Experimental and Theoretical Insights into a Novel Lightfast Thiophene Azo Dye
Abstract
1. Introduction
2. Materials and Methods
2.1. Synthesis of TA-OH
2.2. Computational Method
2.3. Single Crystal X-ray Analysis
2.4. Lightfastness
3. Results and Discussion
3.1. Synthesis, Solvatochromism, Trans-to-Cis Isomerization
3.2. pH Colorimetric Response
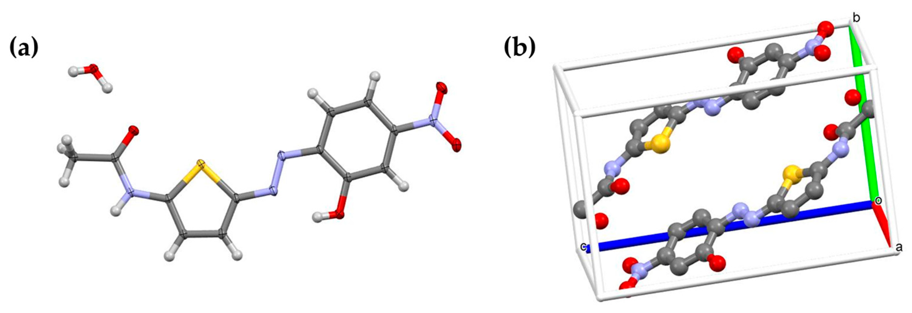
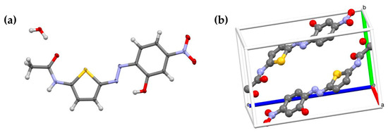
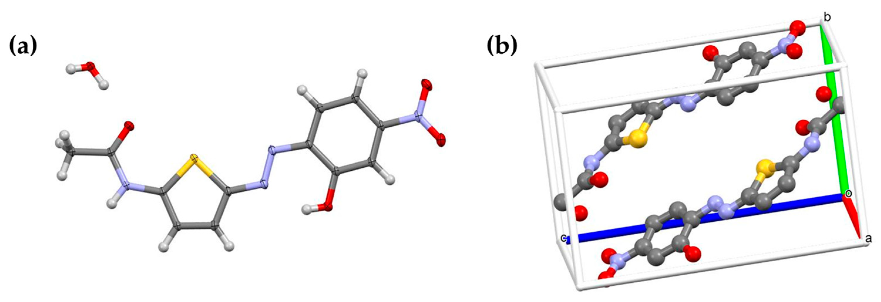
3.3. Single-Crystal X-ray Structure
3.4. Crystal Computational Analysis
3.5. Molecular Computational Analysis
3.6. Transition State (TS) Calculation
4. Conclusions
Supplementary Materials
Author Contributions
Funding
Institutional Review Board Statement
Informed Consent Statement
Data Availability Statement
Conflicts of Interest
References
- Mahimwalla, Z.; Yager, K.G.; Mamiya, J.-I.; Shishido, A.; Priimagi, A.; Barrett, C.J. Azobenzene photomechanics: Prospects and potential applications. Polym. Bull. 2012, 69, 967–1006. [Google Scholar] [CrossRef]
- Coelho, P.J.; Castro, M.C.R.; Fernandes, S.S.M.; Fonseca, A.M.C.; Raposo, M.M.M. Enhancement of the photochromic switching speed of bithiophene azo dyes. Tetrahedron Lett. 2012, 53, 4502–4506. [Google Scholar] [CrossRef]
- Diana, R.; Panunzi, B.; Tuzi, A.; Piotto, S.; Concilio, S.; Caruso, U. An Amphiphilic Pyridinoyl-hydrazone Probe for Colorimetric and Fluorescence pH Sensing. Molecules 2019, 24, 3833. [Google Scholar] [CrossRef] [PubMed]
- Acierno, D.; Amendola, E.; Bugatti, V.; Concilio, S.; Giorgini, L.; Iannelli, P.; Piotto, S.P. Synthesis and characterization of segmented liquid crystalline polymers with the azo group in the main chain. Macromolecules 2004, 37, 6418–6423. [Google Scholar] [CrossRef]
- Thapaliya, E.R.; Zhao, J.; Ellis-Davies, G.C. Locked-azobenzene: Testing the scope of a unique photoswitchable scaffold for cell physiology. ACS Chem. Neurosci. 2019, 10, 2481–2488. [Google Scholar] [CrossRef] [PubMed]
- Akram, D.; Elhaty, I.A.; AlNeyadi, S.S. Synthesis and spectroscopic characterization of rhodanine azo dyes as selective chemosensors for detection of iron(III). Chem. Data Collect. 2020, 28, 100456. [Google Scholar] [CrossRef]
- Coelho, F.L.; Braga, C.d.Á.; Zanotto, G.M.; Gil, E.S.; Campo, L.F.; Gonçalves, P.F.B.; Rodembusch, F.S.; Santos, F.d.S. Low pH optical sensor based on benzothiazole azo dyes. Sens. Actuators B Chem. 2018, 259, 514–525. [Google Scholar] [CrossRef]
- Diana, R.; Caruso, U.; Piotto, S.; Concilio, S.; Shikler, R.; Panunzi, B. Spectroscopic Behaviour of Two Novel Azobenzene Fluorescent Dyes and Their Polymeric Blends. Molecules 2020, 25, 1368. [Google Scholar] [CrossRef]
- Diana, R.; Panunzi, B.; Piotto, S.; Caruso, T.; Caruso, U. Solid-state fluorescence of two zinc coordination polymers from bulky dicyano-phenylenevinylene and bis-azobenzene cores. Inorg. Chem. Commun. 2019, 110, 107602. [Google Scholar] [CrossRef]
