The Evaluation of the Crystal Structure and Magnetic Properties of Eu1.84Ce0.16CuO4+α−δ with Ni Substitution
Abstract
1. Introduction
2. Materials and Methods
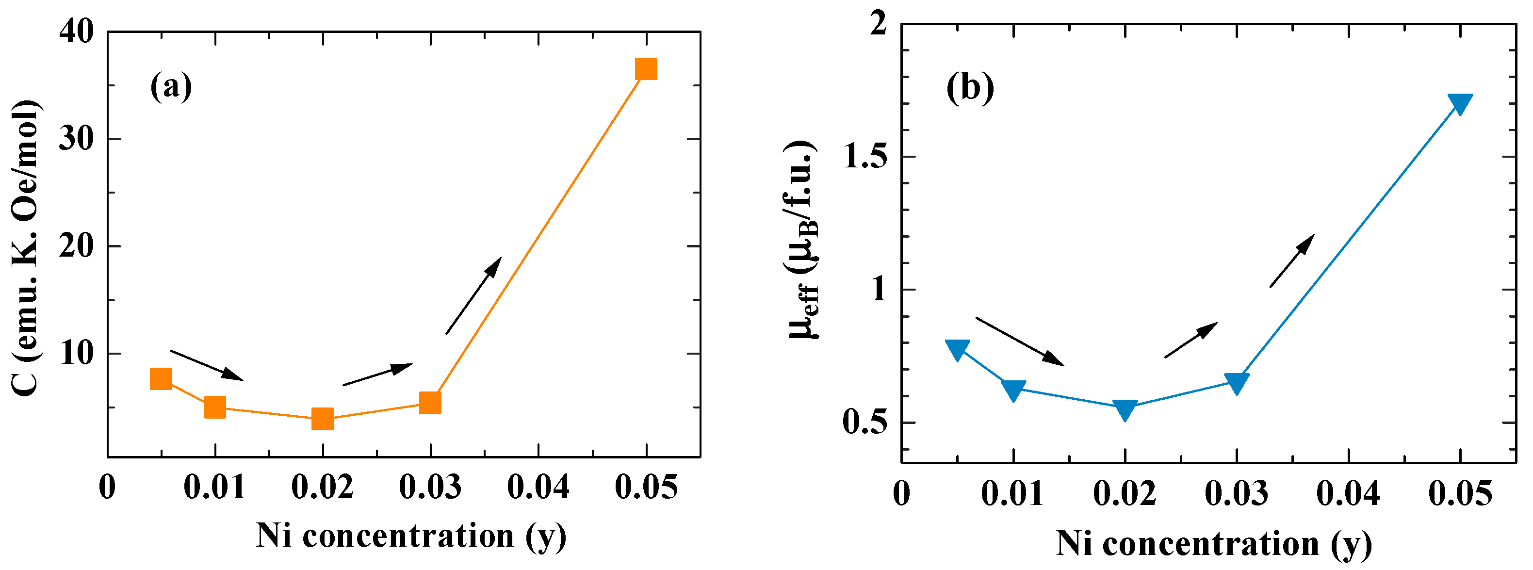
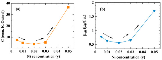
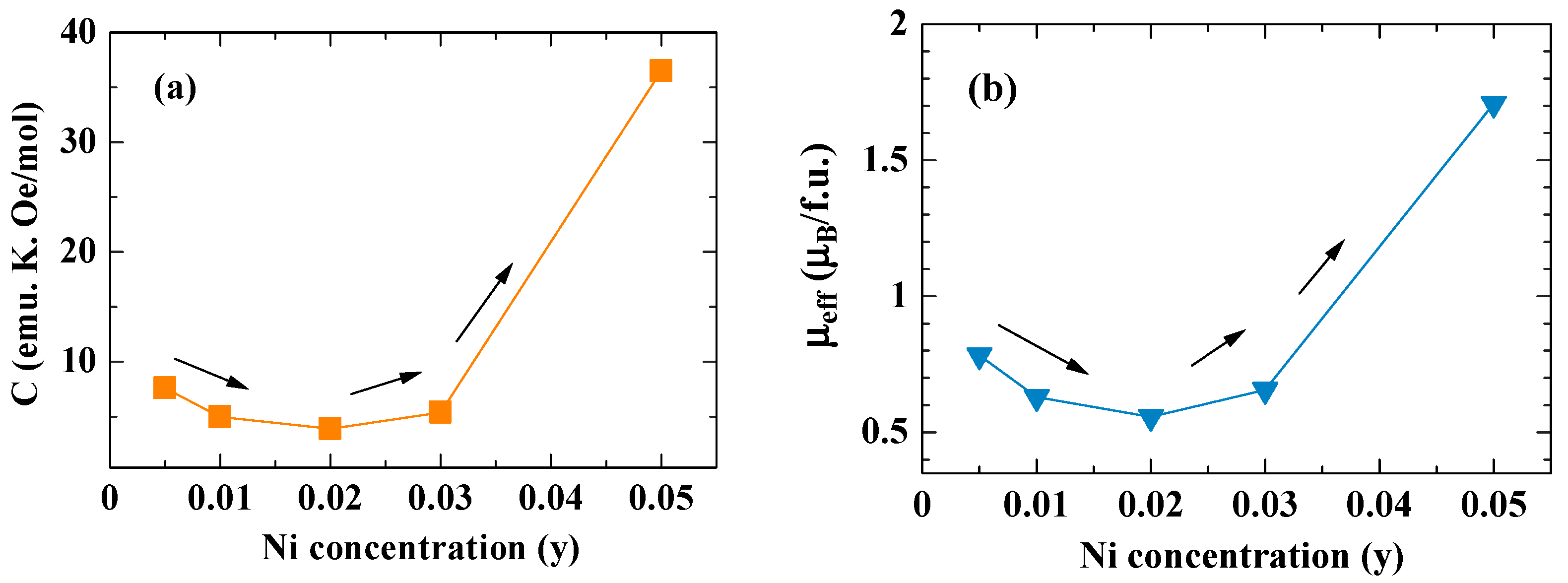
3. Results and Discussions
4. Conclusions
Author Contributions
Funding
Data Availability Statement
Acknowledgments
Conflicts of Interest
References
- Rochman, L.P.; Anggia, H.D.; Pratama, R.; Maulana, T.; Winarsih, S.; Maryati, Y.; Syakuur, M.A.; Widyaiswari, U.; Sari, D.P.; Saragi, T.; et al. Effect of Additional Magnetic Material Ni on Structure and Magnetic Properties Eu2−xCexCu0.99Ni0.01O4+α−δ. J. Phys. Conf. Ser. 2022, 2165, 012020. [Google Scholar] [CrossRef]
- Matsuda, M.; Fujita, M.; Yamada, K. Impurity Effect on the Diagonal Incommensurate Spin Correlations in La2−xSrxCuO4. Phys. Rev. B 2006, 73, 140503. [Google Scholar] [CrossRef]
- Suzuki, K.; Adachi, T.; Tanabe, Y.; Koike, Y.; Kawamata, T.; Risdiana; Suzuki, T.; Watanabe, I. Hole Trapping by Ni, Kondo Effect, and Electronic Phase Diagram in Nonsuperconducting Ni-Substituted La2−xSrxCu1−yNiyO4. Phys. Rev. B 2010, 82, 054519. [Google Scholar] [CrossRef]
- Pratama, R.; Saragi, T.; Maulana, T.; Winarsih, S.; Maryati, Y.; Syakuur, M.A.; Widyaiswari, U.; Sari, D.P.; Manawan, M.; Risdiana, R. Changes in the Structural Parameters and Effective Magnetic Moment of Eu2−xCexCuO4+α−δ by Zn Substitution. Coatings 2022, 12, 789. [Google Scholar] [CrossRef]
- Syakuur, M.A.; Pratama, R.; Anggia, H.D.; Rochman, L.P.; Maryati, Y.; Saragi, T.; Risdiana. Enhanced Magnetic Ordering by Impurity Fe Substitution on Electron-Doped Superconductors Eu2−x+yCex−yCu1−yFeyO4+α−δ. Heliyon 2022, 8, e11501. [Google Scholar] [CrossRef] [PubMed]
- Shakeripour, H.; Hosseini, S.S.; Ghotb, S.S.; Hadi-Sichani, B.; Pourasad, S. Magnetic Doping Effects on the Superconductivity of Y1−xMxBa2Cu3O7−δ (M = Fe, Co, Ni). Ceram. Int. 2021, 47, 10635–10642. [Google Scholar] [CrossRef]
