Investigation of the Electronic Properties of Silicon Carbide Films with Varied Si/C Ratios Annealed at Different Temperatures
Abstract
:1. Introduction
2. Experiment
3. Results and Discussion
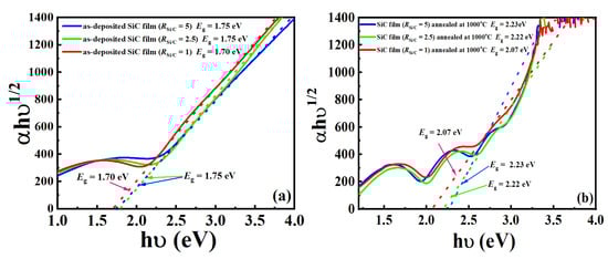
3.1. Microstructure Characterization
3.2. Room-Temperature Dark Conductivity
3.3. Room-Temperature Hall Mobility
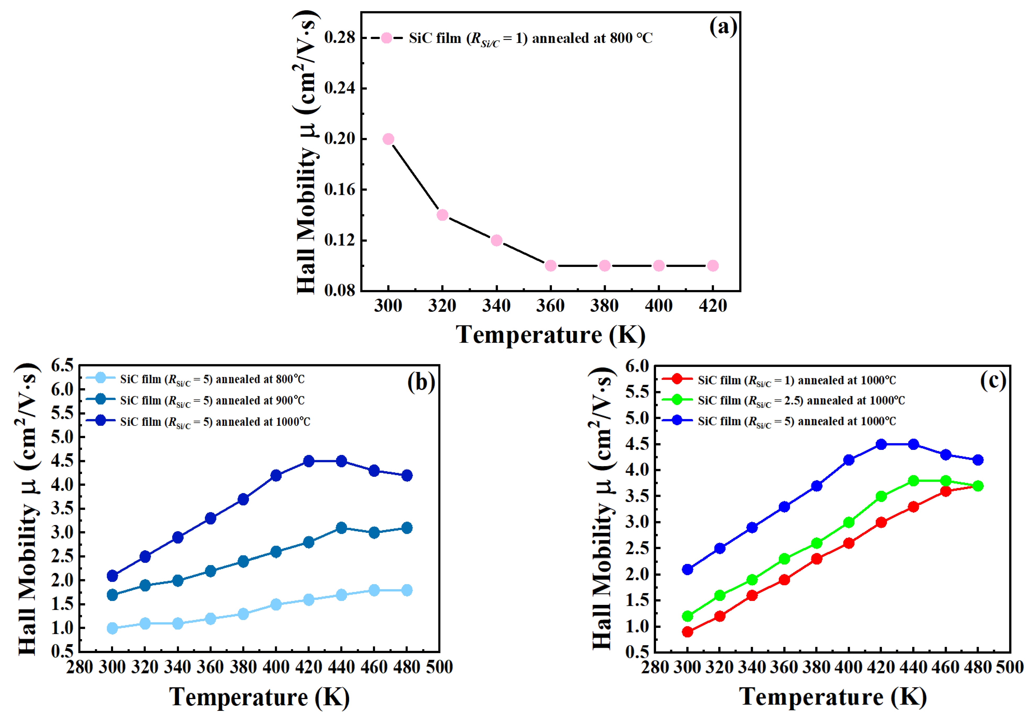
3.4. Temperature-Dependent Hall Mobility
4. Conclusions
Author Contributions
Funding
Data Availability Statement
Conflicts of Interest
References
- Eberst, A.; Lambertz, A.; Duan, W.; Smirnov, V.; Rau, U.; Ding, K. Material Properties of Nanocrystalline Silicon Carbide for Transparent Passivating Contact Solar Cells. Solar RRL 2023, 7, 2300013. [Google Scholar] [CrossRef]
- Zheng, J.; Yang, Z.; Lu, L.; Feng, M.; Zhi, Y.; Lin, Y.; Liao, M.; Zeng, Y.; Yan, B.; Ye, J. Blistering-free polycrystalline silicon carbide films for double-sided passivating contact solar cells. Sol. Energy Mater. Sol. Cells 2022, 238, 111586. [Google Scholar] [CrossRef]
- Sun, W.; Li, X.; Zou, J.; Guo, H. N-TiO2-Coated SiC Foam for the Treatment of Dyeing Wastewater under Blue Light LED Irradiation. Coatings 2022, 12, 585. [Google Scholar] [CrossRef]
- Shin, J.W.; Kim, S.H.; Cho, W.J. Investigation on resistive switching characteristics of SiC and HfOx stacked nonvolatile memory by microwave irradiation. Semicond Sci. Technol. 2019, 34, 095006. [Google Scholar] [CrossRef]
- Rashid, S.; Bashir, F.; Khanday, F.A.; Beigh, M. Double Gate 6H-Silicon Carbide Schottky Barrier FET as Dielectrically Modulated Label Free Biosensor. Silicon 2023, 15, 3387–3398. [Google Scholar] [CrossRef]
- Meteab, M.H.; Hashim, A.; Rabee, B.H. Controlling the structural and dielectric characteristics of PS-PC/Co2O3-SiC hybrid nanocomposites for nanoelectronics applications. Silicon 2023, 15, 251–261. [Google Scholar] [CrossRef]
- Cho, E.-C.; Green, M.A.; Conibeer, G.; Song, D.; Cho, Y.-H.; Scardera, G.; Huang, S.; Park, S.; Hao, X.J.; Huang, Y.; et al. Silicon quantum dots in a dielectric matrix for all-silicon tandem solar cells. Adv. Optoelectron. 2007, 2007, 69578. [Google Scholar] [CrossRef]
- Derst, G.; Wilbertz, C.; Bhatia, K.L.; Krätschmer, W.; Kalbitzer, S. Optical properties of SiC for crystalline/amorphous pattern fabrication. Appl. Phys. Lett. 1989, 54, 1722–1724. [Google Scholar] [CrossRef]
- Pandey, R.; Chaujar, R. Numerical simulations: Toward the design of 27.6% efficient four-terminal semi-transparent perovskite/SiC passivated rear contact silicon tandem solar cell. Superlattice Microst. 2016, 100, 656–666. [Google Scholar] [CrossRef]
- Cao, Y.; Zhu, P.; Li, D.; Zeng, X.; Shan, D. Size-dependent and enhanced photovoltaic performance of solar cells based on Si quantum dots. Energies 2020, 13, 4845. [Google Scholar] [CrossRef]
- Köhler, M.; Pomaska, M.; Procel, P.; Santbergen, R.; Zamchiy, A.; Macco, B.; Ding, K. A silicon carbide-based highly transparent passivating contact for crystalline silicon solar cells approaching efficiencies of 24%. Nat. Energy 2021, 6, 529–537. [Google Scholar] [CrossRef]
