The Structure and Microwave Dielectric Properties of MgTi1−x(Mn1/3Nb2/3)xO3 Ceramics
Abstract
:1. Introduction
2. Experimental Procedures
3. Results and Discussion
3.1. Phase Composition and Structure Analysis
3.2. Micromorphology
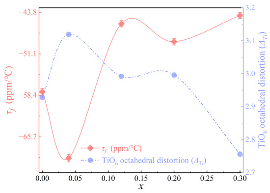
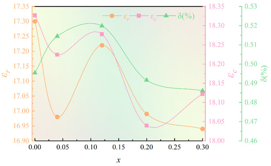
3.3. Microwave Dielectric Properties
4. Conclusions
Supplementary Materials
Author Contributions
Funding
Data Availability Statement
Acknowledgments
Conflicts of Interest
References
- Jo, H.J.; Kim, J.S.; Kim, E.S. Microwave dielectric properties of MgTiO3-based ceramics. Ceram. Int. 2015, 41, S530–S536. [Google Scholar] [CrossRef]
- Pullar, R.C.; Penn, S.J.; Wang, X.; Reaney, I.M.; Alford, N.M. Dielectric loss caused by oxygen vacancies in titania ceramics. J. Eur. Ceram. Soc. 2009, 29, 419–424. [Google Scholar] [CrossRef]
- Gogoi, P.; Singh, L.R.; Pamu, D. Characterization of Zn doped MgTiO3 ceramics: An approach for RF capacitor applications. J. Mater. Sci. Mater. Electron. 2017, 28, 11712–11721. [Google Scholar] [CrossRef]
- Zhang, M.; Li, L.; Xia, W.; Liao, Q. Structure and properties analysis for MgTiO3 and (Mg0.97M0.03)TiO3 (M=Ni, Zn, Co and Mn) microwave dielectric materials. J. Alloys Compd. 2012, 537, 76–79. [Google Scholar] [CrossRef]
- Jia, X.; Xu, Y.; Zhao, P.; Li, J.; Li, W. Structural dependence of microwave dielectric properties in ilmenite-type Mg(Ti1−xNbx)O3 solid solutions by Rietveld refinement and Raman spectra. Ceram. Int. 2021, 47, 4820–4830. [Google Scholar] [CrossRef]
- Gong, Z.; Wang, Z.; Wang, L.; Fu, Z.; Han, W.; Zhang, Q. Microwave dielectric properties of high-Q Mg(SnxTi1−x)O3 ceramics. Electron. Mater. Lett. 2013, 9, 331–335. [Google Scholar] [CrossRef]
- Manan, A.; Ullah, Z.; Ahmad, A.S.; Ullah, A.; Khan, D.F.; Hussain, A.; Khan, M.U. Phase microstructure evaluation and microwave dielectric properties of (1 − x)Mg0.95Ni0.05Ti0.98Zr0.02O3−xCa0.6La0.8/3TiO3 ceramics. J. Adv. Ceram. 2018, 7, 72–78. [Google Scholar] [CrossRef]
- Jo, H.J.; Kim, E.S. Enhanced quality factor of MgTiO3 ceramics by isovalent Ti-site substitution. Ceram. Int. 2016, 42, 5479–5486. [Google Scholar] [CrossRef]
- Fang, Z.; Yang, H.; Yang, H.; Xiong, Z.; Zhang, X.; Zhao, P.; Tang, B. Ilmenite-type MgTiO3 ceramics by complex (Mn1/2W1/2)4+ cation co-substitution producing improved microwave characteristics. Ceram. Int. 2021, 47, 21388–21397. [Google Scholar] [CrossRef]
- Kim, J.M.; Jo, H.W.; Kim, E.S. Effect of electronegativity on microwave dielectric properties of MgTi1−x(A1/3Sb2/3)xO3 (A = Mg2+, Zn2+) ceramics. Int. J. Appl. Ceram. Technol. 2019, 16, 2053–2059. [Google Scholar] [CrossRef]
- Jo, H.J.; Kim, E.S. Dependence of microwave dielectric properties on the complex substitution for Ti-site of MgTiO3 ceramics. Ceram. Int. 2017, 43, S326–S333. [Google Scholar] [CrossRef]
- Li, B.; Lai, Y.; Zeng, Y.; Yang, F.; Huang, F.; Yang, X.; Wang, F.; Wu, C.; Zhong, X.; Su, H. Structure and microwave dielectric properties of (Zn1/3Nb2/3)4+ co-substituted MgTiO3 ceramic. Mater. Sci. Eng. B 2022, 276, 115572. [Google Scholar] [CrossRef]
- Yu, Y.; Guo, W.; Zhen, Y.; Cen, Z.; Ji, A.; Wu, H.; Liang, S.; Xiong, S.; Wang, X. Influence of MnO2 addition on the dielectric properties of 0.95MgTiO3-0.05CaTiO3 ceramics sintered in a reducing atmosphere. J. Eur. Ceram. Soc. 2023, 43, 378–383. [Google Scholar] [CrossRef]