- Ren, H.; Yang, P.; Winnik, F.M. Azopyridine: A smart photo-and chemo-responsive substituent for polymers and supramolecular assemblies. Polym. Chem. 2020, 11, 5955–5961. [Google Scholar] [CrossRef]
- Crespi, S.; Simeth, N.A.; König, B. Heteroaryl azo dyes as molecular photoswitches. Nat. Rev. Chem. 2019, 3, 133–146. [Google Scholar] [CrossRef]
- Eltaboni, F.; Bader, N.; El-Kailany, R.; Elsharif, N.; Ahmida, A. Chemistry and Applications of Azo Dyes: A Comprehensive Review. J. Chem. Rev. 2022, 4, 313–330. [Google Scholar]
- Singh, M.V.; Tiwari, A.K.; Sharma, Y.K.; Chauhan, M.S.; Sethi, M.; Guo, Z. Synthetic Procedures, Properties, and Applications of Thiophene-based Azo Scaffolds. ES Food Agrofor. 2023, 12, 887. [Google Scholar] [CrossRef]
- Ullah, F.; Ullah, S.; Khan, M.F.A.; Mustaqeem, M.; Paracha, R.N.; Rehman, M.F.U.; Kanwal, F.; Hassan, S.S.U.; Bungau, S. Fluorescent and Phosphorescent Nitrogen-Containing Heterocycles and Crown Ethers: Biological and Pharmaceutical Applications. Molecules 2022, 27, 6631. [Google Scholar] [CrossRef]
- da Cruz, R.M.D.; Mendonça-Junior, F.J.B.; de Mélo, N.B.; Scotti, L.; de Araújo, R.S.A.; de Almeida, R.N.; de Moura, R.O. Thiophene-Based Compounds with Potential Anti-Inflammatory Activity. Pharmaceuticals 2021, 14, 692. [Google Scholar] [CrossRef]
- Raposo, M.M.M.; Ferreira, A.M.F.P.; Belsley, M.; Moura, J.C.V.P. 5′-Alkoxy-2,2′-bithiophene azo dyes: A novel promising series of NLO-chromophores. Tetrahedron 2008, 64, 5878–5884. [Google Scholar] [CrossRef]
- Raposo, M.M.M.; Castro, M.C.R.; Belsley, M.; Fonseca, A.M.C. Push–pull bithiophene azo-chromophores bearing thiazole and benzothiazole acceptor moieties: Synthesis and evaluation of their redox and nonlinear optical properties. Dye. Pigment. 2011, 91, 454–465. [Google Scholar] [CrossRef]
- Borbone, F.; Caruso, U.; Diana, R.; Panunzi, B.; Roviello, A.; Tingoli, M.; Tuzi, A. Second order nonlinear optical networks with excellent poling stability from a new trifunctional thiophene based chromophore. Org. Electron. 2009, 10, 53–60. [Google Scholar] [CrossRef]
- Raposo, M.M.M.; Sousa, A.M.; Fonseca, A.M.C.; Kirsch, G. Thienylpyrrole azo dyes: Synthesis, solvatochromic and electrochemical properties. Tetrahedron 2005, 61, 8249–8256. [Google Scholar] [CrossRef][Green Version]
- Raposo, M.M.M.; Fonseca, A.M.C.; Castro, M.C.R.; Belsley, M.; Cardoso, M.F.S.; Carvalho, L.M.; Coelho, P.J. Synthesis and characterization of novel diazenes bearing pyrrole, thiophene and thiazole heterocycles as efficient photochromic and nonlinear optical (NLO) materials. Dye. Pigment. 2011, 91, 62–73. [Google Scholar] [CrossRef]
