Spectral Characterization and Antimicrobial Activity of Chenodeoxycholic Acid Complexes with Zn(II), Mg(II), and Ca(II) Ions
Abstract
1. Introduction
2. Chemicals and Methods
2.1. Chemicals
2.2. Preparation and Characterization
2.3. XRD Spectra and Microscopic Images
2.4. In Vitro Antimicrobial Experiments
3. Results and Discussion
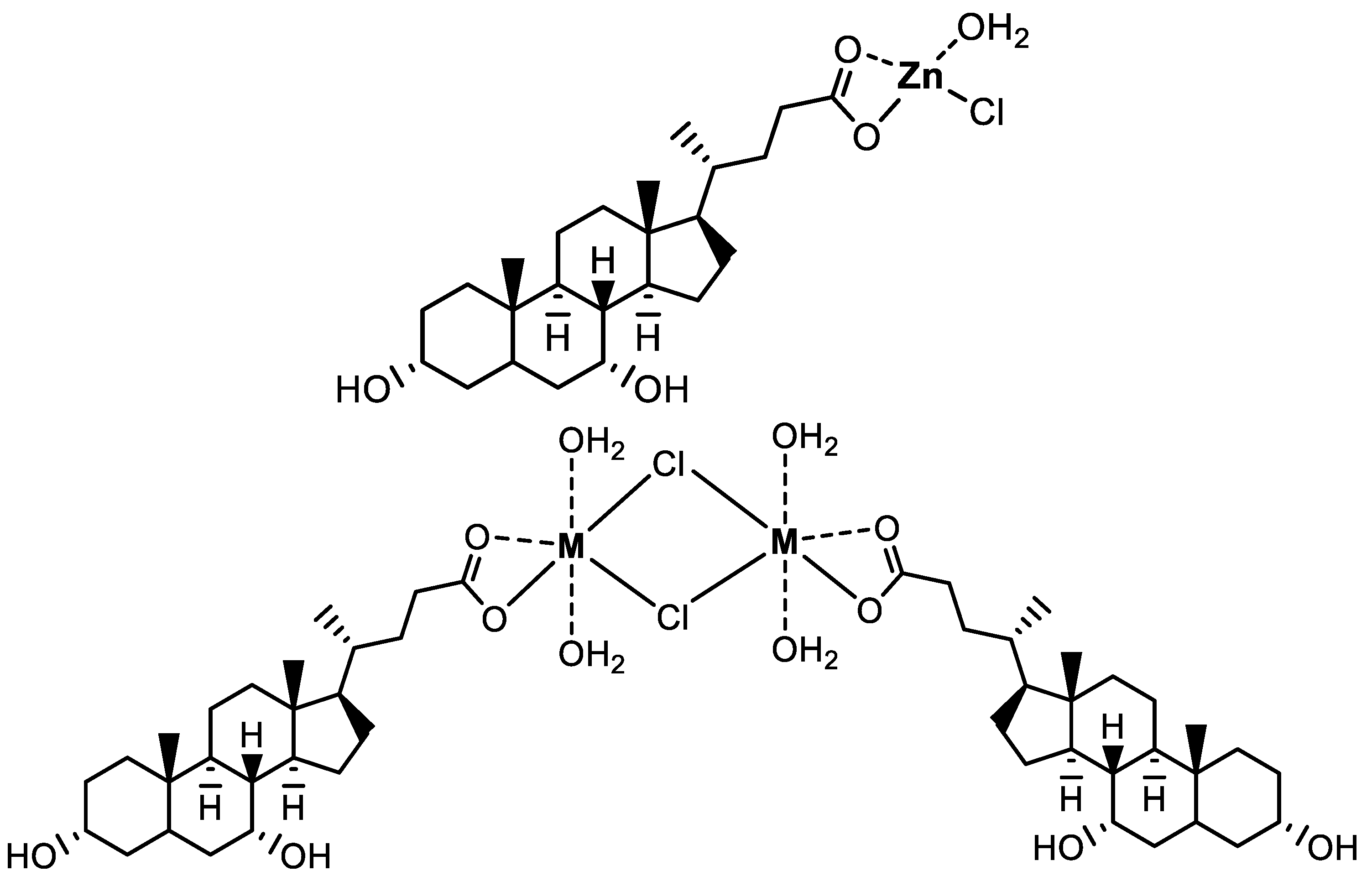
3.1. Chemistry
3.1.1. Elemental Compositions
- (i)
- Zn(II) complex:
- (ii)
- Mg(II) complex:
- (iii)
- Ca(II) complex:
3.1.2. UV–Visible Spectra
3.1.3. FT-IR and 1H NMR Spectra
3.2. Morphology
3.3. Biological Effects
4. Conclusions
Author Contributions
Funding
Data Availability Statement
Acknowledgments
Conflicts of Interest
References
- Lefebvre, P.; Cariou, B.; Lien, F.; Kuipers, F.; Staels, B. Role of bile acids and bile acid receptors in metabolic regulation. Physiol. Rev. 2009, 89, 147–191. [Google Scholar] [CrossRef] [PubMed]
- Fiorucci, S.; Distrutti, E. Chenodeoxycholic Acid: An Update on Its Therapeutic Applications. In Bile Acids and Their Receptors. Handbook of Experimental Pharmacology; Fiorucci, S., Distrutti, E., Eds.; Springer: Cham, Switzerland, 2019; Volume 256, pp. 265–282. [Google Scholar]
- Bateson, M.C.; Maclean, D.; Evans, J.R.; Bouchier, I.A. Chenodeoxycholic acid therapy for hypertriglyceridaemia in men. BJCP 1978, 5, 249–254. [Google Scholar] [CrossRef] [PubMed]
- Eloranta, J.J.; Kullak-Ublick, G.A. Coordinate transcriptional regulation of bile acid homeostasis and drug metabolism. Arch. Biochem. Biophys. 2005, 433, 397–412. [Google Scholar] [CrossRef]
- Tella, A.C.; Obaleye, J.A.; Olawale, M.D.; Ngororabanga, J.M.V.; Ogunlaja, A.S.; Bourned, S.A. Synthesis, crystal structure, and density functional theory study of a zinc(II) complex containing terpyridine and pyridine-2,6-dicarboxylic acid ligands: Analysis of the interactions with amoxicillin. Comptes Rendus Chimie 2019, 22, 3–12. [Google Scholar] [CrossRef]
- Eichhorn, G.L.; Marzilli, L.G. Advances in Inorganic Biochemistry Models in Inorganic Chemistry; PTR Prentice-Hall, Inc.: Hoboken, NJ, USA, 1994. [Google Scholar]
- Hughes, M.N. The Inorganic Chemistry of Biological Processes, 2nd ed.; Wiley: Chichester, UK, 1984. [Google Scholar]
- Alessio, E. Bioinorganic Medicinal Chemistry; Wiley-VCH Verlag GmbH and Co. KGaA: Weinheim, Germany, 2011. [Google Scholar]
