Microstructure Characterization and Hardening Evaluation of Ferrite/Martensitic Steels Induced by He2+ Irradiation
Abstract
:1. Introduction
2. Experiment
3. Results and Discussion
3.1. Microstructure of Different Steels before Irradiation
3.2. Microstructure of Different Steels after Irradiation
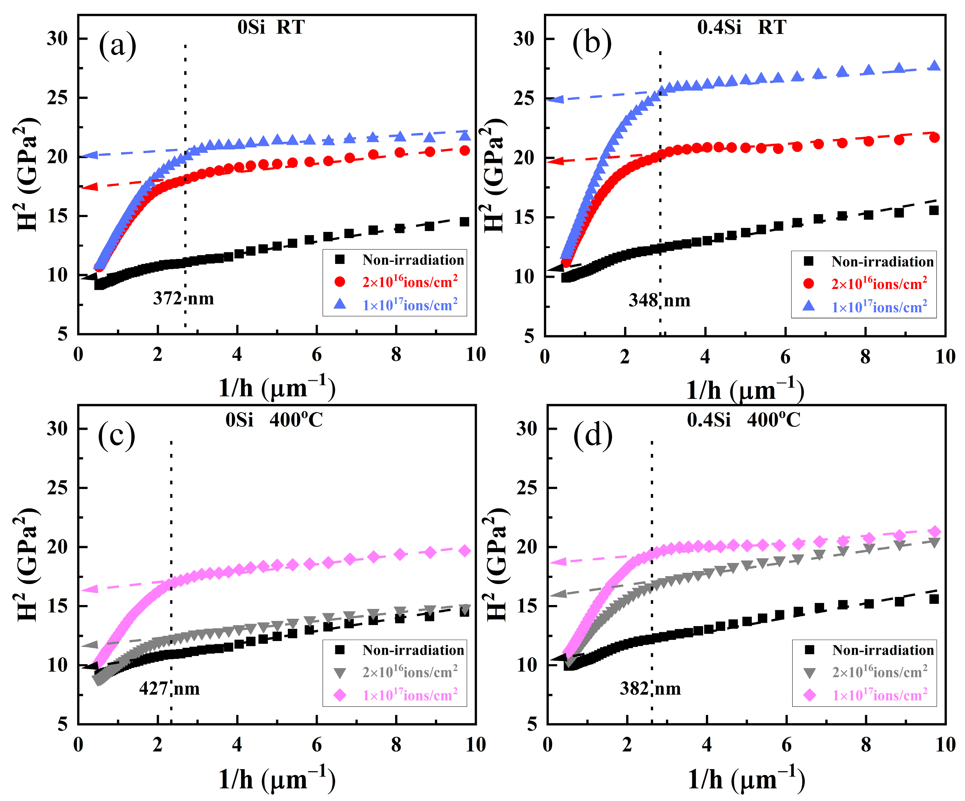
3.3. Mechanical Properties before and after Irradiation
4. Conclusions
Author Contributions
Funding
Data Availability Statement
Acknowledgments
Conflicts of Interest
References
- Klueh, R.L. Ferritic/martensitic steels for advanced nuclear reactors. Trans. Indian Inst. Met. 2009, 62, 81–87. [Google Scholar] [CrossRef]
- Dvoriashin, A.M.; Porollo, S.I.; Konobeev, Y.V.; Budylkin, N.I.; Mironova, E.G.; Ioltukhovskiy, A.G.; Leontyeva-Smirnova, M.V.; Garner, F.A. Mechanical properties and microstructure of three Russian ferritic/martensitic steels irradiated in BN-350 reactor to 50 dpa at 490 °C. J. Nucl. Mater. 2007, 367–370, 92–96. [Google Scholar] [CrossRef]
- Li, P.; Dai, J.; Wang, L.; Zhou, Y.; Wang, Z.; Xue, K. The effect and mechanism of closed double equal channel angular pressing deformation on He+ irradiation damage of low activation steel. Fusion Eng. Des. 2023, 187, 113358. [Google Scholar] [CrossRef]
- Maloy, S.A.; Natesan, K.; Holcomb, D.E.; Fazio, C.; Yvon, P. Overview of Reactor Systems and Operational Environments for Structural Materials in Gen-IV Fission Reactors. In Structural Alloys for Nuclear Energy Applications; Elsevier: Amsterdam, The Netherlands, 2019; pp. 23–49. [Google Scholar]
- Yao, C.; Zhang, H.; Chang, H.; Shen, T.; Zhu, Y.; Pang, L.; Cui, M.; Wei, K.; Xu, Y.; Wang, D.; et al. Structure of surface oxides on martensitic steel under simultaneous ion irradiation and molten LBE corrosion. Corros. Sci. 2022, 195, 109953. [Google Scholar] [CrossRef]
- Schroer, C.; Koch, V.; Wedemeyer, O.; Skrypnik, A.; Konys, J. Silicon-containing ferritic/martensitic steel after exposure to oxygen-containing flowing lead–bismuth eutectic at 450 and 550 °C. J. Nucl. Mater. 2016, 469, 162–176. [Google Scholar] [CrossRef]
- Hosoi, Y.; Wade, N.; Kunimitsu, S.; Urita, T. Precipitation behavior of laves phase and its effect on toughness of 9Cr-2Mo Ferritic-martensitic steel. J. Nucl. Mater. 1986, 141–143, 461–467. [Google Scholar] [CrossRef]
- Zhang, L.; Yan, W.; Shi, Q.; Li, Y.; Shan, Y.; Yang, K. Silicon enhances high temperature oxidation resistance of SIMP steel at 700 °C. Corros. Sci. 2020, 167, 108519. [Google Scholar] [CrossRef]
- Porollo, S.I.; Dvoriashin, A.M.; Konobeev, Y.V.; Garner, F.A. Microstructure and mechanical properties of ferritic/martensitic steel EP-823 after neutron irradiation to high doses in BOR-60. J. Nucl. Mater. 2004, 329–333, 314–318. [Google Scholar] [CrossRef]