- Rodríguez-Carvajal, J. Recent advances in magnetic structure determination by neutron powder diffraction. Phys. B Phys. Condens. Matter 1993, 192, 55–69. [Google Scholar] [CrossRef]
- Shannon, R.D. Revised effective ionic radii and systematic studies of interatomic distances in halides and chalcogenides. Acta Crystallogr. Sect. A 1976, 32, 751–767. [Google Scholar] [CrossRef]
- Xiao, M.; Wei, Y.; Gu, Q.; Zhang, P. The relationship between the bond ionicity, lattice energy, bond energy and microwave dielectric properties of LaNbO4 ceramics. J. Mater. Sci. Mater. Electron. 2018, 29, 9963–9970. [Google Scholar] [CrossRef]
- Zhang, Q.; Su, H.; Zhong, M.; Li, Y.; Tang, X.; Jing, Y. Bond characteristics and microwave dielectric properties on Zn3−xCux(BO3)2 ceramics with ultralow dielectric loss. Ceram. Int. 2021, 47, 4466–4474. [Google Scholar] [CrossRef]
- Yao, G.-G.; Hou, C.-D.; Pei, C.-J.; Liu, P. Effects of Mg(OH)2 on phase formation and microwave dielectric properties of Mg6Ti5O16 ceramics. Ferroelectrics 2019, 536, 156–161. [Google Scholar] [CrossRef]
- Chu, X.; Gan, L.; Ren, S.; Wang, J.; Ma, Z.; Jiang, J.; Zhang, T. Low-loss and temperature-stable (1 − x)Li2TiO3−xLi3Mg2NbO6 microwave dielectric ceramics. Ceram. Int. 2020, 46, 8413–8419. [Google Scholar] [CrossRef]
- Lou, W.C.; Song, K.X.; Hussain, F.; Liu, B.; Bafrooei, H.B.; Lin, H.X.; Su, W.T.; Shi, F.; Wang, D.W. Bond characteristics and microwave dielectric properties of (Li0.5Ga0.5)2+ doped Mg2Al4Si5O18 ceramics. Ceram. Int. 2020, 46, 28631–28638. [Google Scholar] [CrossRef]
- Forghani, M.; Paydar, M.H.; Podonak, M.K.; Li, L. Microstructure and dielectric properties of novel MgTiO3−x wt% MgAl2O4 microwave dielectric composite ceramics. J. Mater. Sci. Mater. Electron. 2023, 34, 690. [Google Scholar] [CrossRef]
- Liou, Y.-C.; Yang, S.-L. Calcium-doped MgTiO3–MgTi2O5 ceramics prepared using a reaction-sintering process. Mater. Sci. Eng. B 2007, 142, 116–120. [Google Scholar] [CrossRef]
- Yang, X.-Z.; Yang, F.; Lai, Y.-M.; Li, B.-Y.; Wang, F.-S.; Su, H. Effect of Cu2+ Ion A-Site Substitution on Structure and Dielectric Properties of MgTiO3 Ceramics. Chin. J. Inorg. Chem. 2022, 38, 599–610. [Google Scholar] [CrossRef]
- Fu, Z.; Chen, C.; She, Y.; Yang, Z.; Li, C. A/B Site Modified MgTiO3 Dielectric Ceramics for Microwave Application. Integr. Ferroelectr. 2022, 230, 78–84. [Google Scholar] [CrossRef]
- Sharma, K.; Bahel, S. Effect of Co substitution on the structural, dielectric and reflection properties of MgTiO3 solid solutions. Mater. Res. Bull. 2023, 157, 112037. [Google Scholar] [CrossRef]
- Xu, Z.; Li, L.; Yu, S.; Du, M.; Luo, W. Magnesium fluoride doped MgTiO3 ceramics with ultra-high Q value at microwave frequencies. J. Alloys Compd. 2019, 802, 1–5. [Google Scholar] [CrossRef]
- Rabha, S.; Dobbidi, P. Structural, electrical properties and stability in microwave dielectric properties of (1 − x) MgTiO3−xSrTiO3 composite ceramics. J. Alloys Compd. 2021, 872, 159726. [Google Scholar] [CrossRef]
- Singh, J.; Bahel, S. Synthesis of single phase MgTiO3 and influence of Sn4+ substitution on its structural, dielectric and electrical properties. J. Alloys Compd. 2020, 816, 152679. [Google Scholar] [CrossRef]
- Shi, L.; Peng, R.; Zhang, H.; Liu, C.; Gan, G.; Shi, X.; Wang, X. Effects of Magnesium–Tungsten co-substitution on crystal structure and microwave dielectric properties of CaTi1−x(Mg1/2W1/2)xO3 ceramics. Ceram. Int. 2021, 47, 3354–3360. [Google Scholar] [CrossRef]