- Adam, A.M.A. Structural, physicochemical and in vitro pharmacological properties of the stimulant drug 8-chlorotheo-phylline complexed with Cr(III), Mn(II), Co(II), and Ni(II) metal ions: Potent metallodrug complexes as antimicrobial agents. Comptes Rendus Chimie 2016, 19, 909–920. [Google Scholar] [CrossRef]
- Singh, U.; Malla, A.M.; Bhat, I.A.; Ahmad, A.; Bukhari, M.N.; Bhat, S.; Anayutullah, S.; Hashmi, A. Synthesis, molecular docking and evaluation of antifungal activity of Ni(II), Co(II) and Cu(II) complexes of porphyrin core macromolecular ligand. Microb. Pathog. 2016, 93, 172–179. [Google Scholar] [CrossRef]
- Netalkar, P.P.; Netalkar, S.P.; Revankar, V.K. Transition metal complexes of thiosemicarbazone: Synthesis, structures and invitro antimicrobial studies. Polyhedron 2015, 100, 215–222. [Google Scholar] [CrossRef]
- Ragheb, M.A.; Eldesouki, M.A.; Mohamed, M.S. DNA binding, photo-induced DNA cleavage and cytotoxicity studies of lomefloxacin and its transition metal complexes. Spectrochim. Acta A 2015, 138, 585. [Google Scholar] [CrossRef]
- Khan, T.-M.; Gul, N.S.; Lu, X.; Wei, J.-H.; Liu, Y.-C.; Sun, H.; Liang, H.; Orvig, C.; Chen, Z.-F. In vitro and in vivo anti-tumor activity of two gold(III) complexes with isoquinoline derivatives as ligands. Eur. J. Med. Chem. 2019, 163, 333–343. [Google Scholar] [CrossRef]
- Cao, Q.; Li, Y.; Freisinger, E.; Qin, P.Z.; Sigel, R.K.O.; Mao, Z.-W. G-quadruplex DNA targeted metal complexes acting as potential anticancer drugs. Inorg. Chem. Front. 2017, 4, 10–32. [Google Scholar] [CrossRef]
- Tavares, T.T.; Azevedo, G.C.; Garcia, A.; Carpanez, A.G.; Lewer, P.M.; Paschoal, D.; Müller, B.L.; Dos Santos, H.F.; Matos, R.C.; Silva, H.; et al. Gold(I) complexes with aryl-thiosemicarbazones: Molecular modeling, synthesis, cytotoxicity and TrxR inhibition. Ployhedron 2017, 132, 95–104. [Google Scholar] [CrossRef]
- Trudu, F.; Amato, F.; Vaňhara, P.; Pivetta, T.; Peña-Méndez, E.M.; Havel, J. Coordination compounds in cancer: Past, present and perspectives. J. Appl. Biomed. 2015, 13, 79–103. [Google Scholar] [CrossRef]
- Qin, Q.-P.; Wang, S.-L.; Tan, M.-X.; Liu, Y.-C.; Meng, T.; Zou, B.-Q.; Liang, H. Synthesis of two platinum(II) complexes with 2-methyl-8-quinolinol derivatives as ligands and study of their antitumor activities. Eur. J. Med. Chem. 2019, 161, 334–342. [Google Scholar] [CrossRef] [PubMed]
- Meng, T.; Tang, S.-F.; Qin, Q.-P.; Liang, Y.-L.; Wu, C.-X.; Wang, C.-Y.; Yan, H.-T.; Dong, J.-X.; Liu, Y.-C. Evaluation of the effect of iodine substitution of 8-hydroxyquinoline on its platinum(II) complex: Cytotoxicity, cell apoptosis and telomerase inhibition. Med. Chem. Commun. 2016, 7, 1802–1811. [Google Scholar] [CrossRef]