- Chen, Y.; Long, Y.; Luo, H.; Xie, Z.; Lin, W.; Guo, L.; Wang, H.; An, X.; Kong, Q.; Zhang, W.; et al. Effects of different silicon content on irradiation defects and hardening in 9Cr ferritic/martensitic steel. J. Nucl. Mater. 2022, 571, 154026. [Google Scholar] [CrossRef]
- Dudko, V.; Belyakov, A.; Molodov, D.; Kaibyshev, R. Microstructure Evolution and Pinning of Boundaries by Precipitates in a 9 pct Cr Heat Resistant Steel During Creep. Metall. Mater. Trans. A 2011, 44, 162–172. [Google Scholar] [CrossRef]
- Cabet, C.; Dalle, F.; Gaganidze, E.; Henry, J.; Tanigawa, H. Ferritic-martensitic steels for fission and fusion applications. J. Nucl. Mater. 2019, 523, 510–537. [Google Scholar] [CrossRef]
- Fedorova, I.; Belyakov, A.; Kozlov, P.; Skorobogatykh, V.; Shenkova, I.; Kaibyshev, R. Laves-phase precipitates in a low-carbon 9% Cr martensitic steel during aging and creep at 923 K. Mater. Sci. Eng. A 2014, 615, 153–163. [Google Scholar] [CrossRef]
- Zdorovets, M.V.; Kozlovskiy, A.L.; Borgekov, D.B.; Shlimas, D.I. Influence of irradiation with heavy Kr15+ ions on the structural, optical and strength properties of BeO ceramic. J. Mater. Sci. Mater. Electron. 2021, 32, 15375–15385. [Google Scholar] [CrossRef]
- Kozlovskiy, A.L.; Zdorovets, M.V. Effect of doping of Ce4+/3+ on optical, strength and shielding properties of (0.5-x)TeO2-0.25MoO-0.25Bi2O3-xCeO2 glasses. Mater. Chem. Phys. 2021, 263, 124444. [Google Scholar] [CrossRef]
- Henaish, A.M.; Darwish, M.A.; Hemeda, O.M.; Weinstein, I.A.; Soliman, T.S.; Trukhanov, A.V.; Trukhanov, S.V.; Zhou, D.; Dorgham, A.M. Structure and optoelectronic properties of ferroelectric PVA-PZT nanocomposites. Opt. Mater. 2023, 138, 113402. [Google Scholar] [CrossRef]
- Zhao, D.; Li, S.; Wang, X.; Wang, Y.; Liu, F.; Cao, X. Proton irradiation induced defects in T92 steels: An investigation by TEM and positron annihilation spectroscopy. Nucl. Instrum. Methods Phys. Res. Sect. B Beam Interact. Mater. At. 2019, 442, 59–66. [Google Scholar] [CrossRef]
- Zushi, M.; Hashimoto, N.; Hamaguchi, D.; Watanabe, Y.; Tanigawa, H. Helium effect on the sink strength of grain boundaries in F82H. Nucl. Mater. Energy 2020, 25, 100788. [Google Scholar]
- Dauben, P.; Wahi, R.P.; Wollenberger, H. Bubble nucleation and growth in an Fe-12 at% Cr ferritic alloy under He+ implantation and Fe+ irradiation. J. Nucl. Mater. 1986, 141–143, 723–726. [Google Scholar] [CrossRef]
- Davis, T.P.; Auger, M.A.; Hofer, C.; Bagot, P.A.J.; Moody, M.P.; Armstrong, D.E.J. Nanocluster evolution and mechanical properties of ion irradiated T91 ferritic-martensitic steel. J. Nucl. Mater. 2021, 548, 152842. [Google Scholar] [CrossRef]
- Fukumoto, K.I.; Mabuchi, T.; Yabuuchi, K.; Fujii, K. Irradiation hardening of stainless steel model alloy after Fe-ion irradiation and post-irradiation annealing treatment. J. Nucl. Mater. 2021, 557, 153296. [Google Scholar] [CrossRef]