- Adachi, T.; Yairi, S.; Koike, Y.; Watanabe, I.; Nagamine, K. Muon-Spin-Relaxation and Magnetic-Susceptibility Studies of the Effects of the Magnetic Impurity Ni on the Cu-Spin Dynamics and Superconductivity in La2−xSrxCu1−yNiyO4 with x = 0.13. Phys. Rev. B 2004, 70, 060504. [Google Scholar] [CrossRef]
- Tranquada, J.M.; Sternlieb, B.J.; Axe, J.D.; Nakamura, Y.; Uchida, S. Evidence for Stripe Correlations of Spins and Holes in Copper Oxide Superconductors. Nature 1995, 375, 561–563. [Google Scholar] [CrossRef]
- Armitage, N.P.; Fournier, P.; Greene, R.L. Progress and Perspectives on Electron-Doped Cuprates. Rev. Mod. Phys. 2010, 82, 2421–2487. [Google Scholar] [CrossRef]
- Niedermayer, C.; Bernhard, C.; Blasius, T.; Golnik, A.; Moodenbaugh, A.; Budnick, J.I. Common Phase Diagram for Antiferromagnetism in La2−xSrxCuO4 and Y1−xCaxBa2Cu3O6 as Seen by Muon Spin Rotation. Phys. Rev. Lett. 1998, 80, 3843–3846. [Google Scholar] [CrossRef]
- Tanabe, Y.; Adachi, T.; Noji, T.; Koike, Y. Superconducting Volume Fraction in Overdoped Regime of La2−xSrxCuO4: Implication for Phase Separation from Magnetic-Susceptibility Measurement. J. Phys. Soc. Jpn. 2005, 74, 2893–2896. [Google Scholar] [CrossRef]
- Panagopoulos, C.; Petrovic, A.P.; Hillier, A.D.; Tallon, J.L.; Scott, C.A.; Rainford, B.D. Exposing the Spin-Glass Ground State of the Nonsuperconducting La2−zSrxCu1−yZnyO4 High-Tc Oxide. Phys. Rev. B 2004, 69, 144510. [Google Scholar] [CrossRef]
- Adachi, T.; Mori, Y.; Takahashi, A.; Kato, M.; Nishizaki, T.; Sasaki, T.; Kobayashi, N.; Koike, Y. Evolution of the Electronic State through the Reduction Annealing in Electron-Doped Pr1.3−xLa0.7CexCuO4+δ (x = 0.10) Single Crystals: Antiferromagnetism, Kondo Effect, and Superconductivity. J. Phys. Soc. Jpn. 2013, 82, 063713. [Google Scholar] [CrossRef]
- Sumura, T.; Ishimoto, T.; Kuwahara, H.; Kurashima, K.; Koike, Y.; Watanabe, I.; Miyazaki, M.; Koda, A.; Kadono, R.; Adachi, T. Reduction Effects on the Cu-Spin Correlation in the Electron-Doped T’-Cuprate Pr1.3−xLa0.7CexCuO4+δ (x = 0.10). JPS Conf. Proc. 2018, 21, 011027. [Google Scholar] [CrossRef]