- Hu, K.; Zhou, G.; Zhang, Z.; Li, F.; Li, J.; Liang, F. Two hydrazone copper(II) complexes: Synthesis, crystal structure, cytotoxicity, and action mechanism. RSC Adv. 2016, 6, 36077–36084. [Google Scholar] [CrossRef]
- Matczak-Jon, E.; Kurzak, B.; Kamecka, A.; Kafarski, P. Interactions of zinc(II), magnesium(II) and calcium(II) with aminomethane-1,1-diphosphonic acids in aqueous solutions. Polyhedron 2002, 21, 321–332. [Google Scholar] [CrossRef]
- Payne, J.M.; Kociok-Köhn, G.; Emanuelsson, E.A.; Jones, M.D. Zn(II)- and Mg(II)-Complexes of a Tridentate {ONN} Ligand: Application to Poly(lactic acid) Production and Chemical Upcycling of Polyesters. Macromolecules 2021, 54, 8453–8469. [Google Scholar] [CrossRef]
- Payne, J.; McKeown, P.; Driscoll, O.; Kociok-Köhn, G.; Emanuelsson, E.A.C.; Jones, M.D. Make or break: Mg(II)- and Zn(II)-catalen complexes for PLA production and recycling of commodity polyesters. Polym. Chem. 2021, 12, 1086–1096. [Google Scholar] [CrossRef]
- Deacy, A.C.; Durr, C.B.; Kerr, R.W.F.; Williams, C.K. Heterodinuclear catalysts Zn(II)/M and Mg(II)/M, where M = Na(I), Ca(II) or Cd(II), for phthalic anhydride/cyclohexene oxide ring opening copolymerization. Catal. Sci. Technol. 2021, 11, 3109–3118. [Google Scholar] [CrossRef]
- McKeown, P.; McCormick, S.N.; Mahon, M.F.; Jones, M.D. Highly active Mg(II) and Zn(II) complexes for the ring opening polymerisation of lactide. Polym. Chem. 2018, 9, 5339–5347. [Google Scholar] [CrossRef]
- Quilter, H.C.; Drewitt, R.H.; Mahon, M.F.; Kociok-Köhn, G.; Jones, M.D. Synthesis of Li(I), Zn(II) and Mg(II) complexes of amine bis(phenolates) and their exploitation for the ring opening polymerisation of rac-lactide. J. Organomet. Chem. 2017, 848, 325–331. [Google Scholar] [CrossRef]
- Matczak-Jon, E.; Kurzak, B.; Kafarski, P.; Woźna, A. Coordination abilities of piperyd-1-yl-methane-1,1-diphosphonic acids towards zinc(II), magnesium(II) and calcium(II): Potentiometric and NMR studies. J. Inorg. Biochem. 2006, 100, 1155–1166. [Google Scholar] [CrossRef]
- Christidi, F.; Tsiptsios, D.; Sousanidou, A.; Karamanidis, S.; Kitmeridou, S.; Karatzetzou, S.; Aitsidou, S.; Tsamakis, K.; Psatha, E.A.; Karavasilis, E.; et al. Complexes of the Antibiotic Drug Oxolinic Acid with Fe(III), Zn(II), Ca(II), and Mg(II) Ions: Preparation, Characterization, and In Vitro Evaluation of Biological Activity. Crystals 2023, 13, 1012. [Google Scholar] [CrossRef]