- Yang, H.; Zhang, S.; Li, Y.; Yang, H.; Yuan, Y.; Wen, T.; Li, E. Investigations of dielectric properties of wolframite A0.5Zr0.5NbO4 ceramics by bond theory and far-infrared spectroscopy. Ceram. Int. 2020, 46, 3688–3694. [Google Scholar] [CrossRef]
- Li, H.; Tang, B.; Li, X.; Qing, Z.; Li, Y.; Yang, H.; Wang, Q.; Zhang, S. The structure and properties of 0.95MgTiO3–0.05CaTiO3 ceramics doped with Co2O3. J. Mater. Sci. 2014, 49, 5850–5855. [Google Scholar] [CrossRef]
- Liang, Z.; Li, J.; Zhang, Y.; Lu, B.; Han, X.; Yang, Y.; Zhang, H. Influence of CuO additive on phase formation, microstructure and microwave dielectric properties of Cu-doped CuxZn1.8−xSiO3.8 ceramics. Appl. Phys. A 2021, 128, 1–8. [Google Scholar] [CrossRef]
- Li, C.; Ding, S.; Zhang, Y.; Zhu, H.; Song, T. Effects of Ni2+ substitution on the crystal structure, bond valence, and microwave dielectric properties of BaAl2–2Ni2Si2O8 ceramics. J. Eur. Ceram. Soc. 2021, 41, 2610–2616. [Google Scholar] [CrossRef]
- Bosman, A.J.; Havinga, E.E. Temperature Dependence of Dielectric Constants of Cubic Ionic Compounds. Phys. Rev. 1963, 129, 1593–1600. [Google Scholar] [CrossRef]
- Sohn, J.-H.; Inaguma, Y.; Yoon, S.-O.; Itoh, M.; Nakamura, T.; Yoon, S.-J.; Kim, H.-J. Microwave Dielectric Characteristics of Ilmenite-Type Titanates with High Q Values. Jpn. J. Appl. Phys. 1994, 33, 5466–5470. [Google Scholar] [CrossRef]








| x | 0 | 0.04 | 0.12 | 0.20 | 0.30 |
|---|---|---|---|---|---|
| a (Å) | 5.059 | 5.060 | 5.067 | 5.071 | 5.074 |
| b (Å) | 5.059 | 5.060 | 5.067 | 5.071 | 5.074 |
| c (Å) | 13.910 | 13.915 | 13.941 | 13.961 | 13.991 |
| V (Å3) | 308.31 | 308.55 | 309.98 | 310.86 | 312.00 |
| Wf1 (%) | 95.75 | 100 | 100 | 100 | 91.88 |
| Wf2 (%) | 4.25 | / | / | / | 8.12 |
| Mg-O(1) 1 (Å) | 2.034 | 2.055 | 2.050 | 2.031 | 2.058 |
| Mg-O(1) 2 (Å) | 2.175 | 2.167 | 2.175 | 2.171 | 2.170 |
| Ti/(Mn1/3Nb2/3)-O(1) 1 (Å) | 1.878 | 1.868 | 1.875 | 1.891 | 1.884 |
| Ti/(Mn1/3Nb2/3)-O(1) 2 (Å) | 2.093 | 2.089 | 2.092 | 2.110 | 2.093 |
Disclaimer/Publisher’s Note: The statements, opinions and data contained in all publications are solely those of the individual author(s) and contributor(s) and not of MDPI and/or the editor(s). MDPI and/or the editor(s) disclaim responsibility for any injury to people or property resulting from any ideas, methods, instructions or products referred to in the content. |
© 2023 by the authors. Licensee MDPI, Basel, Switzerland. This article is an open access article distributed under the terms and conditions of the Creative Commons Attribution (CC BY) license (https://creativecommons.org/licenses/by/4.0/).
Share and Cite
Huang, H.; Li, B.; Wang, F.; Lai, Y.; Jiang, G. The Structure and Microwave Dielectric Properties of MgTi1−x(Mn1/3Nb2/3)xO3 Ceramics. Crystals 2023, 13, 1050. https://doi.org/10.3390/cryst13071050
Huang H, Li B, Wang F, Lai Y, Jiang G. The Structure and Microwave Dielectric Properties of MgTi1−x(Mn1/3Nb2/3)xO3 Ceramics. Crystals. 2023; 13(7):1050. https://doi.org/10.3390/cryst13071050
Chicago/Turabian StyleHuang, Huan, Baoyang Li, Fanshuo Wang, Yuanming Lai, and Gang Jiang. 2023. "The Structure and Microwave Dielectric Properties of MgTi1−x(Mn1/3Nb2/3)xO3 Ceramics" Crystals 13, no. 7: 1050. https://doi.org/10.3390/cryst13071050
APA StyleHuang, H., Li, B., Wang, F., Lai, Y., & Jiang, G. (2023). The Structure and Microwave Dielectric Properties of MgTi1−x(Mn1/3Nb2/3)xO3 Ceramics. Crystals, 13(7), 1050. https://doi.org/10.3390/cryst13071050