- Garcia-Amorós, J.; Reig, M.; Castro, M.C.R.; Cuadrado, A.; Raposo, M.M.M.; Velasco, D. Molecular photo-oscillators based on highly accelerated heterocyclic azo dyes in nematic liquid crystals. Chem. Commun. 2014, 50, 6704–6706. [Google Scholar] [CrossRef] [PubMed]
- Coelho, P.J.; Carvalho, L.M.; Moura, J.C.; Raposo, M.M.M. Novel photochromic 2, 2′-bithiophene azo dyes. Dye. Pigment. 2009, 82, 130–133. [Google Scholar] [CrossRef]
- Ghanavatkar, C.W.; Mishra, V.R.; Sekar, N. Review of NLOphoric azo dyes–Developments in hyperpolarizabilities in last two decades. Dye. Pigment. 2021, 191, 109367. [Google Scholar] [CrossRef]
- Moylan, C.R.; McNelis, B.J.; Nathan, L.C.; Marques, M.A.; Hermstad, E.L.; Brichler, B.A. Challenging the Auxiliary Donor Effect on Molecular Hyperpolarizability in Thiophene-Containing Nonlinear Chromophores: X-ray Crystallographic and Optical Measurements on Two New Isomeric Chromophores. J. Org. Chem. 2004, 69, 8239–8243. [Google Scholar] [CrossRef] [PubMed]
- Fernández, C.M.; Martin, V.C. Preparation d’un tampon universel de force ionique 0.3 M. Talanta 1977, 24, 747–748. [Google Scholar] [CrossRef] [PubMed]
- Yuxia, Z.; Zhao, L.; Ling, Q.; Jianfen, Z.; Jiayun, Z.; Yuquan, S.; Gang, X.; Peixian, Y. Synthesis and characterization of a novel nonlinear optical polyurethane polymer. Eur. Polym. J. 2001, 37, 445–449. [Google Scholar] [CrossRef]
- Maier, J.A.; Martinez, C.; Kasavajhala, K.; Wickstrom, L.; Hauser, K.E.; Simmerling, C. ff14SB: Improving the accuracy of protein side chain and backbone parameters from ff99SB. J. Chem. Theory Comput. 2015, 11, 3696–3713. [Google Scholar] [CrossRef]
- Land, H.; Humble, M.S. YASARA: A tool to obtain structural guidance in biocatalytic investigations. In Protein Engineering; Methods and protocols; Bornscheuer, U., Höhne, M., Eds.; Humana Press; Totowa, NJ, USA, 2018; pp. 43–67. [Google Scholar]
- Sarkar, A.; Sessa, L.; Marrafino, F.; Piotto, S. GUIDE: A GUI for automated quantum chemistry calculations. J. Comput. Chem. 2023, 44, 2030–2036. [Google Scholar] [CrossRef]
- Shukla, M.; Leszczynski, J. Electronic transitions of thiouracils in the gas phase and in solutions: Time-dependent density functional theory (TD-DFT) study. J. Phys. Chem. A 2004, 108, 10367–10375. [Google Scholar] [CrossRef]
- Neese, F. The ORCA program system. Wiley Interdiscip. Rev. Comput. Mol. Sci. 2012, 2, 73–78. [Google Scholar] [CrossRef]
- Bannwarth, C.; Ehlert, S.; Grimme, S. GFN2-xTB—An accurate and broadly parametrized self-consistent tight-binding quantum chemical method with multipole electrostatics and density-dependent dispersion contributions. J. Chem. Theory Comput. 2019, 15, 1652–1671. [Google Scholar] [CrossRef] [PubMed]
- Yu, H.S.; Watson, M.A.; Bochevarov, A.D. Weighted averaging scheme and local atomic descriptor for pKa prediction based on density functional theory. J. Chem. Inf. Model. 2018, 58, 271–286. [Google Scholar] [CrossRef] [PubMed]