- Huang, X.; Shen, Y.; Li, Q.; Li, X.; Zhan, Z.; Li, G.; Li, Z. Effect of irradiation temperature on the nanoindentation behavior of P92 steel with thermomechanical treatment. Nucl. Eng. Technol. 2022, 54, 2408–2417. [Google Scholar] [CrossRef]
- Yao, Z.; Jenkins, M.L.; Hernández-Mayoral, M.; Kirk, M.A. The temperature dependence of heavy-ion damage in iron: A microstructural transition at elevated temperatures. Philos. Mag. 2010, 90, 4623–4634. [Google Scholar] [CrossRef]
- Lu, Y.; Zhang, Y.H.; Ma, E.; Han, W.Z. Relative mobility of screw versus edge dislocations controls the ductile-to-brittle transition in metals. Proc. Natl. Acad. Sci. USA 2021, 118, e2110596118. [Google Scholar] [CrossRef] [PubMed]
- Lu, Y.; Shu, X.; Liao, X. Size effect for achieving high mechanical performance body-centered cubic metals and alloys. Sci. China Mater. 2018, 61, 1495–1516. [Google Scholar] [CrossRef]
- Huang, R.; Li, Q.-J.; Wang, Z.-J.; Huang, L.; Li, J.; Ma, E.; Shan, Z.-W. Flow Stress in Submicron BCC Iron Single Crystals: Sample-size-dependent Strain-rate Sensitivity and Rate-dependent Size Strengthening. Mater. Res. Lett. 2015, 3, 121–127. [Google Scholar] [CrossRef]
- Daghbouj, N.; Sen, H.S.; Čížek, J.; Lorinčík, J.; Karlík, M.; Callisti, M.; Čech, J.; Havránek, V.; Li, B.; Krsjak, V.; et al. Characterizing heavy ions-irradiated Zr/Nb: Structure and mechanical properties. Mater. Des. 2022, 219, 110732. [Google Scholar] [CrossRef]
- Daghbouj, N.; Sen, H.S.; Callisti, M.; Vronka, M.; Karlik, M.; Duchoň, J.; Čech, J.; Havránek, V.; Polcar, T. Revealing nanoscale strain mechanisms in ion-irradiated multilayers. Acta Mater. 2022, 229, 117807. [Google Scholar] [CrossRef]
- Chen, Y.; Li, Y.; Ran, G.; Li, G.; Liu, X.; He, K.; Han, Q.; Wang, H.; Huang, X. In-situ TEM observation of microstructure evolution in Fe9Cr1.5W0.4Si alloy during He+ irradiation and post-implantation annealing. J. Nucl. Mater. 2021, 555, 153126. [Google Scholar] [CrossRef]
- Darwish, M.A.; Zubar, T.I.; Kanafyev, O.D.; Zhou, D.; Trukhanova, E.L.; Trukhanov, S.V.; Trukhanov, A.V.; Henaish, A.M. Combined effect of microstructure, surface energy, and adhesion force on the friction of PVA/ferrite spinel nanocomposites. Nanomaterials 2022, 12, 1998. [Google Scholar] [CrossRef]
- Kozlovskiy, A.; Egizbek, K.; Zdorovets, M.V.; Ibragimova, M.; Shumskaya, A.; Rogachev, A.A.; Ignatovich, Z.V.; Kadyrzhanov, K. Evaluation of the efficiency of detection and capture of manganese in aqueous solutions of FeCeOx nanocomposites doped with Nb2O5. Sensors 2020, 20, 4851. [Google Scholar] [CrossRef]
- Agayev, F.G.; Trukhanov, S.V.; Trukhanov, A.V.; Jabarov, S.H.; Ayyubova, G.S.; Mirzayev, M.N.; Trukhanova, E.L.; Vinnik, D.A.; Kozlovskiy, A.L.; Zdorovets, M.V.; et al. Study of structural features and thermal properties of barium hexaferrite upon indium doping. J. Therm. Anal. Calor. 2022, 147, 14107–14114. [Google Scholar] [CrossRef]