- Liu, X.; Shan, D.; Ji, Y.; Li, D.; Li, W.; Xu, J.; Chen, K. Improved device performance of Si-based heterojunction solar cells by using phosphorus doped Si nanocrystals embedded in SiC host matrix. AIP Adv. 2019, 9, 025213. [Google Scholar] [CrossRef]
- Perani, M.; Brinkmann, N.; Hammud, A.; Cavalcoli, D.; Terheiden, B. Nanocrystal formation in silicon oxy-nitride films for photovoltaic applications: Optical and electrical properties. J. Phys. Chem. C 2015, 119, 13907–13914. [Google Scholar] [CrossRef]
- Song, C.; Rui, Y.; Wang, Q.; Xu, J.; Li, W.; Chen, K.; Zuo, Y.; Wang, Q. Structural and electronic properties of Si nanocrystals embedded in amorphous SiC matrix. J. Alloys Compd. 2011, 509, 3963–3966. [Google Scholar] [CrossRef]
- Cantine, M.D.; Setera, J.B.; Vantongeren, J.A.; Mwinde, C.; Bergmannet, K.D. Grain size and transport biases in an Ediacaran detrital zircon record. J. Sediment. Res. 2021, 91, 913–928. [Google Scholar] [CrossRef]
- Ng, S.W.; Lim, K.P.; Halim, S.A.; Jumiah, H. Grain size effect on the electrical and magneto-transport properties of nanosized Pr0.67Sr0.33MnO3. Results Phys. 2018, 9, 1192–1200. [Google Scholar] [CrossRef]
- Vladimirov, I.; Kühn, M.; Geßner, T.; May, F.; Weitz, R.T. Energy barriers at grain boundaries dominate charge carrier transport in an electron-conductive organic semiconductor. Sci. Rep. 2018, 8, 14868. [Google Scholar] [CrossRef] [PubMed]
- Zhang, H.; Hu, D.; Zhong, D.; Huang, C.; Yuan, S.; You, D.; Zhang, X.; Wan, Y. The effect of diffusion barrier on minority carrier lifetime improvement of seed assisted cast silicon ingot. J. Cryst. Growth. 2020, 541, 125684. [Google Scholar] [CrossRef]
- Wei, F.; Gao, X.P.A.; Ma, S.; Zhang, Z. Giant Linear Magnetoresistance and Carrier Density Tunable Transport in Topological Crystalline Insulator SnTe Thin Film. Phys. Status Solidi B 2019, 256, 1900139. [Google Scholar] [CrossRef]
- Kaneta, S.; Wakabayashi, Y.K.; Krockenberger, Y.; Nomura, T.; Kohama, Y.; Nikolaev, S.; Das, H.; Irie, H.; Takiguchi, K.; Ohya, S.; et al. High-mobility two-dimensional carriers from surface Fermi arcs in magnetic Weyl semimetal films. NPJ Quantum Mater. 2022, 7, 102. [Google Scholar] [CrossRef]
- Ji, Y.; Shan, D.; Qian, M.; Xu, J.; Li, W.; Chen, K. Formation of high conductive nano-crystalline silicon embedded in amorphous silicon-carbide films with large optical band gap. AIP Adv. 2016, 6, 105107. [Google Scholar] [CrossRef]
- Tsu, R.; Gonzalez, J.; Chao, S.S.; Lee, S.C.; Tanaka, K. Critical volume fraction of crystallinity for conductivity percolation in phosphorus-doped Si: F: H alloys. Appl. Phys. Lett. 1982, 40, 534–535. [Google Scholar] [CrossRef]
- Faraci, G.; Gibilisco, S.; Russo, P.; Pennisi, A.; Rosa, S.L. Modified Raman confinement model for Si nanocrystals. Phys. Rev. B 2006, 73, 033307. [Google Scholar] [CrossRef]
- Campbell, I.H.; Fauchet, P.M. The effects of microcrystal size and shape on the one phonon Raman spectra of crystalline semiconductors. Solid State Commun. 1986, 58, 739–741. [Google Scholar] [CrossRef]
- Das, D.; Bhattacharya, K. Characterization of the Si: H network during transformation from amorphous to micro-and nanocrystalline structures. J. Appl. Phys. 2006, 100, 103701. [Google Scholar] [CrossRef]