- Almehizia, A.A.; Al-Omar, M.A.; Naglah, A.M.; Bhat, M.A.; Eskandrani, R.; Alotaibi, F.A.; Refat, M.S.; Adam, A.M.A. Preparation, Characterization, and In Vitro Evaluation of the Biological Activity of Several Metal-Based Complexes with Two Widely Used Fluoroquinolone Antibiotics: Lomefloxacin and Pefloxacin Drugs. Crystals 2023, 13, 1078. [Google Scholar] [CrossRef]
- Jeffery, G.H.; Bassett, J.; Mendham, J.; Denney, R.C. Vogel’s Textbook of Quantitative Chemical Analysis, 5th ed.; John Wiley & Sons Inc.: New York, NY, USA, 1989. [Google Scholar]
- Bauer, A.W.; Kirby, W.M.; Sherris, C.; Turck, M. Antibiotic susceptibility testing by a standardized single disk method. Am. J. Clin. Pathol. 1966, 45, 493–496. [Google Scholar] [CrossRef] [PubMed]
- Biemer, J.J. Antimicrobial susceptibility testing by the Kirby-Bauer disc diffusion method. Ann. Clin. Lab. Sci. 1973, 3, 135–140. [Google Scholar]
- Serrano, M.C.; Ramírez, M.; Morilla, D.; Valverde, A.; Chávez, M.; Espinel-Ingroff, A.; Claro, R.; Fernández, A.; Almeida, C.; Martín-Mazuelos, E. A comparative study of the disc diffusion method with the broth microdilution and Etest methods for voriconazole susceptibility testing of Aspergillus spp. J. Antimicrob. Chemother. 2004, 53, 739–742. [Google Scholar] [CrossRef]
- Pfaller, M.A.; Burmeister, L.; Bartlett, M.A.; Rinaldi, M.G. Multicenter evaluation of four methods of yeast inoculum preparation. J. Clin. Microbiol. 1988, 26, 1437–1441. [Google Scholar] [CrossRef]
- Beecher, D.J.; Wong, A.C. Identification and analysis of the antigens detected by two commercial Bacillus cereus diarrheal enterotoxin immunoassay kits. Appl. Environ. Microbiol. 1994, 60, 4614–4616. [Google Scholar] [CrossRef]
- National Committee for Clinical Laboratory Standards. Methods for Antimicrobial Susceptibility Testing of Anaerobic Bacteria: Approved Standard M11-A3; NCCLS: Wayne, PA, USA, 1993. [Google Scholar]
- Naglah, A.M.; Al-Omar, M.A.; Almehizia, A.A.; AlKahtani, H.M.; Bhat, M.A.; Al-Shakliah, N.S.; Belgacem, K.; Majrashi, B.M.; Refat, M.S.; Adam, A.M.A. Synthesis, thermogravimetric, and spectroscopic characterizations of three palladium metal(II) ofloxacin drug and amino acids mixed ligand complexes as advanced antimicrobial materials. J. Mol. Struct. 2021, 1225, 129102. [Google Scholar] [CrossRef]
- Gaber, A.; Alsanie, W.F.; Alhomrani, M.; Alamri, A.S.; El-Deen, I.M.; Refat, M.S. Synthesis of 1-[(Aryl)(3-amino-5-oxopyrazolidin-4-ylidene) methyl]-2-oxo-1,2-dihydroquinoline-3-carboxylic Acid Derivatives and Their Breast Anticancer Activity. Crystals 2021, 11, 571. [Google Scholar] [CrossRef]
