-G.; Abrahams, B.F.; Xue, Z.-L. The First Highly Stable Homochiral Olefin−Copper(I) 2D Coordination Polymer Grid Based on Quinine as a Building Block. Organometallics 2003, 22, 2814–2816. [Google Scholar] [CrossRef]
- Burla, M.C.; Caliandro, R.; Carrozzini, B.; Cascarano, G.L.; Cuocci, C.; Giacovazzo, C.; Mallamo, M.; Mazzone, A.; Polidori, G. Crystal Structure Determination and Refinement via SIR2014. J. Appl. Crystallogr. 2015, 48, 306–309. [Google Scholar] [CrossRef]
- Sheldrick, G.M. Crystal Structure Refinement with SHELXL. Acta Crystallogr. Sect. C Struct. Chem. 2015, C71, 3–8. [Google Scholar] [CrossRef] [PubMed]
- Farrugia, L.J. WinGX and ORTEP for Windows: An Update. J. Appl. Crystallogr. 2012, 45, 849–854. [Google Scholar] [CrossRef]
- Spek, A.L. Structure Validation in Chemical Crystallography. Acta Crystallogr. Sect. D Biol. Crystallogr. 2009, D65, 148–155. [Google Scholar] [CrossRef]
- Macrae, F.; Edgington, P.R.; McCabe, P.; Pidcock, E.; Shields, G.P.; Taylor, R.; Towler, M.; van de Streek, J. Mercury: Visualization and Analysis of Crystal Structures. J. Appl. Crystallogr. 2006, 39, 453–457. [Google Scholar] [CrossRef]
- Spackman, P.R.; Turner, M.J.; McKinnon, J.J.; Wolff, S.K.; Grimwood, D.J.; Jayatilaka, D.; Spackman, M.A. CrystalExplorer: A program for Hirshfeld surface analysis, visualization and qu antitative analysis of molecular crystals. J. Appl. Cryst. 2021, 54, 1006–1011. [Google Scholar] [CrossRef]
- Sawaguchi, E. Ferroelectricity versus Antiferroelectricity in the Solid Solutions of PbZrO3 and PbTiO3. J. Phys. Soc. Jpn. 1953, 8, 615–629. [Google Scholar] [CrossRef]
- Suzuki, E.; Shiozaki, Y. Ferroelectric displacement of atoms in Rochelle salt. Phys. Rev. B Condens. Matter Mater. Phys. 1996, 53, 5217. [Google Scholar] [CrossRef]
- Groom, C.R.; Bruno, I.J.; Lightfoot, M.P.; Ward, S.C. The Cambridge Structural Database. Acta Cryst. B 2016, 72, 171–179. [Google Scholar] [CrossRef]
- Hubel, R.; Polborn, K.; Beck, W. Cinchona Alkaloids as Versatile Ambivalent Ligands—Coordination of Transition Metals to the Four Potential Donor Sites of Quinine. Eur. J. Inorg. Chem. 1999, 1999, 471–482. [Google Scholar] [CrossRef]
- Dunatov, M.; Puškarić, A.; Pavić, L.; Štefanić, Z.; Androš Dubraja, L. Electrically Responsive Structural Transformations Triggered by Vapour and Temperature in a Series of Pleochroic Bis(oxalato)chromium(iii) Complex Salts. J. Mater. Chem. C 2022, 10, 8024–8033. [Google Scholar] [CrossRef]
- Özel, A.E.; Büyükmurat, Y.; Akyüz, S. Molecular structure and vibrational assignment of 2-,4-,6-methylquinoline by density functional theory (DFT) and ab initio Hartree-Fock (HF) calculations. Vib. Spectrsc. 2006, 42, 325–332. [Google Scholar] [CrossRef]
- Mikolajick, T.; Slesazeck, S.; Mulaosmanovic, H.; Park, M.H.; Fichtner, S.; Lomenzo, P.D.; Hoffmann, M.; Schroeder, U. Next generation ferroelectric materials for semiconductor process integration and their applications. J. Appl. Phys. 2021, 129, 100901. [Google Scholar] [CrossRef]
- Dutta, S.; Vikas; Yadav, A.; Boomishankar, R.; Bala, A.; Kumar, V.; Chakraborty, T.; Elizabeth, S.; Munshi, P. Record-high thermal stability achieved in a novel single-component all-organic ferroelectric crystal exhibiting polymorphism. Chem. Commun. 2019, 55, 9610–9613. [Google Scholar] [CrossRef]
- Pinsky, M.; Avnir, D. Continuous symmetry measures. 5. The classical polyhedra. Inorg. Chem. 1998, 37, 5575–5582. [Google Scholar] [CrossRef]
- Gavezzotti, A. Are Crystal Structures Predictable? Acc. Chem. Res. 1994, 27, 309–314. [Google Scholar] [CrossRef]
- Gavezzotti, A.; Filippini, G. Geometry of the Intermolecular X-H.cntdot..cntdot..cntdot.Y (X, Y = N, O) Hydrogen Bond and the Calibration of Empirical Hydrogen-Bond Potentials. J. Phys. Chem. 1994, 98, 4831–4837. [Google Scholar] [CrossRef]
- Oleksyn, B.J.; Stadnicka, K.M.; Hodorowicz, S.A. The crystal structure and absolute configuration of cinchoninium tetrachlorocadmate(II) dihydrate. Acta Crystallogr. Sect. B Struct. Crystallogr. Cryst. Chem. 1978, 34, 811–816. [Google Scholar] [CrossRef]
- Weselucha-Birczynska, A.; Oleksyn, B.J.; Hoffmann, S.K.; Sliwinski, J.; Borzecka-Prokop, B.; Goslar, J.; Hilczer, W. Flexibility of CuCl4-tetrahedra in Bis[Cinchoninium Tetrachlorocuprate(II)]trihydrate Single Crystals. X-ray Diffraction and EPR Studies. Inorg. Chem. 2001, 40, 4526–4533. [Google Scholar] [CrossRef]
- Weselucha-Birczynska, A.; Oleksyn, B.J.; Sliwinski, J.; Goslar, J.; Hilczer, W.; Hoffmann, S.K. Crystal structure and EPR studies of (cinchonineH2)2(CdCl4)(Cd/CuCl4) crystals with thermochromic and Jahn–Teller effect. J. Mol. Struct. 2005, 751, 109–120. [Google Scholar] [CrossRef]
- Skorska, A.; Oleksyn, B.J.; Sliwinski, J. Cobalt Complex of Cinchonine: Intermolecular Interactions in Two Crystalline Modifications. Enantiomer 2002, 7, 295–303. [Google Scholar] [CrossRef] [PubMed]
- Kobayashi, F.; Akiyoshi, R.; Kosumi, D.; Nakamura, M.; Lindoy, L.F.; Hayami, S. Solvent vapor-induced polarity and ferroelectricity switching. Chem. Commun. 2020, 56, 10509–10512. [Google Scholar] [CrossRef] [PubMed]
Disclaimer/Publisher’s Note: The statements, opinions and data contained in all publications are solely those of the individual author(s) and contributor(s) and not of MDPI and/or the editor(s). MDPI and/or the editor(s) disclaim responsibility for any injury to people or property resulting from any ideas, methods, instructions or products referred to in the content. |
© 2024 by the authors. Licensee MDPI, Basel, Switzerland. This article is an open access article distributed under the terms and conditions of the Creative Commons Attribution (CC BY) license (https://creativecommons.org/licenses/by/4.0/).