- Knizia, G. Intrinsic Atomic Orbitals: An Unbiased Bridge between Quantum Theory and Chemical Concepts. J. Chem. Theory Comput. 2013, 9, 4834–4843. [Google Scholar] [CrossRef]
- Stewart, J.J. Stewart Computational Chemistry. 2007. Available online: http://openmopac.net/ (accessed on 1 September 2023).
- Spackman, P.R.; Turner, M.J.; McKinnon, J.J.; Wolff, S.K.; Grimwood, D.J.; Jayatilaka, D.; Spackman, M.A. CrystalExplorer: A program for Hirshfeld surface analysis, visualization and quantitative analysis of molecular crystals. J. Appl. Crystallogr. 2021, 54, 1006–1011. [Google Scholar] [CrossRef] [PubMed]
- Clark, S.J.; Segall, M.D.; Pickard, C.J.; Hasnip, P.J.; Probert, M.I.; Refson, K.; Payne, M.C. First principles methods using CASTEP. Z. Krist.-Cryst. Mater. 2005, 220, 567–570. [Google Scholar] [CrossRef]
- Kabsch, W. Integration, scaling, space-group assignment and post-refinement. Acta Crystallogr. Sect. D Biol. Crystallogr. 2010, 66, 133–144. [Google Scholar] [CrossRef] [PubMed]
- Burla, M.C.; Carrozzini, B.; Cascarano, G.L.; Polidori, G. Solving proteins at non-atomic resolution by direct methods: Update. J. Appl. Crystallogr. 2017, 50, 1048–1055. [Google Scholar] [CrossRef]
- Sheldrick, G.M. Crystal structure refinement with SHELXL. Acta Crystallogr. Sect. C Struct. Chem. 2015, 71, 3–8. [Google Scholar] [CrossRef]
- Farrugia, L.J. WinGX and ORTEP for Windows: An update. J. Appl. Crystallogr. 2012, 45, 849–854. [Google Scholar] [CrossRef]
- Macrae, C.F.; Sovago, I.; Cottrell, S.J.; Galek, P.T.; McCabe, P.; Pidcock, E.; Platings, M.; Shields, G.P.; Stevens, J.S.; Towler, M. Mercury 4.0: From visualization to analysis, design and prediction. J. Appl. Crystallogr. 2020, 53, 226–235. [Google Scholar] [CrossRef]
- Morley, J.O. Theoretical Investigation of the Conformations, Tautomeric Forms, and Spectra of Donor-Acceptor (Phenylazo)arenes. J. Phys. Chem. 1994, 98, 13177–13181. [Google Scholar] [CrossRef]
- TsuTsunoda, M.; Yamamoto, N.; Imai, H. Disazo Compound And Dyeing Method Using The Same. J.P. Patent 62246965 A, 28 October 1987. [Google Scholar]
- Katariya, S.B.; Patil, D.; Rhyman, L.; Alswaidan, I.A.; Ramasami, P.; Sekar, N. Triphenylamine-based fluorescent NLO phores with ICT characteristics: Solvatochromic and theoretical study. J. Mol. Struct. 2017, 1150, 493–506. [Google Scholar] [CrossRef]
- Warde, U.; Sekar, N. NLOphoric mono-azo dyes with negative solvatochromism and in-built ESIPT unit from ethyl 1,3-dihydroxy-2-naphthoate: Estimation of excited state dipole moment and pH study. Dye. Pigment. 2017, 137, 384–394. [Google Scholar] [CrossRef]
- Mecke, R.; Schmähl, D. Einfluß von Wasserstoffbrücken auf die Spaltungsgeschwindigkeit von Azofarbstoffen. Naturwissenschaften 1955, 42, 153–154. [Google Scholar] [CrossRef]