- Higgins, J.S.; Dagan, Y.; Barr, M.C.; Weaver, B.D.; Greene, R.L. Role of Oxygen in the Electron-Doped Superconducting Cuprates. Phys. Rev. B 2006, 73, 104510. [Google Scholar] [CrossRef]
- Li, Y.K.; Lin, X.; Zhou, T.; Shen, J.Q.; Tao, Q.; Cao, G.H.; Xu, Z.A. Superconductivity Induced by Ni Doping in SmFe1−xNixAsO. J. Phys. Condens. Matter 2009, 21, 355702. [Google Scholar] [CrossRef]
- Risdiana, R.; Safriani, L.; Somantri, W.A.; Saragi, T.; Adachi, T.; Kawasaki, I.; Watanabe, I.; Koike, Y. Possible Existence of the Stripe Correlations in Electron-Doped Superconducting Cuprates Eu1.85Ce0.15Cu1−yNiyO4+α−δ Studied by Muon-Spin-Relaxation. In Advanced Materials Science and Technology; Advanced Materials Research; Trans Tech Publications Ltd.: Stafa-Zurich, Switzerland, 2014; Volume 896, pp. 354–357. [Google Scholar] [CrossRef]
- Uzumaki, T.; Kamehara, N.K.N.; Niwa, K.N.K. Crystal Structure and Madelung Potential in R2−xCexCuO4−δ (R = Pr, Nd, Sm, Eu and Gd) System. Jpn. J. Appl. Phys. 1991, 30, L981. [Google Scholar] [CrossRef]
- Adachi, T.; Oki, N.; Risdiana; Yairi, S.; Koike, Y.; Watanabe, I. Relationship between the Cu-Spin Fluctuation and Superconductivity in La2−xSrxCu1−y(Zn,Ni)YO4 (x = 0.15) Studied by the ΜSR and Magnetic-Susceptibility. Phys. C Supercond. 2007, 460–462, 1172–1173. [Google Scholar] [CrossRef]
- Xiao, G.; Cieplak, M.Z.; Xiao, J.Q.; Chien, C.L. Magnetic Pair-Breaking Effects: Moment Formation and Critical Doping Level in Superconducting La1.85Sr0.15Cu1−xAxO4 Systems (A = Fe, Co, Ni, Zn, Ga, Al). Phys. Rev. B 1990, 42, 8752–8755. [Google Scholar] [CrossRef]





| Lattice Parameter (Å) | Volume (Å3) | Bond Length (Å) | |||||
|---|---|---|---|---|---|---|---|
| Eu-O(1) | Eu-O(2) | Cu-O | |||||
| 0.16 | 0.005 | 3.9063 (2) | 11.8508 (9) | 180.834 (36) | 2.291 (1) | 2.633 (1) | 1.953 (1) |
| 0.01 | 3.9063 (2) | 11.8644 (9) | 181.034 (36) | 2.291 (1) | 2.634 (1) | 1.953 (1) | |
| 0.02 | 3.9067 (2) | 11.8554 (8) | 180.940 (32) | 2.285 (1) | 2.641 (1) | 1.953 (1) | |