- Gao, Q.; Yuan, Z.; Ma, Q.; Yu, L.; Li, H. Strengthening and toughening optimizations of novel G115 martensitic steel: Utilizing secondary normalizing process. Mater. Sci. Eng. A 2022, 852, 143621. [Google Scholar] [CrossRef]
- Gao, R.; Cheng, B.; Zeng, L.F.; Miao, S.; Hou, J.; Zhang, T.; Wang, X.P.; Fang, Q.F.; Liu, C.S. Microstructure, hardness and defect structure of the He irradiated ODS ferritic steel. J. Alloys Compd. 2017, 691, 653–658. [Google Scholar] [CrossRef]
- Song, P.; Morrall, D.; Zhang, Z.; Yabuuchi, K.; Kimura, A. Radiation response of ODS ferritic steels with different oxide particles under ion-irradiation at 550 °C. J. Nucl. Mater. 2018, 502, 76–85. [Google Scholar] [CrossRef]
- Yang, Y.; Zhang, C.; Meng, Y.; Liu, J.; Gou, J.; Xian, Y.; Song, Y. Nanoindentation on V–4Ti alloy irradiated by H and He ions. J. Nucl. Mater. 2015, 459, 1–4. [Google Scholar] [CrossRef]
- Chen, C.L.; Richter, A.; Kögler, R.; Talut, G. Dual beam irradiation of nanostructured FeCrAl oxide dispersion strengthened steel. J. Nucl. Mater. 2011, 412, 350–358. [Google Scholar] [CrossRef]
- Nix, W.D.; Gao, H. Indentation size effects in crystalline materials: A law for strain gradient plasticity. J. Mech. Phys. Solids 1998, 46, 411–425. [Google Scholar] [CrossRef]
- Zhang, G.J.; Zhou, Y.; Yang, J.F.; Yang, H.Y.; Wang, M.M.; Jing, K.; Xie, Z.M.; Zhang, L.C.; Liu, R.; Li, G.; et al. Effect of Si content on the microstructure and mechanical properties of 9Cr-ferritic/martensitic steels. Nucl. Mater. Energy 2023, 35, 101428. [Google Scholar] [CrossRef]
- Wei, Y.P.; Liu, P.P.; Zhu, Y.M.; Wang, Z.Q.; Wan, F.R.; Zhan, Q. Evaluation of irradiation hardening and microstructure evolution under the synergistic interaction of He and subsequent Fe ions irradiation in CLAM steel. J. Alloys Compd. 2016, 676, 481–488. [Google Scholar] [CrossRef]
- Gupta, G.; Was, G.S. Improved Creep Behavior of Ferritic-Martensitic Alloy T91 by Subgrain Boundary Density Enhancement. Metall. Mater. Trans. A 2007, 39, 150–164. [Google Scholar] [CrossRef]
- Bergner, F.; Pareige, C.; Hernández-Mayoral, M.; Malerba, L.; Heintze, C. Application of a three-feature dispersed-barrier hardening model to neutron-irradiated Fe–Cr model alloys. J. Nucl. Mater. 2014, 448, 96–102. [Google Scholar] [CrossRef]








| Sample | C | Cr | W | Mn | V | Ta | Zr | Si | Fe |
|---|---|---|---|---|---|---|---|---|---|
| 0Si | 0.091 | 9.1 | 1.52 | 0.57 | 0.19 | 0.094 | <0.002 | 0.022 | Bal. |
| 0.4Si | 0.095 | 9.05 | 1.53 | 0.59 | 0.19 | 0.082 | <0.002 | 0.37 | Bal. |
| Composition | Fluence (Ions/cm2) | Mean Size (nm) | Number Density (×1022/m3) | ||
|---|---|---|---|---|---|
| He Bubble | Loops | He Bubble | Loops | ||
| 0Si | 2 × 1016 | 2.9 | 17.6 | 4.0 | 0.08 |