- El Harfi, S.; El Harfi, A. Classifications, properties and applications of textile dyes: A review. Appl. J. Environ. Eng. Sci. 2017, 3, 311–320. [Google Scholar]
- Diana, R.; Caruso, U.; Di Costanzo, L.; Gentile, F.S.; Panunzi, B. Colorimetric recognition of multiple first-row transition metals: A single water-soluble chemosensor in acidic and basic conditions. Dye. Pigment. 2021, 184, 108832. [Google Scholar] [CrossRef]
- Jose, M.; Mylavarapu, S.K.; Bikkarolla, S.K.; Machiels, J.; KJ, S.; McLaughlin, J.; Hardy, A.; Thoelen, R.; Deferme, W. Printed pH Sensors for Textile-Based Wearables: A Conceptual and Experimental Study on Materials, Deposition Technology, and Sensing Principles. Adv. Eng. Mater. 2022, 24, 2101087. [Google Scholar] [CrossRef]
- Chu, W.; Tsui, S.-M. Photo-sensitization of diazo disperse dye in aqueous acetone. Chemosphere 1999, 39, 1667–1677. [Google Scholar] [CrossRef]
- Muedas-Taipe, G.; Mejía, I.M.M.; Santillán, F.A.; Velásquez, C.J.; Asencios, Y.J. Removal of azo dyes in aqueous solutions using magnetized and chemically modified chitosan beads. Mater. Chem. Phys. 2020, 256, 123595. [Google Scholar] [CrossRef]
- Decken, A.; Mailman, A.; Passmore, J.; Rautiainen, J.M.; Scherer, W.; Scheidt, E.W. A prototype hybrid 7π quinone-fused 1,3,2-dithiazolyl radical. Dalton Trans. 2011, 40, 868–879. [Google Scholar] [CrossRef]
- Rusu, E.; Shova, S.; Rusu, G. 1-[(E)-4-(Phenyl-diazen-yl)phen-yl]-3-pyrroline-2,5-dione. Acta Crystallogr. Sect. E Struct. Rep. Online 2011, 67 Pt 9, o2333. [Google Scholar] [CrossRef] [PubMed]
- Zaleśny, R.; Bulik, I.W.; Bartkowiak, W.; Luis, J.M.; Avramopoulos, A.; Papadopoulos, M.G.; Krawczyk, P. Electronic and vibrational contributions to first hyperpolarizability of donor–acceptor-substituted azobenzene. J. Chem. Phys. 2010, 133, 244308. [Google Scholar] [CrossRef] [PubMed]
- Smitha, P.; Asha, S.K.; Pillai, C.K.S. Synthesis, characterization, and hyperpolarizability measurements of main-chain azobenzene molecules. J. Polym. Sci. Part A Polym. Chem. 2005, 43, 4455–4468. [Google Scholar] [CrossRef]
- Shalin, N.I.; Fominykh, O.D.; Balakina, M.Y. Effect of acceptor moieties on static and dynamic first hyperpolarizability of azobenzene chromophores. Chem. Phys. Lett. 2019, 717, 21–28. [Google Scholar] [CrossRef]









| µ(D) a | λmax (nm) b | ε∙10−3 (L cm−1 mol−1) c | |
|---|---|---|---|
| Dioxan | 1.02 | 460 | 27 |
| Chloroform | 1.15 | 475 | 25 |
| Ethyl acetate | 1.54 | 480 | 25 |
| Acetone | 2.88 | 490 | 28 |
| DMSO | 3.96 | 495 | 32 |
| Sample | pH | CIE a | λabs (nm) b | ɛ∙10−3 (L mol−1 cm−1) c |
|---|---|---|---|---|
| TA-OH protonated | 6.5 | 0.593; 0.329 | 490 | 28 |
| TA-OH deprotonated | 10.5 | 0.192; 0.212 | 653 (490) | 30 |
| TA-OH | |
|---|---|
| CCDC number | 2262786 |