| 0.03 | 3.9063 (2) | 11.8603 (9) | 180.984 (36) | 2.291 (1) | 2.634 (1) | 1.953 (1) | |
| 0.05 | 3.9067 (2) | 11.8665 (10) | 181.052 (40) | 2.291 (1) | 2.634 (1) | 1.953 (1) | |
Disclaimer/Publisher’s Note: The statements, opinions and data contained in all publications are solely those of the individual author(s) and contributor(s) and not of MDPI and/or the editor(s). MDPI and/or the editor(s) disclaim responsibility for any injury to people or property resulting from any ideas, methods, instructions or products referred to in the content. |
© 2023 by the authors. Licensee MDPI, Basel, Switzerland. This article is an open access article distributed under the terms and conditions of the Creative Commons Attribution (CC BY) license (https://creativecommons.org/licenses/by/4.0/).
Share and Cite
Falhan, M.F.; Pratama, R.; Rochman, L.P.; Effendi, R.S.; Maryati, Y.; Widyaiswari, U.; Sari, D.P.; Saragi, T.; Risdiana, R. The Evaluation of the Crystal Structure and Magnetic Properties of Eu1.84Ce0.16CuO4+α−δ with Ni Substitution. Crystals 2023, 13, 1066. https://doi.org/10.3390/cryst13071066
Falhan MF, Pratama R, Rochman LP, Effendi RS, Maryati Y, Widyaiswari U, Sari DP, Saragi T, Risdiana R. The Evaluation of the Crystal Structure and Magnetic Properties of Eu1.84Ce0.16CuO4+α−δ with Ni Substitution. Crystals. 2023; 13(7):1066. https://doi.org/10.3390/cryst13071066
Chicago/Turabian StyleFalhan, Muhammad Fadhil, Rosaldi Pratama, Lucia Patia Rochman, Rahma Sundaya Effendi, Yati Maryati, Utami Widyaiswari, Dita Puspita Sari, Togar Saragi, and Risdiana Risdiana. 2023. "The Evaluation of the Crystal Structure and Magnetic Properties of Eu1.84Ce0.16CuO4+α−δ with Ni Substitution" Crystals 13, no. 7: 1066. https://doi.org/10.3390/cryst13071066
APA StyleFalhan, M. F., Pratama, R., Rochman, L. P., Effendi, R. S., Maryati, Y., Widyaiswari, U., Sari, D. P., Saragi, T., & Risdiana, R. (2023). The Evaluation of the Crystal Structure and Magnetic Properties of Eu1.84Ce0.16CuO4+α−δ with Ni Substitution. Crystals, 13(7), 1066. https://doi.org/10.3390/cryst13071066