| 1 × 1017 | 4.3 | 17.8 | 2.4 | 0.25 | |
| 0.4Si | 2 × 1016 | 2.6 | 16.4 | 4.4 | 0.31 |
| 1 × 1017 | 3.9 | 18.8 | 4.1 | 0.38 | |
| Irradiation Condition | 0Si | 0.4Si | |
|---|---|---|---|
| Non-irradiated | 3.1 | 3.2 | |
| RT | 2 × 1016 ions/cm2 | 4.2 | 4.4 |
| 1 × 1017 ions/cm2 | 4.5 | 5.0 | |
| 400 °C | 2 × 1016 ions/cm2 | 3.4 | 4.0 |
| 1 × 1017 ions/cm2 | 4.0 | 4.3 | |
| g·b | 1/2[111] | 11] | 1] | ] | [100] | [010] | [001] |
|---|---|---|---|---|---|---|---|
| 00 | V | V | V | V | V | I | I |
| 110 | V | I | I | V | V | V | I |
| 020 | V | V | V | V | I | V | I |
| 10 | I | V | V | I | V | V | I |
| Conditions | ΔH (Nix-Gao Model) | ΔH (FKH + DBH Models, Simple Summation) | αbubble | αloop | ΔH (DBH Model, Root Sum Square) | |
|---|---|---|---|---|---|---|
| 0Si | 2 × 1016 ions/cm2 | 0.3 | 0.35 | 0.13 | 0.39 | 0.47 |
| 1 × 1017 ions/cm2 | 0.9 | 0.56 | 0.13 | 0.39 | 0.64 | |
| 0.4Si | 2 × 1016 ions/cm2 | 0.8 | 0.59 | 0.16 | 0.32 | 0.65 |
| 1 × 1017 ions/cm2 | 1.1 | 0.71 | 0.16 | 0.32 | 0.77 | |
Disclaimer/Publisher’s Note: The statements, opinions and data contained in all publications are solely those of the individual author(s) and contributor(s) and not of MDPI and/or the editor(s). MDPI and/or the editor(s) disclaim responsibility for any injury to people or property resulting from any ideas, methods, instructions or products referred to in the content. |
© 2023 by the authors. Licensee MDPI, Basel, Switzerland. This article is an open access article distributed under the terms and conditions of the Creative Commons Attribution (CC BY) license (https://creativecommons.org/licenses/by/4.0/).
Share and Cite
Zhang, G.; Yang, J.; Xie, Z.; Zhang, L.; Liu, R.; Sun, M.; Li, G.; Wang, H.; Hu, Y.; Wu, X.; et al. Microstructure Characterization and Hardening Evaluation of Ferrite/Martensitic Steels Induced by He2+ Irradiation. Crystals 2023, 13, 1308. https://doi.org/10.3390/cryst13091308
Zhang G, Yang J, Xie Z, Zhang L, Liu R, Sun M, Li G, Wang H, Hu Y, Wu X, et al. Microstructure Characterization and Hardening Evaluation of Ferrite/Martensitic Steels Induced by He2+ Irradiation. Crystals. 2023; 13(9):1308. https://doi.org/10.3390/cryst13091308
Chicago/Turabian StyleZhang, Guangjie, Junfeng Yang, Zhuoming Xie, Linchao Zhang, Rui Liu, Meng Sun, Gang Li, Hui Wang, Yi Hu, Xuebang Wu, and et al. 2023. "Microstructure Characterization and Hardening Evaluation of Ferrite/Martensitic Steels Induced by He2+ Irradiation" Crystals 13, no. 9: 1308. https://doi.org/10.3390/cryst13091308
APA StyleZhang, G., Yang, J., Xie, Z., Zhang, L., Liu, R., Sun, M., Li, G., Wang, H., Hu, Y., Wu, X., Fang, Q., Liu, C., & Wang, X. (2023). Microstructure Characterization and Hardening Evaluation of Ferrite/Martensitic Steels Induced by He2+ Irradiation. Crystals, 13(9), 1308. https://doi.org/10.3390/cryst13091308