| Formula probe and solvent | C12H10N4SO4·H2O |
| Temperature (K) | 100 |
| Wavelength (Å) | 0.6200 |
| Crystal system | Triclinic |
| Space group | P-1 |
| a (Å) | 6.7860 (14) |
| b (Å) | 8.3210 (17) |
| c (Å) | 13.496 (3) |
| α (°) | 91.43 (3) |
| β (°) | 97.86 (3) |
| γ (°) | 113.86 (3) |
| R-merge (last shell) | 0.017 (0.023) |
| Last resolution shell | 0.71–0.67 Å |
| CC (1/2) | 100.0 (99.9) |
| I/σ (I) | 49.6 (36.3) |
| Completeness (%) | 91.9 (87.4) |
| Estimated mosaicity (°) | 0.26 |
| Volume | 687.7 (3) Å3 |
| Z | 2 |
| Calculated density | 1.566 g/cm3 |
| θ range for data collection (°) | 1.334 to 27.669 |
| Reflections collected/unique | 14,582/4428 |
| Data/restraints/parameters | 4428/0/149 |
| R1 indices (I > 2σ(I)) | 0.0422 (0.047, all data) |
| wR2 | 0.222 |
| F(000) | 336 |
| Largest diff. peak and hole | 0.82 and −0.38 e-/Å3 |
| Goodness-of-fit on F2 | 1.15 |
| Energy a (eV) | Relevant Transition Orbitals b | Wavelength c (nm) | |
|---|---|---|---|
| TA-OH protonated | 2.660 | HOMO → LUMO | 466 |
| 3.534 | HOMO → LUMO+1 | 351 | |
| TA-OH deprotonated | 2.096 | HOMO → LUMO | 592 |
| 2.847 | HOMO → LUMO+1 | 436 | |
| 3.036 | HOMO-2 → LUMO | 408 |
Disclaimer/Publisher’s Note: The statements, opinions and data contained in all publications are solely those of the individual author(s) and contributor(s) and not of MDPI and/or the editor(s). MDPI and/or the editor(s) disclaim responsibility for any injury to people or property resulting from any ideas, methods, instructions or products referred to in the content. |
© 2023 by the authors. Licensee MDPI, Basel, Switzerland. This article is an open access article distributed under the terms and conditions of the Creative Commons Attribution (CC BY) license (https://creativecommons.org/licenses/by/4.0/).
Share and Cite
Diana, R.; Sessa, L.; Concilio, S.; Piotto, S.; Di Costanzo, L.; Carella, A.; Panunzi, B. Experimental and Theoretical Insights into a Novel Lightfast Thiophene Azo Dye. Crystals 2024, 14, 31. https://doi.org/10.3390/cryst14010031
Diana R, Sessa L, Concilio S, Piotto S, Di Costanzo L, Carella A, Panunzi B. Experimental and Theoretical Insights into a Novel Lightfast Thiophene Azo Dye. Crystals. 2024; 14(1):31. https://doi.org/10.3390/cryst14010031
Chicago/Turabian StyleDiana, Rosita, Lucia Sessa, Simona Concilio, Stefano Piotto, Luigi Di Costanzo, Antonio Carella, and Barbara Panunzi. 2024. "Experimental and Theoretical Insights into a Novel Lightfast Thiophene Azo Dye" Crystals 14, no. 1: 31. https://doi.org/10.3390/cryst14010031
APA StyleDiana, R., Sessa, L., Concilio, S., Piotto, S., Di Costanzo, L., Carella, A., & Panunzi, B. (2024). Experimental and Theoretical Insights into a Novel Lightfast Thiophene Azo Dye. Crystals, 14(1), 31. https://doi.org/10.3390/cryst14010031