- Mathavan, S.; Chen-Tan, N.; Arfuso, F.; Al-Salami, H. The role of the bile acid chenodeoxycholic acid in the targeted oral delivery of the anti-diabetic drug gliclazide, and its applications in type 1 diabetes. Artif. Cells Nanomed. Biotechnol. 2016, 44, 1508–1519. [Google Scholar] [CrossRef] [PubMed]
- Zhang, X.; Fan, D.; Hua, X.; Zhang, T. Large-scale production of ursodeoxycholic acid from chenodeoxycholic acid by engineering 7α-and 7β-hydroxysteroid dehydrogenase. Bioprocess Biosyst. Eng. 2019, 42, 1537–1545. [Google Scholar] [CrossRef] [PubMed]
- Nakamoto, K. Infrared Spectra of Inorganic and Coordination Compounds, 2nd ed.; Wiley Interscience, John Wiley & Sons: New York, NY, USA, 1970. [Google Scholar]
- Raman, N.; Joseph, J.; Sakthivel, A.; Jeyamurugan, R. Synthesis, structural characterization and antimicrobial studies of novel Schiff base copper (II) complexes. J. Chil. Chem. Soc. 2009, 54, 354–357. [Google Scholar] [CrossRef]
- Kumar, S.; Syed, A.; Andotra, S.; Kaur, R.; Vikas; Pandey, S.K. Investigation of synthesized new vanadium(III) complexes of ditolyldithiophosphate ligands by spectroscopic, cyclic voltammetric, DFT, antimicrobial and cytotoxic studies. J. Mol. Struct. 2018, 1154, 165–178. [Google Scholar] [CrossRef]
- Pant, B.; Pant, H.R.; Barakat, N.A.; Park, M.; Jeon, K.; Choi, Y.; Kim, H.Y. Carbon nanofibers decorated with binary semiconductor (TiO2/ZnO) nanocomposites for the effective removal of organic pollutants and the enhancement of antibacterial activities. Ceram. Int. 2013, 39, 7029–7035. [Google Scholar] [CrossRef]
- Pant, B.; Park, M.; Kim, H.-Y.; Park, S.-J. Ag-ZnO photocatalyst anchored on carbon nanofibers: Synthesis, characterization, and photocatalytic activities. Synth. Met. 2016, 220, 533–537. [Google Scholar] [CrossRef]
- Yang, G.; Wu, J.Z.; Wang, L.; Ji, L.N.; Tian, X. Study of the interaction between novel ruthenium(II)-polypyridyl complexes and calf thymus DN. J. Inorg. Biochem. 1997, 66, 141–144. [Google Scholar] [CrossRef]
- Farrell, N. Biomedical uses and applications of inorganic chemistry. An overview. Coord. Chem. Rev. 2007, 232, 1–4. [Google Scholar] [CrossRef]












| Microbe | Positive Controls | Free CA | Complexes | |||
|---|---|---|---|---|---|---|
| Ketoconazole | Streptomycin | Zn(II) | Mg(II) | Ca(II) | ||
| Fungi species: | ||||||
| Aspergillus niger | 18.0 | - | 9.0 | 16.0 | 23.0 | 21.0 |