- Shan, D.; Sun, D.; Tang, M.; Yang, R.; Kang, G.; Tao, T.; Cao, Y. Structures, electronic properties and carrier transport mechanisms of Si nano-crystalline embedded in the amorphous SiC films with various Si/C ratios. Nanomaterials 2021, 11, 2678. [Google Scholar] [CrossRef] [PubMed]
- Overhof, H. The Hall mobility in amorphous semiconductors in the presence of long-range potential fluctuations. Philos. Mag. B 1981, 44, 317–322. [Google Scholar] [CrossRef]
- Seager, C.H.; Castner, T.G. Zero-bias resistance of grain boundaries in neutron-transmutation-doped polycrystalline silicon. J. Appl. Phys. 1978, 49, 3879–3889. [Google Scholar] [CrossRef]
- Hellmich, W.; Müller, G.; Krötz, G.; Derst, G.; Kalbitzer, S. Optical absorption and electronic transport in ion-implantation-doped polycrystalline SiC films. Appl. Phys. A 1995, 61, 193–201. [Google Scholar] [CrossRef]
- Seto, J.Y.W. The electrical properties of polycrystalline silicon films. J. Appl. Phys. 1975, 46, 5247–5254. [Google Scholar] [CrossRef]







| The Room-Temperature Dark Conductivity | |||
|---|---|---|---|
| SiC Film | Annealed at 800 °C | Annealed at 900 °C | Annealed at 1000 °C |
| 9.0 × 10−10 S cm−1 | 2.0 × 10−9 S cm−1 | 1.4 × 10−8 S cm−1 | |
| 3.2 × 10−9 S cm−1 | 8.9 × 10−9 S cm−1 | 9.2 × 10−8 S cm−1 | |
| 8.7 × 10−8 S cm−1 | 1.4 × 10−7 S cm−1 | 5.4 × 10−7 S cm−1 | |
| The Potential Energy Barrier Height at GBs | |||
|---|---|---|---|
| SiC Film | Annealed at 800 °C | Annealed at 900 °C | Annealed at 1000 °C |
| - | - | 32 meV | |
| - | - | 32 meV | |
| 21 meV | 26 meV | 34 meV | |
Disclaimer/Publisher’s Note: The statements, opinions and data contained in all publications are solely those of the individual author(s) and contributor(s) and not of MDPI and/or the editor(s). MDPI and/or the editor(s) disclaim responsibility for any injury to people or property resulting from any ideas, methods, instructions or products referred to in the content. |
© 2023 by the authors. Licensee MDPI, Basel, Switzerland. This article is an open access article distributed under the terms and conditions of the Creative Commons Attribution (CC BY) license (https://creativecommons.org/licenses/by/4.0/).
Share and Cite
Shan, D.; Sun, D.; Wang, M.; Cao, Y. Investigation of the Electronic Properties of Silicon Carbide Films with Varied Si/C Ratios Annealed at Different Temperatures. Crystals 2024, 14, 45. https://doi.org/10.3390/cryst14010045
Shan D, Sun D, Wang M, Cao Y. Investigation of the Electronic Properties of Silicon Carbide Films with Varied Si/C Ratios Annealed at Different Temperatures. Crystals. 2024; 14(1):45. https://doi.org/10.3390/cryst14010045
Chicago/Turabian StyleShan, Dan, Daoyuan Sun, Menglong Wang, and Yunqing Cao. 2024. "Investigation of the Electronic Properties of Silicon Carbide Films with Varied Si/C Ratios Annealed at Different Temperatures" Crystals 14, no. 1: 45. https://doi.org/10.3390/cryst14010045
APA StyleShan, D., Sun, D., Wang, M., & Cao, Y. (2024). Investigation of the Electronic Properties of Silicon Carbide Films with Varied Si/C Ratios Annealed at Different Temperatures. Crystals, 14(1), 45. https://doi.org/10.3390/cryst14010045