| Penicillium sp. | 21.0 | - | 7.0 | 17.0 | 5.0 | 18.0 |
| Candida albicans | 21.0 | - | 5.0 | 9.0 | 2.0 | 3.0 |
| Gram-positive species: | ||||||
| Bacillus subtilis | - | 18.0 | 6.0 | 10.0 | 7.0 | 12.0 |
| Streptococcus pneumoniae | - | 17.0 | 5.0 | 9.0 | 4.0 | 8.0 |
| Staphylococcus aureus | - | 20.0 | 6.0 | 11.0 | 10.0 | 12.0 |
| Gram-negative species: | ||||||
| Escherichia coli | - | 22.0 | 7.0 | 12.0 | 9.0 | 15.0 |
| Pseudomonas aeruginosa | - | 27.0 | 8.0 | 12.0 | 22.0 | 20.0 |
Disclaimer/Publisher’s Note: The statements, opinions and data contained in all publications are solely those of the individual author(s) and contributor(s) and not of MDPI and/or the editor(s). MDPI and/or the editor(s) disclaim responsibility for any injury to people or property resulting from any ideas, methods, instructions or products referred to in the content. |
© 2023 by the authors. Licensee MDPI, Basel, Switzerland. This article is an open access article distributed under the terms and conditions of the Creative Commons Attribution (CC BY) license (https://creativecommons.org/licenses/by/4.0/).
Share and Cite
Almehizia, A.A.; Naglah, A.M.; Al-Omar, M.A.; Bhat, M.A.; Alanazi, F.S.; Alotaibi, F.A.; Al-Wasidi, A.S.; Refat, M.S.; Adam, A.M.A. Spectral Characterization and Antimicrobial Activity of Chenodeoxycholic Acid Complexes with Zn(II), Mg(II), and Ca(II) Ions. Crystals 2023, 13, 1166. https://doi.org/10.3390/cryst13081166
Almehizia AA, Naglah AM, Al-Omar MA, Bhat MA, Alanazi FS, Alotaibi FA, Al-Wasidi AS, Refat MS, Adam AMA. Spectral Characterization and Antimicrobial Activity of Chenodeoxycholic Acid Complexes with Zn(II), Mg(II), and Ca(II) Ions. Crystals. 2023; 13(8):1166. https://doi.org/10.3390/cryst13081166
Chicago/Turabian StyleAlmehizia, Abdulrahman A., Ahmed M. Naglah, Mohamed A. Al-Omar, Mashooq A. Bhat, Fhdah S. Alanazi, Fatimah A. Alotaibi, Asma S. Al-Wasidi, Moamen S. Refat, and Abdel Majid A. Adam. 2023. "Spectral Characterization and Antimicrobial Activity of Chenodeoxycholic Acid Complexes with Zn(II), Mg(II), and Ca(II) Ions" Crystals 13, no. 8: 1166. https://doi.org/10.3390/cryst13081166
APA StyleAlmehizia, A. A., Naglah, A. M., Al-Omar, M. A., Bhat, M. A., Alanazi, F. S., Alotaibi, F. A., Al-Wasidi, A. S., Refat, M. S., & Adam, A. M. A. (2023). Spectral Characterization and Antimicrobial Activity of Chenodeoxycholic Acid Complexes with Zn(II), Mg(II), and Ca(II) Ions. Crystals, 13(8), 1166. https://doi.org/10.3390/cryst13081166

